当前位置:首页>文档>专题1.1勾股数模型(强化)(解析版)_北师大初中数学_8上-北师大版初中数学_旧版_06专项讲练

专题1.1勾股数模型(强化)(解析版)_北师大初中数学_8上-北师大版初中数学_旧版_06专项讲练

  • 2026-04-13 02:42:02 2026-04-12 23:20:32

文档预览

专题1.1勾股数模型(强化)(解析版)_北师大初中数学_8上-北师大版初中数学_旧版_06专项讲练
专题1.1勾股数模型(强化)(解析版)_北师大初中数学_8上-北师大版初中数学_旧版_06专项讲练
专题1.1勾股数模型(强化)(解析版)_北师大初中数学_8上-北师大版初中数学_旧版_06专项讲练
专题1.1勾股数模型(强化)(解析版)_北师大初中数学_8上-北师大版初中数学_旧版_06专项讲练
专题1.1勾股数模型(强化)(解析版)_北师大初中数学_8上-北师大版初中数学_旧版_06专项讲练
专题1.1勾股数模型(强化)(解析版)_北师大初中数学_8上-北师大版初中数学_旧版_06专项讲练
专题1.1勾股数模型(强化)(解析版)_北师大初中数学_8上-北师大版初中数学_旧版_06专项讲练
专题1.1勾股数模型(强化)(解析版)_北师大初中数学_8上-北师大版初中数学_旧版_06专项讲练
专题1.1勾股数模型(强化)(解析版)_北师大初中数学_8上-北师大版初中数学_旧版_06专项讲练
专题1.1勾股数模型(强化)(解析版)_北师大初中数学_8上-北师大版初中数学_旧版_06专项讲练
专题1.1勾股数模型(强化)(解析版)_北师大初中数学_8上-北师大版初中数学_旧版_06专项讲练
专题1.1勾股数模型(强化)(解析版)_北师大初中数学_8上-北师大版初中数学_旧版_06专项讲练
专题1.1勾股数模型(强化)(解析版)_北师大初中数学_8上-北师大版初中数学_旧版_06专项讲练
专题1.1勾股数模型(强化)(解析版)_北师大初中数学_8上-北师大版初中数学_旧版_06专项讲练
专题1.1勾股数模型(强化)(解析版)_北师大初中数学_8上-北师大版初中数学_旧版_06专项讲练
专题1.1勾股数模型(强化)(解析版)_北师大初中数学_8上-北师大版初中数学_旧版_06专项讲练
专题1.1勾股数模型(强化)(解析版)_北师大初中数学_8上-北师大版初中数学_旧版_06专项讲练
专题1.1勾股数模型(强化)(解析版)_北师大初中数学_8上-北师大版初中数学_旧版_06专项讲练
专题1.1勾股数模型(强化)(解析版)_北师大初中数学_8上-北师大版初中数学_旧版_06专项讲练
专题1.1勾股数模型(强化)(解析版)_北师大初中数学_8上-北师大版初中数学_旧版_06专项讲练
专题1.1勾股数模型(强化)(解析版)_北师大初中数学_8上-北师大版初中数学_旧版_06专项讲练
专题1.1勾股数模型(强化)(解析版)_北师大初中数学_8上-北师大版初中数学_旧版_06专项讲练

文档信息

文档格式
docx
文档大小
0.989 MB
文档页数
18 页
上传时间
2026-04-12 23:20:32

文档内容

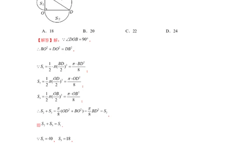
专题 1.1 勾股数模型 1.如图,在 中,分别以 , , 为直径向外作三个半圆,其面积分别为 , , ,若 , ,则 A.18 B.20 C.22 D.24 【解答】解: , , ; ; ; , 即 . , , , 故选: . 2.如图①,在 中, , ,这个直角三角形三边上分别有一 个正方形.执行下面的操作:由两个小正方形向外分别作直角边之比为 的直角三角形, 再分别以所得到的直角三角形的直角边为边长作正方形.图②是1次操作后的图形,图③ 是2次操作后的图形.如果图①中的直角三角形的周长为12,那么10次操作后的图形中所有 正 方 形 的 面 积 和 为 A.225 B.250 C.275 D.300 【解答】解:设 ,则 , 由勾股定理得: , 的周长为12, , 解得: , , , , 第1次操作后的图形中所有正方形的面积和为: , 第2次操作后的图形中所有正方形的面积和为: , 第 3 次 操 作 后 的 图 形 中 所 有 正 方 形 的 面 积 和 为 : , 第10次操作后的图形中所有正方形的面积和为: , 故选: .3.如图,所有的四边形都是正方形,所有的三角形都是直角三角形,其中 , , , ,则 A.54 B.52 C.48 D.36 【解答】解:如图, 根据勾股定理的几何意义,可知: ; 即 ; 故选: . 4.如图,以 的三边为直角边分别向外作等腰直角三角形.若 ,则图中阴影部分的面积为 A.3 B. C. D. 【解答】解:由勾股定理得: , 则 , 故选: . 5.如图, 中, ,以 、 为边分别作等边三角形 、 , 、 的面积分别为 、 ,若 ,那么 A. B. C.6 D.12 【解答】解:过点 作 ,如图, 是等边三角形,, , , 的面积为 , , 整理得: , 同理可求 , , , , , 解得: . 故选: . 6.有一个边长为1的正方形,经过一次“生长”后,在它的左右肩上生出两个小正方形, 其中,三个正方形围成的三角形是直角三角形,再经过一次“生长”后,变成了如图,如 果继续“生长”下去,他将变得“枝繁叶茂”,请你计算出“生长”了 2022次后形成的图 形中所有正方形的面积之和为A.2020 B.2021 C.2022 D.2023 【解答】解:由题意得,正方形 的面积为1, 由勾股定理得,正方形 的面积 正方形 的面积 , “生长”了1次后形成的图形中所有的正方形的面积和为2, 同理可得,“生长”了2次后形成的图形中所有的正方形的面积和为3, “生长”了3次后形成的图形中所有的正方形的面积和为4, “生长”了2022次后形成的图形中所有的正方形的面积和为2023. 故选: . 7.如图是一棵勾股树,它是由正方形和直角三角形拼成的,若正方形 、 、 、 的 边长分别是4、5、3、4,则最大正方形 的面积是 A.66 B.16 C.32 D.23 【解答】解: 根据勾股定理的几何意义,可得 、 的面积和为 , 、 的面积和为 ,, , 于是 , 即可得 . 故选: . 8.如图,在四边形 中, ,分别以四边形的四条边为边向外作 四个正方形,若 , ,则 A.184 B.86 C.119 D.81 【解答】解:由题意可知: , , , , 连接 ,在直角 和 中, , 即 , 因此 , 故选: . 9.如图, 中, ,分别以边 , , 向外作正方形,正方形 的面积为25,正方形 的面积为169,则正方形 的面积是A.194 B.144 C.122 D.110 【解答】解:在 中, , , 正方形 的面积为25,正方形 的面积为169, , , , 正方形 的面积 , 故选: . 10.如图,三个正方形围成一个直角三角形,图中的数据是它们的面积,则正方形 的面 积为 A.36 B.64 C.28 D.100 【解答】解:根据正方形的面积与边长的平方的关系得,图中面积为 64和36的正方形的 边长是8和6; 解图中直角三角形得 正方形的边长: ,所以 正方形的面积为100.故选: . 11.如图,该图形是由直角三角形和正方形构成,其中最大正方形的边长为 7,则正方形 、 、 、 的面积之和为 4 9 . 【解答】解:如图,设正方形 , , , , , 的边长分别为 , , , , , , 该图形是由直角三角形和正方形构成, 由勾股定理可得 , , , , 正方形 、 、 、 的面积之和为49, 故答案为:49. 12.如图,以正方形 的边 为直径作一个半圆,点 是半圆上一个动点,分别以 线段 、 为边各自向外作一个正方形,其面积分别为 和 ,若正方形的面积为 10,随点 的运动 的值为A.大于10 B.小于10 C.等于10 D.不确定 【解答】解: 为半圆的直径, , , , , . 故选: . 13.勾股定理是中国几何的根源,中华数学的精髓,诸如开方术、方程术、天元术等技艺 的诞生与发展,寻根探源,都与勾股定理有着密切关系,在一次数学活动中,数学小组发 现如下图形:在 中, ,图中以 、 、 为边的四边形都是正方 形,并且经测量得到三个正方形的面积分别为225、400、 ,则 的值为 A.25 B.175 C.600 D.625 【解答】解:在 中, , 由勾股定理得: , ,. 故选: . 14.正方形 的边长为1,其面积记为 ,以 为斜边作等腰直角三角形,以该等 腰直角三角形的一条直角边为边向外作正方形,其面积记为 , 按此规律继续下去,则 的值为 A. B. C. D. 【解答】解:在图中标上字母 ,如图所示. 正方形 的边长为1, 为等腰直角三角形, , , .观察,发现规律: , , , , , . 当 时, , 故选: . 15. 中, ,则三个半圆的面积关系是 A. B. C. D. 【解答】解:根据题意可知,三个半圆的直径分别为 、 、 , , , , , , , , 故选: . 16.有一个面积为1的正方形,经过一次“生长”后,在他的左右肩上生出两个小正方形, 其中,三个正方形围成的三角形是直角三角形,再经过一次“生长”后,变成了如图,如 果继续“生长”下去,它将变得“枝繁叶茂”,请你算出“生长”了 2020次后形成的图形中所有的正方形的面积和是 A.1 B.2021 C.2020 D.2019 【解答】解:由题意得,正方形 的面积为1, 由勾股定理得,正方形 的面积 正方形 的面积 , “生长”了1次后形成的图形中所有的正方形的面积和为2, 同理可得,“生长”了2次后形成的图形中所有的正方形的面积和为3, “生长”了3次后形成的图形中所有的正方形的面积和为4, “生长”了2020次后形成的图形中所有的正方形的面积和为2021, 故选: . 17.如图,所有阴影部分四边形都是正方形,所有三角形都是直角三角形,若正方形 、 、 的面积依次为6、10、24,则正方形 的面积为 A.4 B.6 C.8 D.12【解答】解:由题意: , , 正方形 、 、 的面积依次为6、10、24, , . 故选: . 18.如图,分别以直角三角形的三边为边长向外作等边三角形,面积分别记为 、 、 , 则 、 、 之间的关系是 A. B. C. D. 【解答】解:设直角三角形的三边从小到大是 , , . 则 , , . 又 ,则 . 故选: . 19.如图,所有的四边形是正方形,所有的三角形都是直角三角形,其中最大的正方形边 长为 ,则图中所有的正方形的面积之和为 A. B. C. D. 【解答】解:如右图所示, 根据勾股定理可知, , , , , 则 故选: .20.如图,以 的三边向外作正方形,其面积分别为 , , 且 , , 则 12 ;以 的三边向外作等边三角形,其面积分别为 , , ,则 , , 三者之间的关系为 . 【解答】解: , , , , 在 中, , . 设 , , , 是直角三角形, , , 又 , , ,, 故答案为:12; .