当前位置:首页>文档>专题15.30分式的运算与化简100题(分层练习)(提升练)-(人教版)_初中数学_八年级数学上册(人教版)_专题突破练习-V4_2024版

专题15.30分式的运算与化简100题(分层练习)(提升练)-(人教版)_初中数学_八年级数学上册(人教版)_专题突破练习-V4_2024版

  • 2026-04-06 05:51:26 2026-04-06 05:50:39

文档预览

专题15.30分式的运算与化简100题(分层练习)(提升练)-(人教版)_初中数学_八年级数学上册(人教版)_专题突破练习-V4_2024版
专题15.30分式的运算与化简100题(分层练习)(提升练)-(人教版)_初中数学_八年级数学上册(人教版)_专题突破练习-V4_2024版
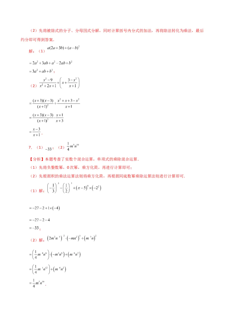
专题15.30分式的运算与化简100题(分层练习)(提升练)-(人教版)_初中数学_八年级数学上册(人教版)_专题突破练习-V4_2024版
专题15.30分式的运算与化简100题(分层练习)(提升练)-(人教版)_初中数学_八年级数学上册(人教版)_专题突破练习-V4_2024版
专题15.30分式的运算与化简100题(分层练习)(提升练)-(人教版)_初中数学_八年级数学上册(人教版)_专题突破练习-V4_2024版
专题15.30分式的运算与化简100题(分层练习)(提升练)-(人教版)_初中数学_八年级数学上册(人教版)_专题突破练习-V4_2024版
专题15.30分式的运算与化简100题(分层练习)(提升练)-(人教版)_初中数学_八年级数学上册(人教版)_专题突破练习-V4_2024版
专题15.30分式的运算与化简100题(分层练习)(提升练)-(人教版)_初中数学_八年级数学上册(人教版)_专题突破练习-V4_2024版
专题15.30分式的运算与化简100题(分层练习)(提升练)-(人教版)_初中数学_八年级数学上册(人教版)_专题突破练习-V4_2024版
专题15.30分式的运算与化简100题(分层练习)(提升练)-(人教版)_初中数学_八年级数学上册(人教版)_专题突破练习-V4_2024版
专题15.30分式的运算与化简100题(分层练习)(提升练)-(人教版)_初中数学_八年级数学上册(人教版)_专题突破练习-V4_2024版
专题15.30分式的运算与化简100题(分层练习)(提升练)-(人教版)_初中数学_八年级数学上册(人教版)_专题突破练习-V4_2024版
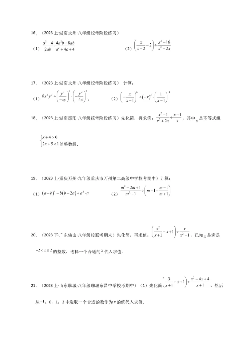
专题15.30分式的运算与化简100题(分层练习)(提升练)-(人教版)_初中数学_八年级数学上册(人教版)_专题突破练习-V4_2024版
专题15.30分式的运算与化简100题(分层练习)(提升练)-(人教版)_初中数学_八年级数学上册(人教版)_专题突破练习-V4_2024版
专题15.30分式的运算与化简100题(分层练习)(提升练)-(人教版)_初中数学_八年级数学上册(人教版)_专题突破练习-V4_2024版
专题15.30分式的运算与化简100题(分层练习)(提升练)-(人教版)_初中数学_八年级数学上册(人教版)_专题突破练习-V4_2024版
专题15.30分式的运算与化简100题(分层练习)(提升练)-(人教版)_初中数学_八年级数学上册(人教版)_专题突破练习-V4_2024版
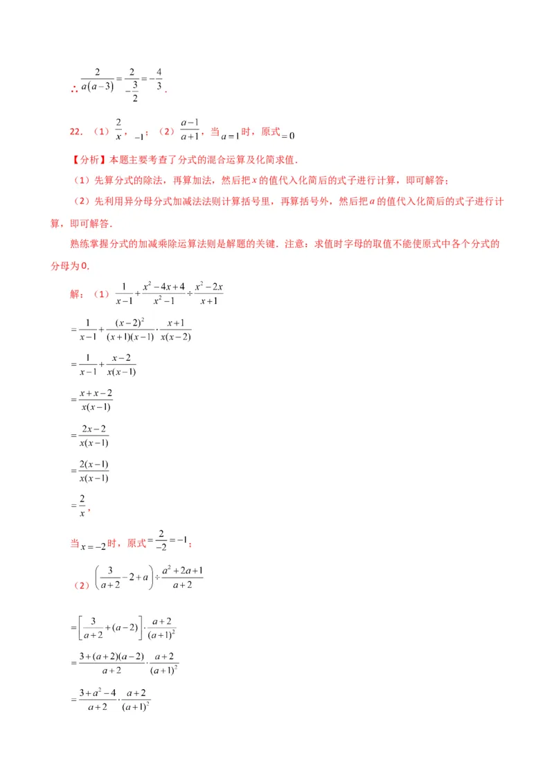
专题15.30分式的运算与化简100题(分层练习)(提升练)-(人教版)_初中数学_八年级数学上册(人教版)_专题突破练习-V4_2024版
专题15.30分式的运算与化简100题(分层练习)(提升练)-(人教版)_初中数学_八年级数学上册(人教版)_专题突破练习-V4_2024版
专题15.30分式的运算与化简100题(分层练习)(提升练)-(人教版)_初中数学_八年级数学上册(人教版)_专题突破练习-V4_2024版
专题15.30分式的运算与化简100题(分层练习)(提升练)-(人教版)_初中数学_八年级数学上册(人教版)_专题突破练习-V4_2024版
专题15.30分式的运算与化简100题(分层练习)(提升练)-(人教版)_初中数学_八年级数学上册(人教版)_专题突破练习-V4_2024版
专题15.30分式的运算与化简100题(分层练习)(提升练)-(人教版)_初中数学_八年级数学上册(人教版)_专题突破练习-V4_2024版
专题15.30分式的运算与化简100题(分层练习)(提升练)-(人教版)_初中数学_八年级数学上册(人教版)_专题突破练习-V4_2024版
专题15.30分式的运算与化简100题(分层练习)(提升练)-(人教版)_初中数学_八年级数学上册(人教版)_专题突破练习-V4_2024版
专题15.30分式的运算与化简100题(分层练习)(提升练)-(人教版)_初中数学_八年级数学上册(人教版)_专题突破练习-V4_2024版
专题15.30分式的运算与化简100题(分层练习)(提升练)-(人教版)_初中数学_八年级数学上册(人教版)_专题突破练习-V4_2024版
专题15.30分式的运算与化简100题(分层练习)(提升练)-(人教版)_初中数学_八年级数学上册(人教版)_专题突破练习-V4_2024版
专题15.30分式的运算与化简100题(分层练习)(提升练)-(人教版)_初中数学_八年级数学上册(人教版)_专题突破练习-V4_2024版
专题15.30分式的运算与化简100题(分层练习)(提升练)-(人教版)_初中数学_八年级数学上册(人教版)_专题突破练习-V4_2024版
专题15.30分式的运算与化简100题(分层练习)(提升练)-(人教版)_初中数学_八年级数学上册(人教版)_专题突破练习-V4_2024版
专题15.30分式的运算与化简100题(分层练习)(提升练)-(人教版)_初中数学_八年级数学上册(人教版)_专题突破练习-V4_2024版
专题15.30分式的运算与化简100题(分层练习)(提升练)-(人教版)_初中数学_八年级数学上册(人教版)_专题突破练习-V4_2024版
专题15.30分式的运算与化简100题(分层练习)(提升练)-(人教版)_初中数学_八年级数学上册(人教版)_专题突破练习-V4_2024版
专题15.30分式的运算与化简100题(分层练习)(提升练)-(人教版)_初中数学_八年级数学上册(人教版)_专题突破练习-V4_2024版
专题15.30分式的运算与化简100题(分层练习)(提升练)-(人教版)_初中数学_八年级数学上册(人教版)_专题突破练习-V4_2024版
专题15.30分式的运算与化简100题(分层练习)(提升练)-(人教版)_初中数学_八年级数学上册(人教版)_专题突破练习-V4_2024版
专题15.30分式的运算与化简100题(分层练习)(提升练)-(人教版)_初中数学_八年级数学上册(人教版)_专题突破练习-V4_2024版
专题15.30分式的运算与化简100题(分层练习)(提升练)-(人教版)_初中数学_八年级数学上册(人教版)_专题突破练习-V4_2024版
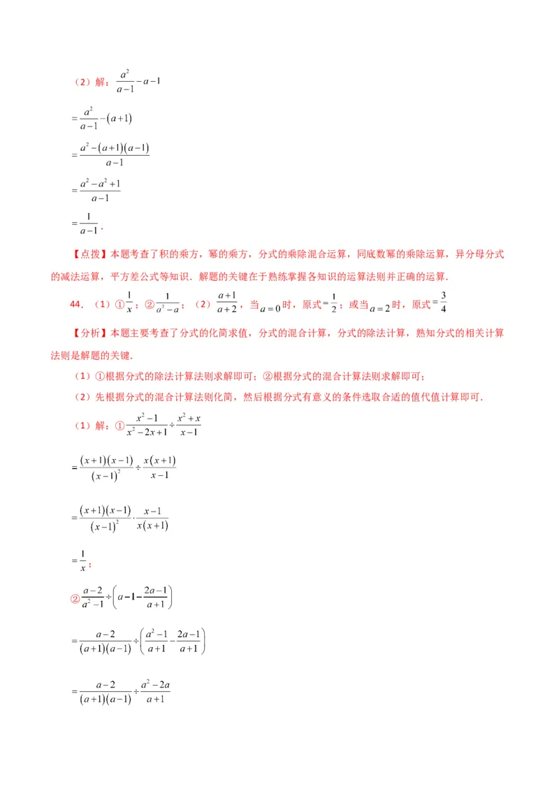
专题15.30分式的运算与化简100题(分层练习)(提升练)-(人教版)_初中数学_八年级数学上册(人教版)_专题突破练习-V4_2024版
专题15.30分式的运算与化简100题(分层练习)(提升练)-(人教版)_初中数学_八年级数学上册(人教版)_专题突破练习-V4_2024版
专题15.30分式的运算与化简100题(分层练习)(提升练)-(人教版)_初中数学_八年级数学上册(人教版)_专题突破练习-V4_2024版
专题15.30分式的运算与化简100题(分层练习)(提升练)-(人教版)_初中数学_八年级数学上册(人教版)_专题突破练习-V4_2024版
专题15.30分式的运算与化简100题(分层练习)(提升练)-(人教版)_初中数学_八年级数学上册(人教版)_专题突破练习-V4_2024版
专题15.30分式的运算与化简100题(分层练习)(提升练)-(人教版)_初中数学_八年级数学上册(人教版)_专题突破练习-V4_2024版
专题15.30分式的运算与化简100题(分层练习)(提升练)-(人教版)_初中数学_八年级数学上册(人教版)_专题突破练习-V4_2024版
专题15.30分式的运算与化简100题(分层练习)(提升练)-(人教版)_初中数学_八年级数学上册(人教版)_专题突破练习-V4_2024版
专题15.30分式的运算与化简100题(分层练习)(提升练)-(人教版)_初中数学_八年级数学上册(人教版)_专题突破练习-V4_2024版
专题15.30分式的运算与化简100题(分层练习)(提升练)-(人教版)_初中数学_八年级数学上册(人教版)_专题突破练习-V4_2024版
专题15.30分式的运算与化简100题(分层练习)(提升练)-(人教版)_初中数学_八年级数学上册(人教版)_专题突破练习-V4_2024版
专题15.30分式的运算与化简100题(分层练习)(提升练)-(人教版)_初中数学_八年级数学上册(人教版)_专题突破练习-V4_2024版
专题15.30分式的运算与化简100题(分层练习)(提升练)-(人教版)_初中数学_八年级数学上册(人教版)_专题突破练习-V4_2024版
专题15.30分式的运算与化简100题(分层练习)(提升练)-(人教版)_初中数学_八年级数学上册(人教版)_专题突破练习-V4_2024版
专题15.30分式的运算与化简100题(分层练习)(提升练)-(人教版)_初中数学_八年级数学上册(人教版)_专题突破练习-V4_2024版
专题15.30分式的运算与化简100题(分层练习)(提升练)-(人教版)_初中数学_八年级数学上册(人教版)_专题突破练习-V4_2024版
专题15.30分式的运算与化简100题(分层练习)(提升练)-(人教版)_初中数学_八年级数学上册(人教版)_专题突破练习-V4_2024版
专题15.30分式的运算与化简100题(分层练习)(提升练)-(人教版)_初中数学_八年级数学上册(人教版)_专题突破练习-V4_2024版
专题15.30分式的运算与化简100题(分层练习)(提升练)-(人教版)_初中数学_八年级数学上册(人教版)_专题突破练习-V4_2024版
专题15.30分式的运算与化简100题(分层练习)(提升练)-(人教版)_初中数学_八年级数学上册(人教版)_专题突破练习-V4_2024版
专题15.30分式的运算与化简100题(分层练习)(提升练)-(人教版)_初中数学_八年级数学上册(人教版)_专题突破练习-V4_2024版
专题15.30分式的运算与化简100题(分层练习)(提升练)-(人教版)_初中数学_八年级数学上册(人教版)_专题突破练习-V4_2024版
专题15.30分式的运算与化简100题(分层练习)(提升练)-(人教版)_初中数学_八年级数学上册(人教版)_专题突破练习-V4_2024版
专题15.30分式的运算与化简100题(分层练习)(提升练)-(人教版)_初中数学_八年级数学上册(人教版)_专题突破练习-V4_2024版
专题15.30分式的运算与化简100题(分层练习)(提升练)-(人教版)_初中数学_八年级数学上册(人教版)_专题突破练习-V4_2024版
专题15.30分式的运算与化简100题(分层练习)(提升练)-(人教版)_初中数学_八年级数学上册(人教版)_专题突破练习-V4_2024版
专题15.30分式的运算与化简100题(分层练习)(提升练)-(人教版)_初中数学_八年级数学上册(人教版)_专题突破练习-V4_2024版
专题15.30分式的运算与化简100题(分层练习)(提升练)-(人教版)_初中数学_八年级数学上册(人教版)_专题突破练习-V4_2024版
专题15.30分式的运算与化简100题(分层练习)(提升练)-(人教版)_初中数学_八年级数学上册(人教版)_专题突破练习-V4_2024版
专题15.30分式的运算与化简100题(分层练习)(提升练)-(人教版)_初中数学_八年级数学上册(人教版)_专题突破练习-V4_2024版
专题15.30分式的运算与化简100题(分层练习)(提升练)-(人教版)_初中数学_八年级数学上册(人教版)_专题突破练习-V4_2024版
专题15.30分式的运算与化简100题(分层练习)(提升练)-(人教版)_初中数学_八年级数学上册(人教版)_专题突破练习-V4_2024版
专题15.30分式的运算与化简100题(分层练习)(提升练)-(人教版)_初中数学_八年级数学上册(人教版)_专题突破练习-V4_2024版
专题15.30分式的运算与化简100题(分层练习)(提升练)-(人教版)_初中数学_八年级数学上册(人教版)_专题突破练习-V4_2024版
专题15.30分式的运算与化简100题(分层练习)(提升练)-(人教版)_初中数学_八年级数学上册(人教版)_专题突破练习-V4_2024版
专题15.30分式的运算与化简100题(分层练习)(提升练)-(人教版)_初中数学_八年级数学上册(人教版)_专题突破练习-V4_2024版
专题15.30分式的运算与化简100题(分层练习)(提升练)-(人教版)_初中数学_八年级数学上册(人教版)_专题突破练习-V4_2024版
专题15.30分式的运算与化简100题(分层练习)(提升练)-(人教版)_初中数学_八年级数学上册(人教版)_专题突破练习-V4_2024版
专题15.30分式的运算与化简100题(分层练习)(提升练)-(人教版)_初中数学_八年级数学上册(人教版)_专题突破练习-V4_2024版
专题15.30分式的运算与化简100题(分层练习)(提升练)-(人教版)_初中数学_八年级数学上册(人教版)_专题突破练习-V4_2024版
专题15.30分式的运算与化简100题(分层练习)(提升练)-(人教版)_初中数学_八年级数学上册(人教版)_专题突破练习-V4_2024版
专题15.30分式的运算与化简100题(分层练习)(提升练)-(人教版)_初中数学_八年级数学上册(人教版)_专题突破练习-V4_2024版
专题15.30分式的运算与化简100题(分层练习)(提升练)-(人教版)_初中数学_八年级数学上册(人教版)_专题突破练习-V4_2024版
专题15.30分式的运算与化简100题(分层练习)(提升练)-(人教版)_初中数学_八年级数学上册(人教版)_专题突破练习-V4_2024版
专题15.30分式的运算与化简100题(分层练习)(提升练)-(人教版)_初中数学_八年级数学上册(人教版)_专题突破练习-V4_2024版
专题15.30分式的运算与化简100题(分层练习)(提升练)-(人教版)_初中数学_八年级数学上册(人教版)_专题突破练习-V4_2024版
专题15.30分式的运算与化简100题(分层练习)(提升练)-(人教版)_初中数学_八年级数学上册(人教版)_专题突破练习-V4_2024版
专题15.30分式的运算与化简100题(分层练习)(提升练)-(人教版)_初中数学_八年级数学上册(人教版)_专题突破练习-V4_2024版
专题15.30分式的运算与化简100题(分层练习)(提升练)-(人教版)_初中数学_八年级数学上册(人教版)_专题突破练习-V4_2024版
专题15.30分式的运算与化简100题(分层练习)(提升练)-(人教版)_初中数学_八年级数学上册(人教版)_专题突破练习-V4_2024版
专题15.30分式的运算与化简100题(分层练习)(提升练)-(人教版)_初中数学_八年级数学上册(人教版)_专题突破练习-V4_2024版
专题15.30分式的运算与化简100题(分层练习)(提升练)-(人教版)_初中数学_八年级数学上册(人教版)_专题突破练习-V4_2024版
专题15.30分式的运算与化简100题(分层练习)(提升练)-(人教版)_初中数学_八年级数学上册(人教版)_专题突破练习-V4_2024版
专题15.30分式的运算与化简100题(分层练习)(提升练)-(人教版)_初中数学_八年级数学上册(人教版)_专题突破练习-V4_2024版
专题15.30分式的运算与化简100题(分层练习)(提升练)-(人教版)_初中数学_八年级数学上册(人教版)_专题突破练习-V4_2024版
专题15.30分式的运算与化简100题(分层练习)(提升练)-(人教版)_初中数学_八年级数学上册(人教版)_专题突破练习-V4_2024版
专题15.30分式的运算与化简100题(分层练习)(提升练)-(人教版)_初中数学_八年级数学上册(人教版)_专题突破练习-V4_2024版
专题15.30分式的运算与化简100题(分层练习)(提升练)-(人教版)_初中数学_八年级数学上册(人教版)_专题突破练习-V4_2024版
专题15.30分式的运算与化简100题(分层练习)(提升练)-(人教版)_初中数学_八年级数学上册(人教版)_专题突破练习-V4_2024版
专题15.30分式的运算与化简100题(分层练习)(提升练)-(人教版)_初中数学_八年级数学上册(人教版)_专题突破练习-V4_2024版

文档信息

文档格式
docx
文档大小
3.928 MB
文档页数
95 页
上传时间
2026-04-06 05:50:39

文档内容

专题15.30 分式的运算与化简100 题(分层练习)(提升练) 一、计算题 1.(2023上·湖南怀化·八年级校考期中)计算: (1) (2) 2.(2023上·湖南怀化·八年级校考期中)先化简: ,再从 , , , 中 选一个合适的 值代入求值. 3.(2023上·吉林·八年级吉林省第二实验学校校考阶段练习)计算: (1) ; (2) . 4.(2023上·广西来宾·八年级校考期中)先化简,再求值: ,其中 . 5.(2023上·山东泰安·八年级统考期中)化简并求值: ,其中 . 6.(2023上·重庆渝中·九年级重庆巴蜀中学校考期末)计算: (1) (2)7.(2023上·湖南岳阳·八年级校考期中)计算 (1) ; (2) . 8.(2023上·重庆·九年级重庆一中校考期中)化简 (1) (2) 9.(2023上·福建莆田·八年级校考阶段练习)计算: (1) ; (2) ; (3) ; (4) . 10.(2023上·北京东城·八年级北京一七一中校考期中)先化简再求值, ,其中 . 11.(2021上·湖南张家界·八年级统考期中)先化简,再求值: ,其中x从 , 0,1,2中取一个你认为合适的数代入求值.12.(2023上·山东菏泽·八年级统考期中)计算: (1) ; (2) ; (3) . 13.(2023上·北京海淀·八年级北京市师达中学校考阶段练习)计算: (1) ; (2) ; (3) ; (4) . 14.(2023上·山东青岛·八年级统考期中)分式计算 (1) (2) 15.(2023上·湖南永州·八年级校考阶段练习)已知: ,其中A、B为常数,求 的值.16.(2023上·湖南永州·八年级校考阶段练习) (1) (2) 17.(2023上·湖南永州·八年级校考阶段练习) 计算: (1) ; (2) 18.(2023上·湖南邵阳·八年级统考阶段练习)先化简,再求值: ,其中 是不等式组 的整数解. 19.(2023上·重庆万州·九年级重庆市万州第二高级中学校考期中)计算: (1) (2) 20.(2023下·广东佛山·八年级校联考期末)先化简,再求值: ,已知 是满足 的整数,选择一个合适的 代入求值. 21.(2023上·山东聊城·八年级聊城东昌中学校考期中)(1)先化简 ,然后 从 ,0,1,2中选取一个合适的数作为x的值代入求值.(2)先化简再求值 ,其中a满足 . 22.(2023上·全国·八年级专题练习)(1)先化简,再求值: ,其中 . (2)先化简,再求值: ,从 中选出合适的最大整数值代入求值. 23.(2023上·全国·八年级专题练习)计算: (1) ; (2) . 24.(2023上·山东菏泽·八年级统考期中)计算: (1) (2) 25.(2023上·全国·八年级专题练习)分式的计算: (1) ; (2) . 26.(2023上·全国·八年级专题练习)计算化简 (1) ; (2) ;(3) ; (4) . 27.(2023上·黑龙江哈尔滨·九年级统考阶段练习)先化简,再求值: ,其中 . 28.(2023上·山东菏泽·八年级统考期中)计算: (1) (2) 29.(2023上·山东聊城·八年级统考期中)计算: (1) (2) (3) (4) 30.(2023上·湖南岳阳·八年级统考期中)先化简,再求值: ,其中 且x为整数.请你选一个合适的x值代入求值. 31.(2023上·山东泰安·八年级统考期中)计算:(1) ; (2) . 32.(2023上·山东威海·七年级校联考期中)计算: (1) . (2) . 33.(2023上·山东泰安·八年级统考期中)计算 (1) ; (2) . 34.(2023上·重庆沙坪坝·九年级统考期中)先化简,再求值 ,其中m满足 方程 . 35.(2023上·山东聊城·八年级校联考期中)计算: (1) (2) ,其中 36.(2023上·广西贵港·八年级统考期中)计算: (1) ; (2) .37.(2023上·湖南邵阳·八年级统考期中)诊断与纠错:先化简分式 ,再代入一 个合适的数求值. 请观察以下解答过程,指出其中的错误.并写出正确的解答过程. 解:原式 ① ② ③ ④ ⑤ 取 ,原式 ⑥ 错误的是 步.请更正: 38.(2023上·湖南怀化·八年级校联考期中)计算: (1) (2) 39.(2023·辽宁·模拟预测)计算: (1) ; (2) . 40.(2022上·湖南张家界·八年级统考期中)计算:(1) (2) 41.(2023上·贵州铜仁·八年级校联考期中)计算: (1) (2) (3) (4) 42.(2023上·贵州铜仁·八年级校考期中)计算 (1) ; (2) . 43.(2023上·山东东营·八年级校考期中)计算下列各式. (1) ; (2) . 44.(2023上·山东泰安·八年级统考期中)计算: (1)化简下列各式:① ; ② .(2)先化简: ,再从 中选一个适合的整数代入求值. 45.(2023上·贵州贵阳·九年级统考期中) (1)计算: ; (2)计算: . 46.(2023上·湖南岳阳·八年级统考期中)计算: (1) (2) 47.(2023上·湖南怀化·八年级溆浦县第一中学校考期中)计算题 (1) (2) 48.(2023上·山东淄博·八年级统考期中) (1)计算: ; (2)先化简: ,再从 ,0,1,2中选取一个合适的x的值代入求值. 49.(2023上·山东东营·八年级校考期中)计算:(1) (2) 50.(2023上·辽宁盘锦·九年级校考期中)计算 (1) (2) 51.(2023上·上海普陀·七年级校考期中)先化简: ,然后从 挑选一 个合适的整数代入求值. 52.(2023上·广西来宾·八年级统考期中)先化简,再求值: ,其中 . 53.(2023上·江苏南通·九年级校考阶段练习)计算 (1)计算: (2)化简计算: .其中a选一个你喜欢的数字代入计算 (3)解方程: 54.(2023上·湖南娄底·九年级统考期中)化简求值: ,已知 .55.(2023上·湖南怀化·八年级统考期中)计算: (1) (2) 56.(2023上·湖南株洲·八年级株洲二中校考期中)先化简,再求值: ,其中 为8的立方根. 57.(2023上·山东淄博·八年级统考期中) (1)化简: ; (2)先化简: ,再从 ,0,1中取一个你喜欢的数代入求值. 58.(2023上·山东东营·八年级校考期中)先化简,再求值: (1) ,其中 ; (2) ,其中 . 59.(2023上·湖南永州·八年级统考期中)探究题:观察下列各式的变化规律,然后解答下列问题: , , , ,…… (1)计算:若n为正整数,猜想 ______;(2) ; (3)若 ,求 的值. 60.(2023上·云南玉溪·八年级校考阶段练习)计算: (1) ; (2) ; (3) ; (4) . 61.(2023上·北京房山·八年级统考期中)先化简,再求值: ,其中 a的值从不等式组 的解集中选取一个合适的整数. 62.(2023上·河北石家庄·八年级统考期中)解答下列各题 (1)计算: (2)学校小报告厅的面积为 ,小亮数了一下地面铺的正方形地板砖正好是75块.求每块地板砖 的边长.(3)先化简: ,再从0,1, , 中选取一个合适的数代入求值. 63.(2023上·广西贵港·八年级统考期中)下面是小明同学进行分式化简的过程,请认真阅读并完成 相应任务. , …第一步, …第二步, …第三步, …第四步, …第五步, …第六步. 任务一:填空: 以上化简步骤中,第 步是进行分式的通分,通分的依据是 或填为: ; 第 步开始出现错误,这一步错误的原因是 ; 任务二:请直接写出该分式化简后的正确结果是 ; 任务三:根据小明同学进行分式化简的过程:完成下列分式的计算: . 64.(2023上·湖南岳阳·八年级校联考期中)计算: (1) ; (2) .65.(2023上·重庆·八年级西南大学附中校考期中)先化简,再求值: , 其中 满足 . 66.(2023·辽宁丹东·统考中考真题)先化简,再求值: ,其中 . 67.(2022·湖北省直辖县级单位·统考模拟预测)已知 , , ,将它们组合 成 或 的形式,请你从中任选一种进行计算,先化简,再求值其中 . 68.(2023上·北京延庆·八年级统考期中)计算: (1) ; (2) . 69.(2023上·山东东营·八年级校考阶段练习)(1)先化简再求值:,其中 , . (2)先化简,再求值: ,并从 ,0,2中选一个合适的数作为a 的值代入求值. 70.(2023上·山东东营·八年级校考阶段练习)化简 (1) ; (2) . 71.(2023上·江苏苏州·八年级校考阶段练习)计算: (1) ; (2) . 72.(2022上·山东淄博·八年级淄博市张店区实验中学校考阶段练习)计算. (1) ; (2) . 73.(2023上·北京昌平·八年级校联考期中)对于“分子为1,分母可以写作两个正因数乘积的分 数”,可以进行“裂项”转化, 例如: ; 参考上面的方法,解决下列问题:(1) ; ; (2)若将 裂项变形,则 ___________; (3)应用上述变形,化简: . 74.(2022上·河北石家庄·八年级校联考期中)先化简,再求值: ,其中a的值 为 的整数部分. 75.(2022上·河北石家庄·八年级校联考期中)计算: (1) (2) (3) (4) 76.(2022下·广东深圳·八年级校考期中)(1)化简: (2)先化简: ,再从 ,0,2,3这四个数中选择一个合适的数代入求值. 77.(2023上·黑龙江哈尔滨·八年级哈尔滨市第一一三中学校校考阶段练习)先化简,再求值:,其中 , . 78.(2023上·黑龙江佳木斯·九年级校考阶段练习)先化简再求值: ,其中 是方程 的根. 79.(2023下·四川巴中·八年级校考期中)计算与化简: (1)计算: (2) (结果化为只含有正整数指数幂的形式) (3)化简: ,然后在 范围内选择一个你喜欢的整数代入求 值. 80.(2022下·广东深圳·九年级深圳市宝安中学(集团)校考周测)(1)计算 ; (2)化简,再求值: ,其中 . 81.(2023上·湖南郴州·八年级校考阶段练习)化简: (1) ; (2) .82.(2022上·广东湛江·八年级校考期末)先化简,再求值: ,其中a 是4的平方根. 83.(2023上·湖南永州·八年级校考阶段练习)计算: (1) ; (2) 84.(2023上·山东淄博·八年级周村二中校考阶段练习)计算 (1) ; (2) ; (3) ; (4) . 85.(2023上·湖南永州·八年级统考阶段练习)计算题 (1) (2) 86.(2022下·湖南株洲·九年级株洲二中校考自主招生)化简求值: ,其 中 87.(2023上·河北邢台·八年级统考阶段练习)按要求解答下列各小题(1)计算: ; (2)计算: ; (3)先化简,再求值: ,其中 . 88.(2023上·河北石家庄·八年级石家庄市第九中学校考阶段练习)计算下列各式 (1) (2) 89.(2023上·湖南岳阳·八年级校考阶段练习)有这样一道题:“计算 的值,其 中 ”,小明把 错抄成了 ,但它的结果与正确答案相同,你说这是怎么回事? 90.(2023上·湖南岳阳·八年级校考阶段练习)计算 (1) (2) 91.(2023上·山东济宁·九年级济宁市第十五中学校考阶段练习) . (1)化简代数式M; (2)请在以下四个数中:1, ,2, ,选择一个合适的数代入,求M的值. 92.(2023上·山东济宁·九年级济宁市第十五中学校考阶段练习)计算: (1) ; (2) .93.(2023上·山东威海·八年级山东省文登第二中学校联考阶段练习)计算 (1) (2) (3) (4) 94.(2023上·山东淄博·八年级山东省淄博第十五中学校考阶段练习)化简 (1) (2) (3) ; (4) 95.(2023上·山东泰安·八年级校考阶段练习)分式化简: (1) ; (2)化简: _______; (3)先化简,再求值; ,然后从 ,0,1,2四个数中选择一个恰当的数代入 求值. 96.(2023上·山东泰安·八年级校考阶段练习)化简(1) (2) (3) (4) 97.(2023下·吉林长春·八年级校考期中)观察如图所示的小明的作业,回答下列问题. 小明的作业 解: 第一步 第二步 .第三步 (1)小明的作业中,从第______步开始出现错误. (2)从第二步到第三步是否正确?若不正确,请说明错误原因. (3)请写出正确的计算过程. 98.(2023上·山东淄博·八年级校考阶段练习)先化简,再求值: (1) ,其中 ; (2) ,其中 . 99.(2023上·山东淄博·八年级校考阶段练习)化简下列式子: (1) ; (2) .100.(2022上·北京·八年级校考期末)计算: ① ② ③已知 ,求 的值. 参考答案: 1.(1) ;(2) . 【分析】( )先算乘方,再进行加减运算即可得到结果; ( )先对分母因式分解,再通分,最后进行减法运算即可得到结果; 本题考查了有理数的运算,分式加减的运算,掌握有理数的运算法则和分式的基本性质是解题的关键. (1)解:原式 ,; (2)解:原式 , , , . 2. ,当 时,原式 . 【分析】本题考查了分式化简求值,根据分式的运算法则对分式进行化简,再选择使分式有意义的值 代入化简后的结果计算即可求解,解题的关键是熟练掌握分式的运算法则. 解:原式 , , , , , , 当 时,原式 . 3.(1) ;(2)【分析】此题考查了实数的混合运算与分式的混合运算,掌握各计算法则及运算顺序是解题的关键. (1)先计算负指数幂及零指数幂,再依次计算; (2)先计算括号内的异分母分式加减法,再计算乘除法. (1)解: ; (2)解: . 4. ; 【分析】本题主要考查了分式的化简求值,首先把除法运算转化成乘法运算,进行约分化简,再进行 通分,最后代值计算. 解:; 当 时,原式 . 5. , 【分析】根据分式的运算法则,进行化简,再代值计算即可.本题考查分式的化简求值.熟练掌握分 式的运算法则,正确的进行化简,是解题的关键. 解:原式 ; 当 时,原式 . 6.(1) ;(2) . 【分析】本题主要考查整式的加法和乘法的混合运算,分式的混合运算,解题的关键是掌握整式和分 式的运算顺序和运算法则. (1)先利用单项式与多项式的乘法法则、完全平方公式计算,再合并同类项即可;(2)先将被除式的分子、分母因式分解,同时计算括号内分式的加法,再将除法转化为乘法,最后 约分即可得到答案. 解:(1) ; (2) . 7.(1) ;(2) 【分析】本题考查了实数个混合运算,单项式的乘除混合运算. (1)先将负整数幂,0次幂,乘方化简,再进行计算即可; (2)先根据积的乘法运算法则将乘方化简,再根据同底数幂乘除运算法则进行计算即可. (1)解: ; (2)解: .8.(1) ;(2) 【分析】本题考查了分式的混合运算,单项式乘多项式,完全平方公式,准确熟练地进行计算是解题 的关键. (1)利用单项式乘多项式法则,完全平方公式进行计算,即可解答; (2)先利用异分母分式加减法法则计算括号里,再算括号外,即可解答. 解:(1) (2) 9.(1) ;(2)1;(3)1;(4) 【分析】本题考查了分式的加减运算,完全平方公式,平方差公式等知识.熟练掌握分式的加减运算 法则是解题的关键. (1)先通分,然后运用完全平方公式运算求解即可; (2)直接通分求解即可; (3)先用平方差公式运算,然后通分求解即可; (4)先通分,计算平方差,然后计算求解即可. (1)解:; (2)解: ; (3)解: ; (4)解: . 10. ,2 【分析】本题考查的是分式的化简求值,先根据分式的运算法则进行化简,再代入求值即可. 解: ,, 把 代入得,原式 . 11. ,当 时,原式 【分析】本题考查分式的化简求值,先利用分式的混合运算法则化简分式,再选择使分式有意义的一 个数代入化简的分式中求解即可.此题选数时容易忽略分式有意义的条件. 解: , ∵ , , , ∴x只能取2, ∴当 时,原式 . 12.(1) ;(2) ;(3) 【分析】本题考查了分式的混合运算,熟练掌握分式的混合运算顺序和运算法则是解题的关键. (1)先将各个分子分母因式分解,将除法改写为乘法,再进行计算即可; (2)先将分母因式分解,再通分,即可计算; (3)先将括号里面通分计算,将各个分子分母因式分解,即可计算. (1)解:; (2)解: ; (3)解: . 13.(1) ;(2) ;(3) ;(4) 【分析】本题考查了实数的运算,幂的乘方,同底数幂的乘法法则,分式的加减运算,整式的除法, 平方差公式,熟练掌握运算法则和乘法公式是解答本题的关键. (1)先化简零指数幂,负整数指数幂,计算同底数幂的除法,最后计算得到答案. (2)先通分化为同分母分式的加减,再根据法则计算,利用平方差公式,化简整理,得到答案. (3)利用多项式除以单项式的计算法则进行计算,得到答案. (4)先整理括号里面的,利用完全平方公式,分式的除法,化简整理,得到答案.(1)解: . (2) . (3) . (4) . 14.(1) ;(2) 【分析】本题考查了分式的混合运算,涉及完全平方公式以及平方差公式,正确掌握相关性质内容是 解题的关键. (1)先化简通分括号内的式子,再算括号外的除法即可;(2)先化简通分括号内的式子,再算括号外的除法即可. (1)解: ; (2)解: . 15.2 【分析】本题主要考查分式的加减法,将分子的右边先通分,可得分母相同,比较分子对应项的系数 相等即可. 解:由 ,比较分子对应的系数, 可知 . ∴ 的值为2. 16.(1) ;(2) 【分析】本题考查分式混合运算,熟练掌握分式运算法则是解题的关键. (1)先将分式分子分母分解因式,再约分即可;(2)先计算括号,再计算除法即可. 解:(1)原式 ; (2)原式 . 17.(1) ;(2) 【分析】本题考查含乘方的分式乘除混合运算,负整指数幂. (1)先计算乘方,再计算乘除即可; (2)先计算乘方,再计算乘除即可. (1)解:原式 ; (2)解:原式 .18. ,2. 【分析】本题考查的是分式的除法运算,化简求值,一元一次不等式组的解法,解题的关键是先把所 给的分式化为最简分式,然后求出不等式组的整数解,代入计算即可. 解: ; 又 由①解得: , 由②解得: ; 不等式组的解得为 ,其整数解为 ∴当 时,原式 . 19.(1) ;(2) 【分析】本题考查了整式的混合运算及分式的混合运算,注意运算法则及运算顺序不要出错; (1)用完全平方公式、单项式乘多项式展开,再合并同类项即可; (2)按照分式混合运算的顺序进行即可. (1)解: ; (2)解: .20. ,当 时,值为 【分析】本题考查分式的化简求值,利用分式的通分和约分、平方差公式对所求值式子进行化简,最 后根据 是 满足的整数,但不能为0, ,选一个合适的数字,代入计算即可. 解: , 当 或 时,原分式无意义, 是满足 的整数, , 当 时,原式 . 21.(1) ,当 时,则1;(2) , 【分析】本题考查了分式分化简求值,完全平方公式以及平方差公式: (1)先通分化简括号内,得 ,再根据除法法则,化简得 ,化简 即可作答. (2)先整理 ,通分化简括号内得 ,再根据除法法则,化 简得 ,再化简 ,得 ,代入化简后的分式,记得验根,即可作 答.解:(1) 当 时,则 ; (2) , ∵ , ∴ , 即 ,∴ . 22.(1) , ;(2) ,当 时,原式 【分析】本题主要考查了分式的混合运算及化简求值. (1)先算分式的除法,再算加法,然后把x的值代入化简后的式子进行计算,即可解答; (2)先利用异分母分式加减法法则计算括号里,再算括号外,然后把a的值代入化简后的式子进行计 算,即可解答. 熟练掌握分式的加减乘除运算法则是解题的关键.注意:求值时字母的取值不能使原式中各个分式的 分母为0. 解:(1) , 当 时,原式 ; (2), , , , , ,且a取最大整数, ∴当 时,原式 . 23.(1) ;(2) 【分析】本题考查了分式的混合运算。 (1)利用异分母分式加减法法则进行计算,即可解答; (2)先计算分式的除法,再算分式的加法,即可解答. 熟练掌握分式的混合运算法则,以及分式的加减法法则,分式的乘除法法则是解题的关键。 解:(1) (2)24.(1) ;(2)1 【分析】(1)先对各个分式分子分母因式分解,再通分,利用分式加减运算法则运算后约分即可得 到答案; (2)先对各个分式分子分母因式分解,根据分式混合运算顺序,先计算乘除,再利用分式加减运算 法则运算后约分即可得到答案. (1)解: ; (2)解: . 【点拨】本题考查分式混合运算,涉及通分、约分、因式分解等知识.掌握分式混合运算法则及运算 顺序,熟记因式分解的方法,准确找到最简公分母通分是解决分式混合运算的关键. 25.(1) ;(2) 【分析】本题主要考查分式的加法和减法. (1)先通分,再把分子相加减即可;(2)先通分,再把分子相加减即可. 熟练掌握分式的加减法法则是解题的关键. (1)解: (2)解: 26.(1)2;(2) ;(3) ;(4) 【分析】本题主要考查分式的混合运算。 (1)先计算减法,再约分即可; (2)把除法变为乘法,再约分即可; (3)先计算括号内的,再计算乘法即可; (4)将计算小括号内的,然后算括号外面的除法. 熟练掌握分式的加减乘除运算法则是解题的关键。 解:(1)(2) (3) (4) 27. , 【分析】本题考查了分式的化简求值,涉及了零指数幂和负整数指数幂,注意计算的准确性即可. 解:原式∵ ∴原式 . 28.(1) ;(2) 【分析】本题主要考查分式的混合运算,熟练掌握分式的运算法则是解题的关键. (1)通分再进行计算即可; (2)由完全平方公式和平方差公式进形因式分解再进行计算. (1)解:原式 ; (2)解:原式 . 29.(1) ;(2) ;(3) ;(4) 【分析】本题考查了分式的乘除混合运算. (1)直接约分即可求解; (2)对分子、分母因式分解,再约分即可求解; (3)先乘方,再约分即可求解; (4)对分子、分母因式分解,除法运算转化成乘法运算,再约分即可求解.(1)解: ; (2)解: ; (3)解: ; (4)解: . 30. ,当 时,原式 【分析】此题主要考查分式的化简求值,熟练掌握分式的运算法则是解题关键. 解:, ∵要使分式 有意义, , ∴x不能为1和 ,取 , 当 时,原式 . 31.(1)1;(2) 【分析】(1)本题考查了分式的加减,利用同分母分式加减法法则进行计算,即可解答; (2)本题考查了分式的混合运算,先算分式的除法,再算加减,即可解答; (1)解:原式 ; (2)解:原式 . 32.(1) ;(2) 【分析】本题考查了实数的运算,涉及到了零指数幂、负整指数幂、平方根、立方根定义,化简绝对 值. (1)原式利用算术平方根及立方根的定义,化简绝对值计算即可得到结果; (2)原式利用算术平方根的定义,化简绝对值,零指数幂、负整指数幂计算即可得到结果. 熟练掌握法则是解题的关键. (1)解:. (2) . 33.(1) ;(2) 【分析】该题主要考查了分式的混合运算问题; (1)先算除法再算减法即可; (2)先算括号再算除法即可. 解:(1)原式 ; (2)原式 . 34. ;求值得:【分析】本题考查的是分式的化简求值,先利用分式的加减乘除法则化简,再把 变形为 ,再整体代入化简后的代数式即可. 解:原式 又∵ ∴ ∴原式 35.(1) ;(2) 【分析】本题主要考查了分式的混合计算,分式的化简求值,熟知分式的相关计算法则是解题的关键. (1)先计算小括号内的分式得到 ,再把 变形为 ,接着把除法变成乘法, 最后进行约分计算即可; (2)先利用完全平方公式和平方差公式进行分解因式,然后把除法变成乘法,然后进行约分化简, 最后代值计算即可. (1)解: ; (2)解:, . 36.(1)7;(2)2 【分析】本题考查有理数的混合运算,解题的关键是掌握有理数的混合运算法则. (1)先计算乘方,再计算乘除,最后计算加减; (2)分子分母因式分解约分即可. (1)解:原式 ; (2)解:原式 . 37.②、⑥,见分析 【分析】本题考查分式的化简求值,理解分式的基本性质,掌握去括号法则,以及分式约分和通分的 技巧是解题关键.根据分式化简的步骤进行化简即可. 解:错误是第 ②、⑥步. 纠正如下: 原式 , , , ,由于 且 , 取 ,原式 . 38.(1) ;(2) 【分析】本题主要考查整式的混合运算,以及实数的运算,熟练掌握运算法则是解题的关键. (1)由乘方的运算法则以及零指数幂法则计算即可; (2)先根据负指数幂的运算法则进行计算再计算单项式乘以单项式. (1)解:原式 ; (2)解:原式 . 39.(1)20;(2) 【分析】(1)根据有理数的混合运算法则计算即可; (2)根据分式的混合运算法则计算即可. (1)解: ; (2)解: . 【点拨】本题考查有理数的混合运算,分式的混合运算.熟练掌握各运算法则是解题关键. 40.(1)2;(2) 【分析】(1)分别利用有理数的乘方,零次幂和负整数指数幂的运算法则计算即可;(2)根据整式的乘法运算法则,先计算乘方,负整数指数幂,再计算乘法即可. (1)解: = = = ; (2)解: = = = = = . 【点拨】本题考查了整式的运算和实数的运算,熟练掌握相关的运算法则是解题的关键. 41.(1) ;(2) ;(3) ;(4)1 【分析】本题考查了分式的混合运算,积的乘方以及负整数指数幂运算: (1)先通分,得 ,再运算加法,得 ,再化简,即可作答; (2)先化简负整数指数幂,再运算积的乘方,得 ,再化简,即可作答; (3)先算除法化简得 ,再通分,得 ,即可作答; (4)先算括号内,得 ,再算乘法化简,得 ,最后进行减法运算,即可作答. 正确掌握相关性质内容是解题的关键. (1)解: (2)解: (3)解: ; (4)解:42.(1) ;(2) . 【分析】( )首先计算乘方、零指数幂、负整数指数幂、绝对值,然后从左向右依次计算; ( )利用分式的乘除运算法则即可; 此题考查了实数运算及分式的乘除运算,熟练掌握相关运算法则是解题的关键. (1)解:原式 , ; (2)解:原式 , . 43.(1) ;(2) 【分析】(1)先根据积的乘方等于乘方的积,幂的乘方计算各分式,然后利用同底数幂相乘,底数 不变指数相加;同底数幂相除,底数不变指数相减;进行分式的乘除运算即可; (2)先加括号,进行通分,根据平方差公式求解多项式乘多项式,然后进行加减运算即可. (1)解: ;(2)解: . 【点拨】本题考查了积的乘方,幂的乘方,分式的乘除混合运算,同底数幂的乘除运算,异分母分式 的减法运算,平方差公式等知识.解题的关键在于熟练掌握各知识的运算法则并正确的运算. 44.(1)① ;② ;(2) ,当 时,原式 ;或当 时,原式 【分析】本题主要考查了分式的化简求值,分式的混合计算,分式的除法计算,熟知分式的相关计算 法则是解题的关键. (1)①根据分式的除法计算法则求解即可;②根据分式的混合计算法则求解即可; (2)先根据分式的混合计算法则化简,然后根据分式有意义的条件选取合适的值代值计算即可. (1)解:① ; ②; (2)解: , ∵分式要有意义, ∴ , ∴ 且 , ∴当 时,原式 ;或当 时,原式 . 45.(1)1;(2) 【分析】(1)先求算术平方根,零指数幂,负整数指数幂,然后进行加减运算即可; (2)先计算括号里的,然后进行除法运算即可. (1)解:原式 . (2)解:原式 . 【点拨】本题考查了算术平方根,零指数幂,负整数指数幂,分式的化简.熟练掌握算术平方根,零 指数幂,负整数指数幂,分式的化简是解题的关键.46.(1) ;(2) 【分析】本题考查实数的运算,分式的除法, (1)先根据有理数的乘方、负整数指数幂、绝对值的性质、零指数幂的运算法则计算,再进行有理 数的加减运算; (2)根据分式的除法法则计算即可; 掌握相应的运算法则是解题的关键. (1)解: ; (2) . 47.(1) ;(2) 【分析】本题考查了分式的混合运算、实数的混合运算. (1)首先根据负整数指数幂、零指数幂、积的乘方与幂的乘方的法则化简,然后计算加减. (2)原式先计算乘方运算,再利用除法法则变形,约分即可得到结果; 熟练掌握运算法则是解本题的关键. (1)解: , , , ;(2) , , , . 48.(1) ;(2) ,当 时,原式 【分析】此题考查了分式的化简与求值. (1)先通分,再把分子相加减即可; (2)原式括号中两项通分并利用同分母分式的减法法则计算,同时利用除法法则变形,约分得到最 简结果,把x的值代入计算即可求出值. 解:(1) ; (2), 当 或2或 时,原式没有意义; 则当 时,原式 . 49.(1) ;(2) 【分析】(1)将括号内通分,括号外除法改为乘法,再整理约分即可; (2)先通分,然后根据分式的性质化简即可求解. (1)解: ; (2)解: . 50.(1) ;(2) 【分析】本题考查实数的运算和分式的混合运算, (1)先根据算术平方根,绝对值和乘方将原式化简,再进行加减运算即可; (2)直接将括号里面通分运算,再利用分式的乘除运算法则计算得出答案; 掌握相应的运算法则是解题的关键. (1)解:; (2) . 51. , 【分析】先计算括号内的分式的减法,再把除法化为乘法,约分即可得到化简的结果,再选取使原分 式有意义的 代入计算即可. 解: , ∵ 且 且 , 且 为整数, ∴ , ∴原式 . 【点拨】本题考查的是分式的化简求值,不等式组的整数解问题,分式有意义的条件,掌握以上基础 知识是解本题的关键.52. ,当 时, 【分析】本题考查分式化简求值,解题的关键是掌握分式通分、约分,把分式化简.先算除法,再通 分算加减,化简后将有意义的 的值代入计算即可. 解:原式 , , 或 , 当 时,原式无意义, 当 时, 原式 . 53.(1)7;(2) , (答案不唯一);(3) 【分析】本题考查了实数的混合运算以及分式化简求值、解分式方程: (1)先化简绝对值、零指数幂、负整数指数幂、算术平方根,再进行加减运算,即可作答. (2)先把除法化为乘法,即 ,再算乘法,得 ,然后再通分计 算即可; (3)先去分母,得 ,算出 的值,记得要验根,即可作答. 正确掌握相关性质内容是解题的关键. (1)解:(2)解: 令 , 则 (答案不唯一); (3)解: 去分母,得 去括号,得 解得 ,经检验, 是原分式方程的解, 所以方程的解为 . 54. 【分析】本题考查分式的化简求值,明确分式化简的方法是解题关键.根据分式的减法和除法化简, 然后根据 得到 ,代入求值. 解:原式 , , , 当 时,原式 . 55.(1) ;(2) 【分析】本题考查了实数的混合运算,分式的减法运算; (1)根据有理数的乘方,零指数幂,负整数指数幂进行计算即可求解; (2)根据异分母分式的减法进行计算即可求解. (1)解:原式 . (2)原式 .56. , 【分析】本题考查分式的化简求值,掌握好分式化简规则是解题关键. 先根据分式的运算法则化简,再将8的立方根2代入计算即可. 解:原式 ∵ 为8的立方根, ∴ , ∴原式 . 57.(1) (2) , 【分析】本题考查了分式的化简及求值: (1)先变形为 ,通分,再利用同分母分式减法法则计算即可; (2)先将括号中两项通分并利用同分母分式的减法法则计算,将除法化为乘法,再约分得到最简结 果,把合适的值代入计算即可. 解:(1) ;(2) , 或1时,原分式无意义, , 当 时,原式 . 58.(1) , ;(2) , 【分析】本题主要考查了分式的化简求值,熟知分式的混合计算法则是解题的关键. (1)先根据分式的混合计算法则化简,然后代值计算即可; (2)先根据分式的混合计算法则化简,然后代值计算即可. (1)解: , 当 时,原式 ; (2)解:, ∵ , ∴ , ∴原式 . 59.(1) ;(2) ;(3) 【分析】此题考查了分式的加减法,有理数的混合运算,以及非负数的性质. (1)根据已知等式得到一般性规律,写出即可; (2)原式利用拆项法变形后,计算即可求出值; (3)利用非负数的性质求出a与b的值,代入原式计算即可求出值. (1)解:根据题意得: ; 故答案为: ; (2)解:原式 ; (3)解:∵ , ∴ , , ∴ , ,∴ . 60.(1) ;(2) ;(3) ;(4) 【分析】本题考查了分式的混合运算,熟练掌握运算法则是解答本题的关键. (1)分母不变,把分子相减即可; (2)先把除法转化为乘法,再算减法; (3)先约分化简,再算加法即可; (4)先把除法转化为乘法,再约分即可. 解:(1) ; (2) ; (3); (4) . 61. , 【分析】此题主要考查了分式的化简求值.直接将括号里面通分运算,再利用分式的混合运算法则化 简,再解不等式组,结合分式有意义的条件分析,代入合适的值求出答案. 解: , ,解不等式组得: , 当 时无意义, 故取 , 当 时,原式 . 62.(1) ;(2)每块地板砖的边长为 ;(3) ;8 【分析】(1)根据分式除法运算法则进行计算即可; (2)根据题意列出算式进行计算即可; (3)先根据分式混合运算法则进行化简,然后再代入数据求值即可. (1)解: ; (2)解: , 答:每块地板砖的边长为 . (3)解: , ∵ , , , ∴把 代入得:原式 . 【点拨】本题主要考查了分式除法,算术平方根的应用,分式化简求值,分式有意义的条件,解题的 关键是熟练掌握分式混合运算法则,准确计算. 63.任务一:①三,分式的基本性(分式的分子和分母同时乘以(或除以)同一个不为零的数,分式的值不变);②五,去括号时,括号前面是“ ”号,去括号后,括号里的第二项没有变号;任务二: ;任务三: 【分析】任务一:本题考查的是分式的基本性质的应用,去括号法则的应用;①根据通分的概念及分 式的基本性质进行填空;②根据去括号法则进行分析判断; 任务二:本题考查的是分式的混合运算;先将能进行因式分解的分子分母进行因式分解,然后进行通 分,再计算即可; 任务三:本题考查的是分式的混合运算;先将能进行因式分解的分子分母进行因式分解,先计算乘法 运算,再通分进行分式加减法运算即可. 解:任务一:①化简步骤中,第三步进行分式的通分,通分的依据是分式的基本性质或填为分式的分 子和分母同时乘以(或除以)同一个不为零的数,分式的值不变, ②第五步开始出现错误,错误原因是去括号时,括号前面是“ ”号,去括号后,括号里的第二项没 有变号, 任务二: , 任务三:. 64.(1) ;(2) . 【分析】本题考查有理数的混合运算,负整数指数幂,积的乘方,幂的乘方,单项式除以单项式.熟 练掌握相关运算法则,正确的计算是关键. (1)先进行乘方,负整数指数幂,零指数幂,去绝对值运算,再进行加减运算即可; (2)先进行负整数指数幂,积的乘方,幂的乘方运算,再进行单项式乘单项式,单项式除以单项式 的运算即可. (1)解:原式 ; (2)原式 . 65. , 【分析】原式括号中两项通分并利用同分母分式的减法法则计算,同时利用除法法则变形,约分得到 最简结果,把已知等式变形后代入计算即可求出值. 解:∵ ∴ ∴ ∴原式 . 【点拨】此题考查了分式的化简求值,熟练掌握运算法则是解本题的关键. 66. ,1 【分析】先将分子分母因式分解,除法改写为乘法,括号里面通分计算,再根据分式混合运算的运算 法则和运算顺序进行化简,根据负整数幂和0次幂的运算法则,求出x的值,最后将x的值代入计算即可. 解: , ∵ , ∴原式 . 【点拨】本题考查分式的化简求值,熟练掌握平方差公式、完全平方公式和分式的混合运算法则,以 及负整数幂和0次幂的运算法则是解题的关键. 67. 选 : , ; 选 : , . 【分析】根据分式的减法和除法可以化简题目中的式子,然后把 值代入化简后的式子即可求解.解: 选 : 则 , , , , 当 时,原式 ; 选 : 则 , , , , , , 当 时,原式 . 【点拨】此题考查了分式的化简求值,解题的关键是明确分式化简求值的方法. 68.(1) ;(2) . 【分析】( )利用同分母分式减法运算即可;( )先把除法转化为乘法运算,然后进行因式分解和约分即可求解. (1)解:原式 , , ; (2)解:原式 , . 【点拨】此题考查了分式的加减乘除运算,解题的关键是熟练掌握分式的加减乘除运算法则及其应用. 69.(1) , (2) , 时,原式= 【分析】(1)先对括号内进行通分运算,同时对分子、分母进行因式分解,再将除转化为乘,进行 约分,结果化为最简分式或整式,然后代值计算,即可求解. (2)先对括号内进行通分运算,同时对分子、分母进行因式分解,再将除转化为乘,进行约分,结 果化为最简分式或整式,排除使得分式无意义的值,然后代值计算,即可求解. 解:(1)原式 , 当 , 时, 原式 . (2)原式, , , , , 当 时 原式 . 【点拨】本题考查了分式化简求值,掌握分式化简的步骤,排除分式无意义的数值是解题的关键. 70.(1) (2) 【分析】(1)根据分式的乘除法进行计算即可求解; (2)根据分式的混合运算进行计算即可求解. (1)解: ; (2)解:. 【点拨】本题考查了分式的混合运算,熟练掌握以上运算法则是解题的关键. 71.(1) ;(2) 【分析】(1)根据算术平方根、零指数幂、负指数幂的性质计算即可; (2)根据负指数幂、立方根、绝对值的性质计算即可. (1)解:原式 (2)解:原式 【点拨】本题考查了实数的运算,熟知运算法则是解题的关键. 72.(1) ;(2) 【分析】(1)先算乘方,再将除法转化为乘法,再根据分式的性质化简即可求解; (2)先利用异分母分式加减法法则计算括号里,再算括号外,即可解答. (1)解: ; (2)解:. 【点拨】本题考查了分式的混合运算,以及化简求值,掌握分式的运算法则,准确的计算是解题的关 键. 73.(1) ;(2) ;(3) 【分析】(1)由 即可确定所填数; (2)根据 即可完成“裂项”转化; (3)把每一个分式进行“裂项”,再相加即可. (1)解: , 故答案为: ; (2)解: , 故答案为: ; (3)解: .【点拨】本题考查了分式的运算及有理数的运算,理解题中“裂项”变形是解题的关键. 74.原式 , ;原式 【分析】根据分式的加减和除法运算化简分式,再将 的整数部分代入求解即可; 解: , 的整数部分为2, ; 故原式 ; 【点拨】该题主要考查了分式的化简求值,解题的关键是掌握分式混合运算的解题法则. 75.(1) ;(2)1;(3) ;(4) 【分析】(1)根据分式乘法运算法则计算即可; (2)根据分式减法运算法则计算即可; (3)根据分式加法运算法则计算即可; (4)根据分式除法运算法则计算即可; 解:(1) ; (2); (3) ; (4) . 【点拨】该题主要考查了分式的加减乘除混合运算,解题的关键是掌握分式运算的基本运算法则. 76.(1)2;(2) , 时,原式= 【分析】(1)根据分式的乘法和减法运算法则求解即可; (2)先根据分式的混合运算法则和乘法公式化简运算,再在原分式有意义的条件下选一个数求解即 可. 解:(1); (2) , ∵ , , ∴将 代入,则原式 . 【点拨】本题考查分式的化简求值,熟练掌握分式的混合运算法则并正确求解是解答的关键,选数时 容易忽视原分式有意义的条件. 77. ,34 【分析】先进行完全平方公式和平方差公式的计算,再合并同类项进行化简,再利用零指数幂,求出 的值,然后代值计算即可. 解:原式 ; ∵ , , ∴原式 . 【点拨】本题考查整式运算的化简求值.解题的关键是掌握完全平方公式和平方差公式,正确的计算. 78. , 【分析】根据分式的减法和除法可以化简题目中的式子,然后代入化简后的式子计算即可; 解:是方程 的根, 即 故原式 ; 【点拨】本题考查分式的化简求值,解答本题的关键是明确分式加法和除法的运算法则. 79.(1) ;(2) ;(3) ;当 时,原式 ;当 时,原式 【分析】(1)根据有理数的乘方,负整数指数幂,零指数幂,求一个数的算术平方根,进行计算即 可求解; (2)根据幂的混合运算进行计算即可求解; (3)先根据分式的加减计算括号内的,同时将除法转化为乘法,再根据分式的性质化简,最后根据 分式有意义的条件取整数解,将字母的值代入求解. (1)解: ; (2)解: ; (3); ∵ ,且 为整数, , ∴ 或 当 时,原式 ; 当 时,原式 . 【点拨】本题考查了实数的混合运算,分式的化简求值,幂的混合运算,熟练掌握相关的运算法则是 解题的关键. 80.(1) ;(2) , 【分析】(1)根据立方根、绝对值、零指数幂运算分别求解后,进一步计算即可求解; (2)根据分式的性质先化简,再将 代入求值即可. 解:(1) ; (2), 当 时,原式 . 【点拨】本题考查有理数运算及分式化简求值,涉及到零指数幂运算、立方根,因式分解和通分等知 识,熟练掌握相关运算法则是解决问题的关键. 81.(1) ;(2) 【分析】(1)根据分式的加减运算法则化简即可; (2)先根据分式的加减运算化简括号内的,再根据分式的除法运算法则化简即可. (1)解: ; (2)解: . 【点拨】本题考查分式的混合运算,熟练掌握分式的混合运算法则和运算顺序,正确求解是解答的关 键.82. ,0 【分析】先计算括号内分式的减法、将除法转化为乘法,再约分即可化简原式,继而由平方根的定义 和分式有意义的条件确定 的值,代入计算即可. 解: , , 由题意知 , 又 且 , , 则原式 . 【点拨】本题主要考查分式的化简求值,解题的关键是掌握分式的混合运算顺序和运算法则及分式有 意义的条件. 83.(1) ;(2) 【分析】(1)先算负整数指数幂,乘方,绝对值,零指数幂,再算加减即可; (2)利用完全平方公式分解因式,并把除法转化乘法,然后根据分式的乘法运算计算即可. (1)解:原式 ; (2)解:原式 . 【点拨】本题主要考查分式是乘除法,幂的乘方与积的乘方,零指数幂,负整数指数幂,解答的关键是对相应的运算法则的掌握. 84.(1) ;(2) ;(3) ;(4) . 【分析】( )利用同分母分式加减法法则,进行计算即可解答; ( )先利用异分母分式加减法法则计算括号里,再算括号外,即可解答; ( )利用分式的乘除运算法则计算即可; ( )先利用异分母分式加减法法则计算即可. (1)解:原式 , ; (2)解:原式 , , ; (3)解:原式 , ; (4)解:原式 , , , . 【点拨】此题考查了分式的加减乘除混合运算,解题的关键是掌握分式混合运算顺序和运算法则. 85.(1) ;(2) 【分析】(1)先把括号里通分,再把除法转化为乘法,并把分子分母分解因式约分化简.(2)先算乘方,再算乘除即可. 解:(1) ; (2) 【点拨】本题考查了分式的混合运算,熟练掌握分式的运算法则是解答本题的关键.分式的混合运算, 要注意运算顺序,式与数有相同的混合运算顺序;先算乘除,再算加减,有括号的先算括号里面的.最后 结果分子、分母要进行约分,注意运算的结果要化成最简分式或整式. 86. ; 【分析】根据分式的混合运算把原式化简,把x的值代入计算即可. 解:, 将 ,代入上式中可得: . 【点拨】本题考查了分式的化简求值,掌握分式的乘除混合运算法则是解题的关键. 87.(1) ;(2) ;(3) , 【分析】(1)利用异分母分式的加减法求解即可; (2)分子因式分解,再约分,即可求解; (3)原式括号中两项通分并利用同分母分式的减法法则计算,同时利用除法法则变形,约分得到最 简结果,把x的值代入计算即可求出值. (1)解: ; (2)解: ; (3)解: , 当 时,原式 . 【点拨】本题主要考查了分式的化简求值,解题的关键是掌握分式混合运算顺序和运算法则. 88.(1) ;(2)【分析】(1)利用同分母加减法的法则进行运算即可; (2)先将小括号内的进行通分,然后分别因式分解,再把除法变成乘法,约分即可. 解:(1) . (2) . 【点拨】本题主要考查了同分母加减法以及分式的混合运算,熟练掌握运算法则是解本题的关键. 89.见分析 【分析】原式利用除法法则变形,约分得到最简结果,即可得到原因. 解:原式 , 所以无论x取何实数,原式的值都是常数0,与x的取值无关. 【点拨】本题考查分式的化简求值,熟练掌握运算法则是解题关键. 90.(1) ;(2) 【分析】(1)根据异分母分式加减法计算法则解答; (2)根据异分母分式加减法计算法则计算即可. (1)解:原式(2)原式 . 【点拨】此题考查了异分母分式的加减法,正确掌握计算法则是解题的关键. 91.(1) ;(2) 时,原式=12 【分析】(1)根据分式的除法运算法则求解即可; (2)首先根据分式有意义的条件得到 , ,然后将 代入 求解即可. 解:(1) ; (2)∵ , ∴ , , ∴当 时, . 【点拨】此题考查了分式的除法运算以及代数求值,分式有意义的条件等知识,解题的关键是熟练掌 握以上知识点. 92.(1) ;(2)【分析】(1)根据分式的乘除混合运算法则求解即可; (2)根据分式的乘除混合运算法则求解即可. 解:(1) ; (2) . 【点拨】此题考查了分式的乘除混合运算,解题的关键是熟练掌握分式的乘除混合运算. 93.(1) ;(2) ;(3) ;(4) 【分析】(1)根据分式的乘除混合运算法则以及分式的乘方化简,即可得到答案; (2)根据分式的混合运算法则化简,即可得到答案; (3)根据分式的混合运算法则化简以及分式的乘方化简,即可得到答案; (4)根据分式的混合运算法则化简,即可得到答案. (1)解: ;(2)解: ; (3)解: ; (4)解: . 【点拨】本题考查了含乘方的分式混合运算,熟练掌握相关运算法则是解题关键.94.(1) ;(2) ;(3) ;(4) 【分析】(1)分母和分子分解因式后,除法变为乘法,约分即可; (2)先计算括号内的加减法,再计算乘法即可; (3)通分化为同分母分式进行减法运算即可; (4)先计算括号内的加减法,再计算除法即可. 解:(1) (2) 、 (3) (4)【点拨】此题考查了分式的运算,熟练掌握分式的运算法则和混合运算顺序是解题的关键. 95.(1) ;(2) ;(3) ,当 时,原式= . 【分析】(1)根据分式乘法法则计算即可; (2)先算括号里的异分母分式加减,再计算分式除法即可得解; (3)将式子进行化简,再代数求值. (1)解: ; (2)解: , 故答案为 ; (3)解:原式 , ∵ ,∴当 时,原式 . 【点拨】本题考查分式的混合运算,分式有意义的条件,熟练掌握分式的运算法则是解题的关键. 96.(1) ;(2) ;(3) ;(4) 【分析】(1)根据分式的加减法法则计算:异分母分式加减法法则:把分母不相同的几个分式化成 分母相同的分式,叫做通分,经过通分,异分母分式的加减就转化为同分母分式的加减. (2)根据分式的加减运算法则以及乘除运算法则即可求出答案. (3)先计算括号里的,通分后根据同分母分式的减法法则计算,再将除法化成乘法,约分即可求出 值; (4)原式先计算乘方,再进行乘除运算,注意符号. (1)解:原式 , , , ; (2)原式 , , ; (3)原式 , , , ; (4)原式 ,, . 【点拨】此题考查了分式的混合运算,熟练掌握运算法则是解本题的关键. 97.(1)一;(2)不正确,错误原因是没有分母 了;(3)过程见分析 【分析】(1)观察小明的作业发现第一步开始出现错误; (2)观察第二步到第三步发现不正确,分析其原因即可; (3)写出正确的解题过程即可. (1)解:小明的作业中,从第一步开始出现错误;( 分子中的 要加括号) 故答案为:一; (2)从第二步到第三步不正确,错误原因是没有分母 了; (3)原式 . 【点拨】此题考查了分式的混合运算,熟练掌握运算法则是解本题的关键. 98.(1) , ;(2) ,5 【分析】(1)先根据分式混合运算的法则把原式进行化简,再把x的值代入进行计算即可; (2)先把分母因式分解,然后约分把原式进行化简,再把 代入进行计算即可. (1)解:, 当 时,原式 ; (2)解: , 当 即 时,原式 . 【点拨】本题主要考查了分式的化简求值,解题的关键是掌握分式混合运算顺序和运算法则. 99.(1) (2) 【分析】(1)先通分,再进行减法运算即可; (2)先通分, 再进行减法运算即可; 解:(1) (2) 【点拨】本题主要考查分式的加减,解答的关键是对相应的运算法则的掌握.100.① ,② ,③ , 【分析】①先分别化简零指数幂,负整数指数幂,然后再算加减; ②两个分式都先化简约分即可; ③原式括号中两项通分并利用同分母分式的减法法则计算,同时利用除法法则变形,约分得到最简结 果,把 代入计算即可求出值. 解:① 原式 ②原式 ③原式 , 当 时,原式 . 【点拨】此题考查了题考查实数的混合运算,整式的混合运算,零指数幂,负整数指数幂的运算,分 式的化简求值,掌握运算法则是解题关键.