当前位置:首页>文档>专题10相似三角形的基本六大模型(解析版)_北师大初中数学_9上-北师大版初中数学_06专项讲练_学霸满分2022-2023学年九年级数学上册重难点专题提优训练(北师大版)

专题10相似三角形的基本六大模型(解析版)_北师大初中数学_9上-北师大版初中数学_06专项讲练_学霸满分2022-2023学年九年级数学上册重难点专题提优训练(北师大版)

  • 2026-04-13 03:31:25 2026-04-13 02:05:23

文档预览

专题10相似三角形的基本六大模型(解析版)_北师大初中数学_9上-北师大版初中数学_06专项讲练_学霸满分2022-2023学年九年级数学上册重难点专题提优训练(北师大版)
专题10相似三角形的基本六大模型(解析版)_北师大初中数学_9上-北师大版初中数学_06专项讲练_学霸满分2022-2023学年九年级数学上册重难点专题提优训练(北师大版)
专题10相似三角形的基本六大模型(解析版)_北师大初中数学_9上-北师大版初中数学_06专项讲练_学霸满分2022-2023学年九年级数学上册重难点专题提优训练(北师大版)
专题10相似三角形的基本六大模型(解析版)_北师大初中数学_9上-北师大版初中数学_06专项讲练_学霸满分2022-2023学年九年级数学上册重难点专题提优训练(北师大版)
专题10相似三角形的基本六大模型(解析版)_北师大初中数学_9上-北师大版初中数学_06专项讲练_学霸满分2022-2023学年九年级数学上册重难点专题提优训练(北师大版)
专题10相似三角形的基本六大模型(解析版)_北师大初中数学_9上-北师大版初中数学_06专项讲练_学霸满分2022-2023学年九年级数学上册重难点专题提优训练(北师大版)
专题10相似三角形的基本六大模型(解析版)_北师大初中数学_9上-北师大版初中数学_06专项讲练_学霸满分2022-2023学年九年级数学上册重难点专题提优训练(北师大版)
专题10相似三角形的基本六大模型(解析版)_北师大初中数学_9上-北师大版初中数学_06专项讲练_学霸满分2022-2023学年九年级数学上册重难点专题提优训练(北师大版)
专题10相似三角形的基本六大模型(解析版)_北师大初中数学_9上-北师大版初中数学_06专项讲练_学霸满分2022-2023学年九年级数学上册重难点专题提优训练(北师大版)
专题10相似三角形的基本六大模型(解析版)_北师大初中数学_9上-北师大版初中数学_06专项讲练_学霸满分2022-2023学年九年级数学上册重难点专题提优训练(北师大版)
专题10相似三角形的基本六大模型(解析版)_北师大初中数学_9上-北师大版初中数学_06专项讲练_学霸满分2022-2023学年九年级数学上册重难点专题提优训练(北师大版)
专题10相似三角形的基本六大模型(解析版)_北师大初中数学_9上-北师大版初中数学_06专项讲练_学霸满分2022-2023学年九年级数学上册重难点专题提优训练(北师大版)
专题10相似三角形的基本六大模型(解析版)_北师大初中数学_9上-北师大版初中数学_06专项讲练_学霸满分2022-2023学年九年级数学上册重难点专题提优训练(北师大版)
专题10相似三角形的基本六大模型(解析版)_北师大初中数学_9上-北师大版初中数学_06专项讲练_学霸满分2022-2023学年九年级数学上册重难点专题提优训练(北师大版)
专题10相似三角形的基本六大模型(解析版)_北师大初中数学_9上-北师大版初中数学_06专项讲练_学霸满分2022-2023学年九年级数学上册重难点专题提优训练(北师大版)
专题10相似三角形的基本六大模型(解析版)_北师大初中数学_9上-北师大版初中数学_06专项讲练_学霸满分2022-2023学年九年级数学上册重难点专题提优训练(北师大版)
专题10相似三角形的基本六大模型(解析版)_北师大初中数学_9上-北师大版初中数学_06专项讲练_学霸满分2022-2023学年九年级数学上册重难点专题提优训练(北师大版)
专题10相似三角形的基本六大模型(解析版)_北师大初中数学_9上-北师大版初中数学_06专项讲练_学霸满分2022-2023学年九年级数学上册重难点专题提优训练(北师大版)
专题10相似三角形的基本六大模型(解析版)_北师大初中数学_9上-北师大版初中数学_06专项讲练_学霸满分2022-2023学年九年级数学上册重难点专题提优训练(北师大版)
专题10相似三角形的基本六大模型(解析版)_北师大初中数学_9上-北师大版初中数学_06专项讲练_学霸满分2022-2023学年九年级数学上册重难点专题提优训练(北师大版)
专题10相似三角形的基本六大模型(解析版)_北师大初中数学_9上-北师大版初中数学_06专项讲练_学霸满分2022-2023学年九年级数学上册重难点专题提优训练(北师大版)
专题10相似三角形的基本六大模型(解析版)_北师大初中数学_9上-北师大版初中数学_06专项讲练_学霸满分2022-2023学年九年级数学上册重难点专题提优训练(北师大版)
专题10相似三角形的基本六大模型(解析版)_北师大初中数学_9上-北师大版初中数学_06专项讲练_学霸满分2022-2023学年九年级数学上册重难点专题提优训练(北师大版)
专题10相似三角形的基本六大模型(解析版)_北师大初中数学_9上-北师大版初中数学_06专项讲练_学霸满分2022-2023学年九年级数学上册重难点专题提优训练(北师大版)
专题10相似三角形的基本六大模型(解析版)_北师大初中数学_9上-北师大版初中数学_06专项讲练_学霸满分2022-2023学年九年级数学上册重难点专题提优训练(北师大版)
专题10相似三角形的基本六大模型(解析版)_北师大初中数学_9上-北师大版初中数学_06专项讲练_学霸满分2022-2023学年九年级数学上册重难点专题提优训练(北师大版)
专题10相似三角形的基本六大模型(解析版)_北师大初中数学_9上-北师大版初中数学_06专项讲练_学霸满分2022-2023学年九年级数学上册重难点专题提优训练(北师大版)
专题10相似三角形的基本六大模型(解析版)_北师大初中数学_9上-北师大版初中数学_06专项讲练_学霸满分2022-2023学年九年级数学上册重难点专题提优训练(北师大版)
专题10相似三角形的基本六大模型(解析版)_北师大初中数学_9上-北师大版初中数学_06专项讲练_学霸满分2022-2023学年九年级数学上册重难点专题提优训练(北师大版)
专题10相似三角形的基本六大模型(解析版)_北师大初中数学_9上-北师大版初中数学_06专项讲练_学霸满分2022-2023学年九年级数学上册重难点专题提优训练(北师大版)
专题10相似三角形的基本六大模型(解析版)_北师大初中数学_9上-北师大版初中数学_06专项讲练_学霸满分2022-2023学年九年级数学上册重难点专题提优训练(北师大版)
专题10相似三角形的基本六大模型(解析版)_北师大初中数学_9上-北师大版初中数学_06专项讲练_学霸满分2022-2023学年九年级数学上册重难点专题提优训练(北师大版)
专题10相似三角形的基本六大模型(解析版)_北师大初中数学_9上-北师大版初中数学_06专项讲练_学霸满分2022-2023学年九年级数学上册重难点专题提优训练(北师大版)
专题10相似三角形的基本六大模型(解析版)_北师大初中数学_9上-北师大版初中数学_06专项讲练_学霸满分2022-2023学年九年级数学上册重难点专题提优训练(北师大版)
专题10相似三角形的基本六大模型(解析版)_北师大初中数学_9上-北师大版初中数学_06专项讲练_学霸满分2022-2023学年九年级数学上册重难点专题提优训练(北师大版)
专题10相似三角形的基本六大模型(解析版)_北师大初中数学_9上-北师大版初中数学_06专项讲练_学霸满分2022-2023学年九年级数学上册重难点专题提优训练(北师大版)
专题10相似三角形的基本六大模型(解析版)_北师大初中数学_9上-北师大版初中数学_06专项讲练_学霸满分2022-2023学年九年级数学上册重难点专题提优训练(北师大版)
专题10相似三角形的基本六大模型(解析版)_北师大初中数学_9上-北师大版初中数学_06专项讲练_学霸满分2022-2023学年九年级数学上册重难点专题提优训练(北师大版)
专题10相似三角形的基本六大模型(解析版)_北师大初中数学_9上-北师大版初中数学_06专项讲练_学霸满分2022-2023学年九年级数学上册重难点专题提优训练(北师大版)
专题10相似三角形的基本六大模型(解析版)_北师大初中数学_9上-北师大版初中数学_06专项讲练_学霸满分2022-2023学年九年级数学上册重难点专题提优训练(北师大版)
专题10相似三角形的基本六大模型(解析版)_北师大初中数学_9上-北师大版初中数学_06专项讲练_学霸满分2022-2023学年九年级数学上册重难点专题提优训练(北师大版)
专题10相似三角形的基本六大模型(解析版)_北师大初中数学_9上-北师大版初中数学_06专项讲练_学霸满分2022-2023学年九年级数学上册重难点专题提优训练(北师大版)
专题10相似三角形的基本六大模型(解析版)_北师大初中数学_9上-北师大版初中数学_06专项讲练_学霸满分2022-2023学年九年级数学上册重难点专题提优训练(北师大版)

文档信息

文档格式
docx
文档大小
1.297 MB
文档页数
39 页
上传时间
2026-04-13 02:05:23

文档内容

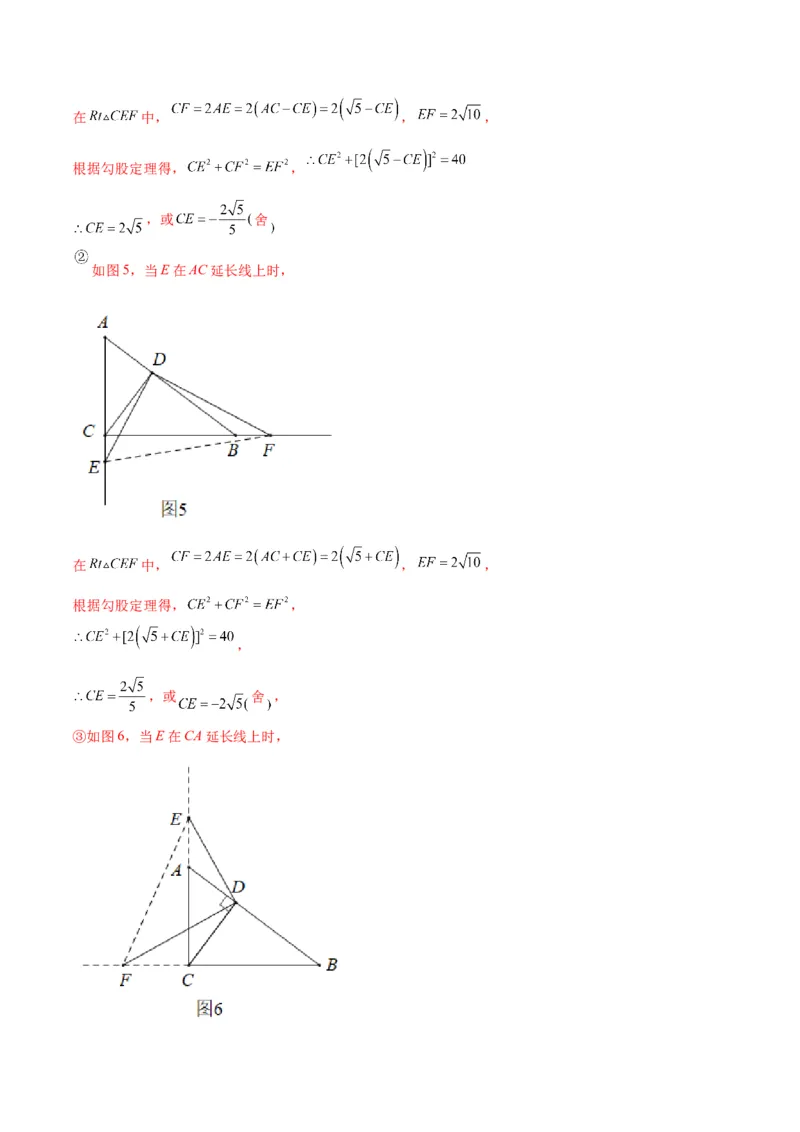
专题 10 相似三角形的基本六大模型 考点一 (双)A字型相似 考点二 (双)8字型相似 考点三 母子型相似 考点四 旋转相似 考点五 K字型相似 考点六 三角形内接矩形 考点一 (双)A字型相似 1.(2021·山东临沂·三模)如图,在△ABC中,DE∥BC,若AE=2,EC=3,则△ADE与△ABC的面积之 比为( ) A.4:25 B.2:3 C.4:9 D.2:5 【答案】A 【分析】根据相似三角形的判定定理得到△ADE∽△ABC,根据相似三角形的面积比等于相似比的平方计算, 得到答案. 【详解】解:∵AE=2,EC=3, ∴AC=AE+EC=5, ∵DE BC, ∴△ADE∽△ABC, ∴ , 故选:A. 【点睛】本题考查的是相似三角形的判定和性质,掌握相似三角形的面积比等于相似比的平方是解题的关 键. 2.(2022·全国·九年级专题练习)已知:D、E是 ABC的边AB、AC上的点,AB=8,AD=3,AC=6, △AE=4,求证: ABC∽△AED. △ 【答案】见解析 【分析】根据已知线段长度求出 ,再根据∠A=∠A推出相似即可. 【详解】证明:在 ABC和 AED 中, △ △ ∵ , , ∴ , 又∵∠A=∠A, ∴△ABC∽△AED. 【点睛】本题考查了相似三角形的判定定理的应用,注意:有两边的对应成比例,且夹角相等的两三角形 相似. 3.(2021·安徽·安庆市石化第一中学九年级期中)图, ,点H在BC上,AC与BD交于点 G,AB=2,CD=3,求GH的长. 【答案】 【分析】根据平行线分线段成比例定理,由 ,可证 CGH∽△CAB,由性质得出 ,由 △ ,可证 BGH∽△BDC,由性质得出 ,将两个式子相加,即可求出GH的长. △ 【详解】解:∵ ,∴∠A=∠HGC,∠ABC=∠GHC, ∴△CGH∽△CAB, ∴ , ∵ , ∴∠D=∠HGB,∠DCB=∠GHB, BGH∽△BDC, △ ∴ , ∴ , ∵AB=2,CD=3, ∴ , 解得:GH= . 【点睛】本题考查了相似三角形的判定和性质,平行线性质,熟练掌握相似三角形的判定和性质是解题的 关键. 4.(2021·上海市金山初级中学九年级期中)如图,在△ABC中,点D在边AB上,点E、点F在边AC上, 且DE BC, . (1)求证:DF BE; (2)如且AF=2,EF=4,AB=6 .求证△ADE∽△AEB. 【答案】(1)见详解;(2)见详解 【分析】(1)由题意易得 ,则有 ,进而问题可求证;(2)由(1)及题意可知 ,然后可得 ,进而可证 ,最后问题可求证. 【详解】解:(1)∵DE BC, ∴ , ∵ , ∴ , ∴DF BE; (2)∵AF=2,EF=4, ∴由(1)可知, ,AE=6, ∵AB=6 , ∴ , ∴ , ∴ , ∵∠A=∠A, ∴△ADE∽△AEB. 【点睛】本题主要考查相似三角形的判定,熟练掌握相似三角形的判定方法是解题的关键. 考点二 (双)8字型相似 1.(2022·福建·福州华伦中学八年级期中)如图,在平行四边形 中, 为 上一点,连接 、 ,且 、 交于点 , : : ,则 : ( )A. : B. : C. : D. : 【答案】C 【分析】根据平行四边形的性质得到DC AB,DC=AB,得到△DFE △ABF,根据相似三角形的性质计 算即可. 【详解】∵四边形 是平行四边形, ∴ , , ∵E为 上一点, ∴ ∴ , ∴ , ∴ , ∴ , 故选:C. 【点睛】本题考查的是相似三角形的性质、平行四边形的性质,掌握相似三角形的面积比等于相似比的平 方是解题的关键. 2.(2022·广东河源·九年级期末)如图,在平行四边形ABCD中,E为边AD的中点,连接AC,BE交于 点F.若△AEF 的面积为2,则△ABC的面积为( ) A.8 B.10 C.12 D.14 【答案】C 【分析】先利用平行四边形的性质得 ,AD=BC,由 可判断△AEF∽△CBF,根据相似三角形的性质得 ,然后根据三角形面积公式得 ,,则 . 【详解】∵平行四边形ABCD ∴ ,AD=BC ∵E为边AD的中点 ∴BC=2AE ∵ ∴∠EAC=∠BCA 又∵∠EFA=∠BFC ∴△AEF∽△CBF 如图,过点F作FH⊥AD于点H,FG⊥BC于点G, 则 , ∴ , ∵△AEF的面积为2 ∴ 故选C. 【点睛】本题考查了相似三角形的性质,属于同步基础题. 3.(2022·全国·九年级课时练习)如图,△ABC中,D、E分别在BA、CA延长线上,DE∥BC, , DE=1,BC的长度是_________.【答案】 【分析】根据DE∥BC,可得 ,从而得到 ,即可求解. 【详解】解:∵DE∥BC, , ∴ , ∴ , ∵ ,DE=1, ∴ , 故答案为: . 【点睛】本题主要考查了相似三角形的判定和性质,熟练掌握相似三角形的判定和性质定理是解题的关键. 4.(2022·陕西渭南·八年级期末)如图在平行四边形ABCD中,E是CD的中点,F是AE的中点,CF交 BE于点G,若 ,则 ___. 【答案】2 【分析】延长CF、BA交于M,根据已知条件得出EF=AF,CE= DC,根据平行四边形的性质得出 DC∥AB,DC=AB,根据全等三角形的判定得出△CEF≌△MAF,根据全等三角形的性质得出CE=AM,求 出BM=3CE,根据相似三角形的判定得出△CEG∽△MBG,根据相似三角形的性质得出比例式,再求出答 案即可.【详解】解:延长CF、BA交于M, ∵E是CD的中点,F是AE的中点, ∴EF=AF,CE= DC, ∵四边形ABCD是平行四边形, ∴DC∥AB,DC=AB, ∴CE= AB,∠ECF=∠M, 在△CEF和△MAF中 , ∴△CEF≌△MAF(AAS), ∴CE=AM, ∵CE= AB, ∴BM=3CE, ∵DC∥AB, ∴△CEG∽△MBG, ∴ , ∵BE=8, ∴ , 解得:GE=2, 故答案为:2. 【点睛】本题考查了平行线的性质,平行四边形的性质,全等三角形的性质和判定,相似三角形的性质和 判定等知识点,能综合运用知识点进行推理和计算是解此题的关键.5.(2021·云南·姚安县光禄中学九年级阶段练习)如图,梯形 中, ,点 在 上, 连 结 并延长与 的延长线交于点 .求证: ; 【答案】见解析 【分析】根据AB CD,利用平行线的性质求出∠CDF=∠G,∠DCF=∠GBF,可证明 CDF∽△BGF. 【详解】证明:∵在梯形ABCD中,AB CD, △ ∴∠CDF=∠G,∠DCF=∠GBF, ∴△CDF∽△BGF. 【点睛】本题考查了梯形的性质,平行线的性质,相似三角形的判定,熟练掌握两角对应相等,两个三角 形相似是解题的关键. 6.(2021·上海市奉贤区古华中学九年级期中)已知:如图,四边形ABCD是平行四边形,在边AB的延长 线上截取BE=AB,点F在AE的延长线上,CE和DF交于点M,BC和DF交于点N,联结BD. (1)求证:△BND∽△CNM; (2)如果AD2=AB•AF,求证:CM•AB=DM•CN. 【答案】(1)见解析;(2)见解析 【分析】(1)利用平行四边形的性质得AB=CD,AB∥CD,再证明四边形BECD为平行四边形得到 BD∥CE,根据相似三角形的判定方法,由CM∥DB可判断△BND∽△CNM; (2)先利用AD2=AB•AF可证明△ADB∽△AFD,则∠1=∠F,再根据平行线的性质得∠F=∠4,∠2=∠3,所 以∠3=∠4,加上∠NMC=∠CMD,于是可判断△MNC∽△MCD,所以MC:MD=CN:CD,然后利用CD=AB 和比例的性质即可得到结论. 【详解】证明:(1)∵四边形ABCD是平行四边形, ∴AB=CD,AB∥CD, 而BE=AB,∴BE=CD, 而BE∥CD, ∴四边形BECD为平行四边形, ∴BD∥CE, ∵CM∥DB, ∴△BND∽△CNM; (2)∵AD2=AB•AF, ∴AD:AB=AF:AD, 而∠DAB=∠FAD, ∴△ADB∽△AFD, ∴∠1=∠F, ∵CD∥AF,BD∥CE, ∴∠F=∠4,∠2=∠3, ∴∠3=∠4, 而∠NMC=∠CMD, ∴△MNC∽△MCD, ∴MC:MD=CN:CD, ∴MC•CD=MD•CN, 而CD=AB, ∴CM•AB=DM•CN. 【点睛】本题考查了三角形相似的判定与性质:在判定两个三角形相似时,应注意利用图形中已有的公共 角、公共边等隐含条件,以充分发挥基本图形的作用,寻找相似三角形的一般方法是通过作平行线构造相 似三角形.在运用相似三角形的性质时主要利用相似比计算线段的长.也考查了平行四边形的判定与性质. 考点三 母子型相似 1.(2021·北京市师达中学九年级阶段练习)如图, 中,点 在边 上,且 ,若, ,则 的长为______. 【答案】2 【分析】由∠ACD=∠ABC、∠A=∠A,即可得出△ABC∽△ACD,根据相似三角形的性质可得出 , 代入AC、AD的值可求出AB的长,再根据BD=AB-AD即可求出结论. 【详解】解:∵∠ACD=∠ABC,∠A=∠A, ∴△ABC∽△ACD, ∴ . ∵AC= ,AD=1, ∴ , ∴AB=3, ∴BD=AB-AD=3-1=2. 故答案为2 【点睛】本题考查了相似三角形的判定与性质,牢记相似三角形的判定定理是解题的关键. 2.(2022·全国·九年级专题练习)如图,在Rt△ABC中,∠ACB=90°,点D在AB上,且 = . (1)求证 △ACD∽△ABC; (2)若AD=3,BD=2,求CD的长. 【答案】(1)见解析;(2) 【分析】(1)根据相似三角形的判定两边成比例且夹角相等的两个三角形相似,即可得出(2)由 得 , ,推出 ,由相似三角形的性质得 ,即可求出CD的长. 【详解】(1)∵ , , ∴ ; (2)∵ , ∴ , , ∴ , ∴ , ∴ ,即 , ∴ . 【点睛】本题考查相似三角形的判定与性质,掌握相似三角形的判定定理与性质是解题的关键. 3.(2022·全国·九年级专题练习)如图,在△ABC中,BD平分∠ABC交AC于点D,AD=BD. (1)求证:△ABC∽△BDC. (2)若∠C=90°,BC=2,求AB的长. 【答案】(1)见解析; (2)4. 【分析】(1)先证明∠A=∠DBA,进而得到∠A=∠CBD,再根据∠C=∠C,即可证明△ABC∽△BDC; (2)根据∠C=90°得到∠A+∠ABC=90°,根据(1)得到∠A =∠ABD=∠CBD,即可求出∠A=30°,即 可求出AB=4. (1) 证明:如图,∵AD=BD, ∴∠A=∠DBA, ∵BD平分∠ABC交AC于点D,∴∠CBD=∠DBA, ∴∠A=∠CBD, ∵∠C=∠C, ∴△ABC∽△BDC; (2) 解:如图,∵∠C=90°, ∴∠A+∠ABC=90°, 由(1)得 ∴∠A =∠ABD=∠CBD, ∴∠A+∠ABD+∠CBD=3∠A=90°, ∴∠A=30°, ∵BC=2, ∴AB=4. 【点睛】本题考查了相似三角形的证明和直角三角形的性质,熟知相似三角形的判定方法是解题关键,第 (2)步中求出∠A=30°是解题关键. 4.(2021·安徽滁州·九年级期中)如图,在 ABC中,D是BC上的点,E是AD上一点,且 , △ ∠BAD=∠ECA. (1)求证:AC2=BC•CD; (2)若AD是 ABC的中线,求 的值. △ 【答案】(1)证明见解析;(2)【分析】(1)首先利用相似三角形的判定得出 ,得 ,进而求出 , 再利用相似三角形的性质得出答案即可; (2)由 可证 ,进而得出 ,再由(1)可证 ,由此即可得 出线段之间关系. 【详解】(1)证明: , , , , , , , . (2)解: , , , , AD是 ABC的中线, △ , ,即: , ∴ . 【点睛】此题主要考查了相似三角形的判定与性质以及重心的性质等知识,根据已知得出 是 解题关键. 考点四 旋转相似 1.(2022·浙江舟山·九年级期末)【问题发现】(1)如图1,在Rt△ABC中,AB=AC,D为BC边上一 点(不与点B、C重合)将线段AD绕点A顺时针旋转90°得到AE,连结EC,则线段BD与CE的数量关 系是 ,位置关系是 ;【探究证明】(2)如图2,在Rt△ABC和Rt△ADE中,AB=AC,AD=AE,将△ADE绕点A旋转,当点 C,D,E在同一直线时,BD与CE具有怎样的位置关系,并说明理由; 【拓展延伸】(3)如图3,在Rt△BCD中,∠BCD=90°,BC=2CD=4,将△ACD绕顺时针旋转,点C 对应点E,设旋转角∠CAE为α(0°<α<360°),当点C,D,E在同一直线时,画出图形,并求出线 段BE的长度. 【答案】(1)BD=CE,BD⊥CE;(2)BD⊥CE,理由见解析;(3)画出图形见解析,线段BE的长度 为 . 【分析】(1)由题意易得AD=AE,∠CAE=∠BAD,从而可证△ABD≌△ACE,然后根据三角形全等的性质 可求解; (2)连接BD,由题意易得∠BAD=∠CAE,进而可证△BAD≌△CAE,最后根据三角形全等的性质及角的 等量关系可求证; (3)如图,过A作AF⊥EC,由题意可知Rt△ABC∽Rt△AED,∠BAC=∠EAD=90°,然后根据相似三 角形的性质及题意易证△BAE∽△CAD,最后根据勾股定理及等积法进行求解即可. 【详解】解:(1)在Rt△ABC中,AB=AC, ∴∠B=∠ACB=45°, ∵∠BAC=∠DAE=90°, ∴∠BAC﹣∠DAC=∠DAE﹣∠DAC,即∠BAD=∠CAE, 在△BAD和△CAE中, , ∴△BAD≌△CAE(SAS), ∴BD=CE,∠B=∠ACE=45°, ∵∠ACB=45°, ∴∠BCE=45°+45°=90°, 故答案为:BD=CE,BD⊥CE;(2)BD⊥CE, 理由:如图2,连接BD, ∵在Rt△ABC和Rt△ADE中,AB=AC,AD=AE,∠AEC=45°, ∵∠CAB=∠DAE=90°, ∴∠BAD=∠CAE, ∵AC=AB,AE=AD, ∴△CEA≌△BDA(SAS), ∴∠BDA=∠AEC=45°, ∴∠BDE=∠ADB+∠ADE=90°, ∴BD⊥CE; (3)如图3,过A作AF⊥EC, 由题意可知Rt△ABC∽Rt△AED,∠BAC=∠EAD=90°, ∴ ,即 , ∵∠BAC=∠EAD=90°, ∴∠BAE=∠CAD, ∴△BAE∽△CAD, ∴∠ABE=∠ACD, ∵∠BEC=180°﹣(∠CBE+∠BCE)=180°﹣(∠CBA+∠ABE+∠BCE)=180°﹣ (∠CBA+∠ACD+∠BCE)=90°,∴BE⊥CE, 在Rt△BCD中,BC=2CD=4, ∴BD= , ∵AC⊥BD, ∴S△BCD= AC•BD= BC•AC, ∴AC=AE= ,AD= , ∴AF= ,CE=2CF=2× , ∴BE= . 【点睛】本题主要考查全等三角形的性质与判定及相似三角形的性质与判定,关键是根据题意得到三角形 的全等,然后利用全等三角形的性质得到相似三角形,进而求解. 2.(2022·福建省福州第十九中学模拟预测)在△ABC中,AB=AC,∠BAC=α,点P为线段CA延长线上 一动点,连接PB,将线段PB绕点P逆时针旋转,旋转角为α,得到线段PD,连接DB,DC. (1)如图1,当α=60°时,求证:PA=DC; (2)如图2,当α=120°时,猜想PA和DC的数量关系并说明理由. (3)当α=120°时,若AB=6,BP= ,请直接写出点D到CP的距离. 【答案】(1)见解析;(2) ;(3) 或 【分析】(1)当α=60°时,△ABC和△PBD为等边三角形,根据三角形全等即可求证;(2)过点 作 ,求得 ,根据题意可得 ,可得 ,再根据 ,判定 ,得到 ,即可求解; (3)过点 作 于点 ,过点 作 于点 ,分两种情况进行讨论,当 在线段 或当 在线段 延长线上时,设 根据勾股定理求解即可. 【详解】解:(1)当α=60°时,∵AB=AC ∴△ABC为等边三角形, ∴ , 由旋转的性质可得: , ∴△PBD为等边三角形 ∴ , ∴ 在 和 中 ∴ ∴ (2)过点 作 ,如下图: ∵当α=120°时, ∴ ,∴ 由勾股定理得 ∴ ∴ 由旋转的性质可得: , ∴ , 又∵ ∴ 又∵ , ∴ ∴ ∴ ∴ (3)过点 作 于点 ,过点 作 于点 ,则点D到CP的距离就是 的长度 当 在线段 上时,如下图: 由题意可得: ∵α=120°, ∴ 在 中, , ∴ , 在 中, , ,∴∴ , 由(2)得 由旋转的性质可得: 设 ,则 由勾股定理可得: 即 ,解得 则 当 在线段 延长线上,如下图: 则 , 由(2)得, 设 ,则 由勾股定理可得: 即 ,解得 则 综上所述:点D到CP的距离为 或 【点睛】此题考查了旋转的性质、全等三角形的判定及性质、相似三角形的判定及性质、等腰三角形的性 质以及勾股定理,综合性比较强,熟练掌握相关基本性质是解题的关键. 3.(2021·全国·九年级专题练习)如图1,在 中, ,在斜边 上取一点 D,过点D作 ,交 于点E.现将 绕点A旋转一定角度到如图2所示的位置(点D在的内部),使得 . (1)①求证: ; ②若 ,求 的长; (2)如图3,将原题中的条件“ ”去掉,其它条件不变, 设,若 , ,求k的值; (3)如图4,将原题中的条件“ ”去掉,其它条件不变,若 ,设 , ,试探究 三者之间满足的等量关系.(直接写出结果,不必写出解答过程) 【答案】(1)①见解析;② ;(2) ;(3)4p2=9m2+4n2. 【分析】(1)①先利用平行线分线段成比例定理得 ,进而得出结论; ②利用①得出的比例式求出CE,再判断出∠DCE=90°,利用勾股定理即可得出结论; (2)同(1)的方法判断出 ABD∽△ACE,即可得出AE=4k,CE=3k,同(1)的方法得出∠DCE=90°,利 用勾股定理得出DE的平方,△用DE的平方建立方程求解即可; (3)同(2)的方法得出 , 即可得出结论; 【详解】解:(1)①∵DE∥BC, ∴ , 由旋转知,∠EAC=∠DAB, ∴△ABD∽△ACE, ②在Rt ABC中,AC=BC, △ ∴ , 由①知, ABD∽△ACE, △∴∠ABD=∠ACE, ∵∠ACD+∠ABD=90°, ∴∠ACE+∠ACD=90°, ∴∠DCE=90°, ∵△ABD∽△ACE, , ∴ , ∵ ∴ 在Rt CDE中, △ 根据勾股定理得,DE=2, 在Rt ADE中,AE=DE, △ ∴ (2)由旋转知,∠EAC=∠DAB, , ∴△ABD∽△ACE, ∵AD=4,BD=3, ∴AE=kAD=4k,CE=kBD=3k, ∵△ABD∽△ACE, ∴∠ABD=∠ACE, ∵∠ACD+∠ABD=90°, ∴∠ACE+∠ACD=90°, ∴∠DCE=90°, 在Rt CDE中,DE2=CD2+CE2=1+9k2, 在Rt△ADE中,DE2=AD2-AE2=16-16k2, △∴1+9k2=16-16k2, ∴ 或 (舍), (3)由旋转知,∠EAC=∠DAB, ∴△ABD∽△ACE, ∵AD=p,BD=n, ∴ , ∵△ABD∽△ACE, ∴∠ABD=∠ACE, ∵∠ACD+∠ABD=90°, ∴∠ACE+∠ACD=90°, ∴∠DCE=90°, 在Rt CDE中, , △ ∵ , , ∴4p2=9m2+4n2. 【点睛】此题是相似三角形综合题,主要考查了旋转的性质,相似三角形的判定和性质,勾股定理,直角 三角形的判定,解本题的关键是得出∠DCE=90°和利用两边对应成比例夹角相等来判断两三角形相似的方 法应用. 考点五 K字型相似 1.(2021·湖南长沙·九年级专题练习)如图,在矩形ABCD中,BC=6,AB=2,Rt BEF的顶点E在边 △ CD或延长线上运动,且∠BEF=90°,EF= BE,DF= ,则BE=_____.【答案】3 . 【分析】过F作FG⊥CD,交CD的延长线于G,依据相似三角形的性质,即可得到FG= EC,GE=2= CD;设EC=x,则DG=x,FG= x,再根据勾股定理,即可得到CE2=9,最后依据勾股定理进行计算, 即可得出BE的长. 【详解】如图所示,过F作FG⊥CD,交CD的延长线于G,则∠G=90°, ∵四边形ABCD是矩形, ∴∠C=90°,AB=CD=2, 又∵∠BEF=90°, ∴∠FEG+∠BEC=90°=∠EBC+∠BEC, ∴∠FEG=∠EBC, 又∵∠C=∠G=90°, ∴△BCE∽△EGF, ∴ = = ,即 = = , ∴FG= EC,GE=2=CD, ∴DG=EC, 设EC=x,则DG=x,FG= x,∵Rt△FDG中,FG2+DG2=DF2, ∴( x)2+x2=( )2, 解得x2=9, 即CE2=9, ∴Rt△BCE中,BE= = =3 , 故答案为:3 . 【点睛】本题主要考查了相似三角形的判定与性质以及勾股定理的运用,在判定两个三角形相似时,应注 意利用图形中已有的公共角、公共边等隐含条件,以充分发挥基本图形的作用,寻找相似三角形的一般方 法是通过作平行线构造相似三角形;或依据基本图形对图形进行分解、组合;或作辅助线构造相似三角形. 2.(2022·全国·九年级单元测试)如图,在等边△ABC中,P为BC上一点,D为AC上一点,且∠APD= 60°,2BP=3CD,BP=1. (1)求证△ABP∽△PCD; (2)求△ABC的边长. 【答案】(1)证明见解析;(2)3. 【分析】(1)由△ABC是等边三角形,证明∠B=∠C=60°,再利用平角的定义与三角形的内角和定理证 明:∠BPA=∠PDC,从而可得结论; (2)由 ,先求解 ,设 ,再利用相似三角形的性质可得: ,列 方程,解方程即可得到答案. 【详解】证明:(1)∵△ABC是等边三角形, ∴AB=BC=AC,∠B=∠C=60°, ∵∠BPA+∠APD+∠DPC=180°且∠APD=60°, ∴∠BPA+∠DPC=120° ∵∠DPC+∠C+∠PDC=180°,∴∠DPC+∠PDC=120°, ∴∠BPA=∠PDC, ∴△ABP∽△PCD ; (2)∵2BP=3CD,且BP=1, ∴ , ∵△ABP∽△PCD , 设 ,则 , ∴ 经检验: 是原方程的解, 所以三角形 的边长为:3. 【点睛】本题考查的是等边三角形的性质,相似三角形的判定与性质,分式方程的解法,掌握三角形的判 定及利用相似三角形的性质解决问题是解题的关键. 3.(2020·广东·深圳市沙井中学九年级阶段练习)如图,已知四边形ABCD,∠B=∠C=90°,P是BC边 上的一点,∠APD=90°. (1)求证: ; (2)若BC=10,CD=3,PD=3 ,求AB的长. 【答案】(1)证明见解析;(2)8. 【分析】(1)先根据直角三角形的两锐角互余、角的和差可得 ,再根据相似三角形的判定 即可得证;(2)先利用勾股定理求出PC的长,从而可得BP的长,再利用相似三角形的性质即可得. 【详解】(1) , , , 在 和 中, , ; (2) 在 中, , , , , 由(1)已证: , ,即 , 解得 . 【点睛】本题考查了相似三角形的判定与性质、勾股定理等知识点,熟练掌握相似三角形的判定与性质是 解题关键. 4.(2022·山东菏泽·三模)(1)问题 如图1,在四边形ABCD中,点P为AB上一点,当 时,求证: . (2)探究 若将90°角改为锐角或钝角(如图2),其他条件不变,上述结论还成立吗?说明理由. (3)应用 如图3,在 中, , ,以点A为直角顶点作等腰 .点D在BC上,点E在 AC上,点F在BC上,且 ,若 ,求CD的长.【答案】(1)见解析;(2)成立,理由见解析;(3) 【分析】(1)由∠DPC=∠A=B=90°,可得∠ADP=∠BPC,即可证到△ADP △BPC,然后运用相似三角 形的性质即可解决问题; (2)由∠DPC=∠A=∠B=α,可得∠ADP=∠BPC,即可证到△ADP △BPC,然后运用相似三角形的性 质即可解决问题; (3)先证△ABD △DFE,求出DF=4,再证△EFC △DEC,可求FC=1,进而解答即可. 【详解】(1)证明:如题图1, ∵∠DPC=∠A=∠B=90°, ∴∠ADP+∠APD=90°,∠BPC+∠APD = 90°, ∴∠ADP = ∠BPC, ∴△ADP △BPC, , ∴AD BC = AP BP, (2)结论仍然成立,理由如下, , 又 , , , 设 , , , , ∴AD BC = AP BP, (3) ,, , , , 是等腰直角三角形, , , , , , , , , , , , . 【点睛】本题考查相似三角形的综合题,三角形的相似;能够通过构造45°角将问题转化为一线三角是解 题的关键. 5.(2021·全国·九年级专题练习)如图,在Rt△ABC中,∠ACB=90°, ,CD⊥AB于点D,点E 是直线AC上一动点,连接DE,过点D作FD⊥ED,交直线BC于点F. (1)探究发现: 如图1,若m=n,点E在线段AC上,则 = ; (2)数学思考: ①如图2,若点E在线段AC上,则 = (用含m,n的代数式表示); ②当点E在直线AC上运动时,①中的结论是否仍然成立?请仅就图3的情形给出证明;(3)拓展应用:若AC= ,BC=2 ,DF=4 ,请直接写出CE的长. 【答案】(1)1; ;(2)① ;② ;(3) 或 【分析】(1)先用等量代换判断出 , ,得到 ∽ ,再判断出 ∽ 即可; (2)方法和 一样,先用等量代换判断出 , ,得到 ∽ ,再判断 出 ∽ 即可; (3)由 的结论得出 ∽ ,判断出 ,求出DE,再利用勾股定理,计算出即可. 【详解】解: 当 时,即: , , , , , , , , 即 , ∽ , , , , ∽ ,, , , , , , , , 即 , ∽ , , , , ∽ , , 成立 如图3, , , 又 , , ,, , 即 , ∽ , , , , ∽ , , . 由 有, ∽ , , , , 如图4图5图6,连接EF. 在 中, , , , 如图4,当E在线段AC上时,在 中, , , 根据勾股定理得, , ,或 舍 如图5,当E在AC延长线上时, 在 中, , , 根据勾股定理得, , , ,或 舍 , ③如图6,当E在CA延长线上时,在 中, , , 根据勾股定理得, , , ,或 (舍), 综上: 或 . 【点睛】本题是三角形综合题,主要考查了三角形相似的性质和判定,勾股定理,判断相似是解决本题的 关键,求CE是本题的难点. 考点六 三角形内接矩形 1.(2021·全国·九年级课时练习)如图,已知三角形铁皮 的边 , 边上的高 , 要剪出一个正方形铁片 ,使 、 在 上, 、 分别在 、 上,则正方形 的边长 ________. 【答案】 【分析】设AM交GF于H点,然后根据相似三角形的判定与性质求解即可. 【详解】解:如图,设高AM交GF于H点, ∵四边形DEFG为正方形, ∴GF∥DE,即:GF∥BC, ∴AH⊥GF, AGF∽△ABC, △ ∴ , 设正方形的边长为 ,∴ , 解得: , 故答案为: . 【点睛】本题考查相似三角形的判定与性质,理解相似三角形的基本性质是解题关键. 2.(2019·吉林长春·九年级期末)如图,在 ABC中,∠C=90°,AC=BC,AB=8.点P从点A出发,以 每秒2个单位长度的速度沿边AB向点B运动△.过点P作PD⊥AB交折线AC﹣CB于点D,以PD为边在PD 右侧做正方形PDEF.设正方形PDEF与 ABC重叠部分图形的面积为S,点P的运动时间为t秒(0<t< 4). △ (1)当点D在边AC上时,正方形PDEF的边长为 (用含t的代数式表示). (2)当点E落在边BC上时,求t的值. (3)当点D在边AC上时,求S与t之间的函数关系式. (4)作射线PE交边BC于点G,连结DF.当DF=4EG时,直接写出t的值. 【答案】(1)2t;(2) ;(3) ;(4)t= 或 【分析】(1)由等腰直角三角形的性质和正方形的性质可得:∠A=∠ADP=45°,即AP=DP=2t; (2)由等腰直角三角形的性质和正方形的性质可得:AB=AP+PF+FB,即2t+2t+2t=8,可求t的值; (3)分两种情况讨论,根据重叠部分的图形的形状,可求S与t之间的函数关系式;(4)分点E在 ABC内部和 ABC外部两种情况讨论,根据平行线分线段成比例,可求t的值. 【详解】(1)∵△∠C=90°,△AC=BC, ∴∠A=45°=∠B,且DP⊥AB, ∴∠A=∠ADP=45°, ∴AP=DP=2t, 故答案为2t, (2)如图, ∵四边形DEFP是正方形, ∴DP=DE=EF=PF,∠DPF=∠EFP=90°, ∵∠A=∠B=45°, ∴∠A=∠ADP=∠B=∠BEF=45°, ∴AP=DP=2t=EF=FB=PF, ∵AB=AP+PF+FB, ∴2t+2t+2t=8, ∴t= ; (3)当0<t≤ 时,正方形PDEF与 ABC重叠部分图形的面积为正方形PDEF的面积, △ 即S=DP2=4t2, 当 <t≤2时,如图,正方形PDEF与 ABC重叠部分图形的面积为五边形PDGHF的面积, △∵AP=DP=PF=2t, ∴BF=8﹣AP﹣PF=8﹣4t, ∵BF=HF=8﹣4t, ∴EH=EF﹣HF=2t﹣(8﹣4t)=6t﹣8, ∴S=S DPFE﹣S GHE, 正方形 △ ∴S=4t2﹣ ×(6t﹣8)2=﹣14t2+48t﹣32, 综上所述,S与t之间的函数关系式为 . (4)如图,当点E在 ABC内部,设DF与PE交于点O, △ ∵四边形PDEF是正方形, ∴DF=PE=2PO=2EO,∠DFP=45°, ∴∠DFP=∠ABC=45°, ∴DF∥BC, ∴ , ∵DF=4EG, ∴设EG=a,则DF=4a=PE,PO=2a=EO, ∴PG=5a, ∴ , ∴ , ∴t= , 如图,当点E在 ABC外部,设DF与PE交于点O, △∵四边形PDEF是正方形, ∴DF=PE=2PO=2EO,∠DFP=45°, ∴∠DFP=∠ABC=45°, ∴DF∥BC, ∴ , ∵DF=4EG, ∴设EG=a,则DF=4a=PE,PO=2a=EO, ∴PG=3a, ∵ , ∴ , ∴t= , 综上所述:t= 或 . 【点睛】本题是四边形的综合题,主要考查了正方形的性质、等腰直角三角形的性质、平行线分线段成比 例和重叠部分的面积等知识.先求特殊位置时对应的t值,做到不重不漏,再利用数形结合的思想,确定重 叠部分图形的形状是解题的关键.