当前位置:首页>文档>专题28圆锥曲线中的范围和最值问题(解析版)_02高考数学_2024年新高考资料_3.2024专项复习_2024年新高考数学之圆锥曲线专项重难点突破练(新高考专用)

专题28圆锥曲线中的范围和最值问题(解析版)_02高考数学_2024年新高考资料_3.2024专项复习_2024年新高考数学之圆锥曲线专项重难点突破练(新高考专用)

  • 2026-05-17 08:41:14 2026-04-13 06:04:34

文档预览

专题28圆锥曲线中的范围和最值问题(解析版)_02高考数学_2024年新高考资料_3.2024专项复习_2024年新高考数学之圆锥曲线专项重难点突破练(新高考专用)
专题28圆锥曲线中的范围和最值问题(解析版)_02高考数学_2024年新高考资料_3.2024专项复习_2024年新高考数学之圆锥曲线专项重难点突破练(新高考专用)
专题28圆锥曲线中的范围和最值问题(解析版)_02高考数学_2024年新高考资料_3.2024专项复习_2024年新高考数学之圆锥曲线专项重难点突破练(新高考专用)
专题28圆锥曲线中的范围和最值问题(解析版)_02高考数学_2024年新高考资料_3.2024专项复习_2024年新高考数学之圆锥曲线专项重难点突破练(新高考专用)
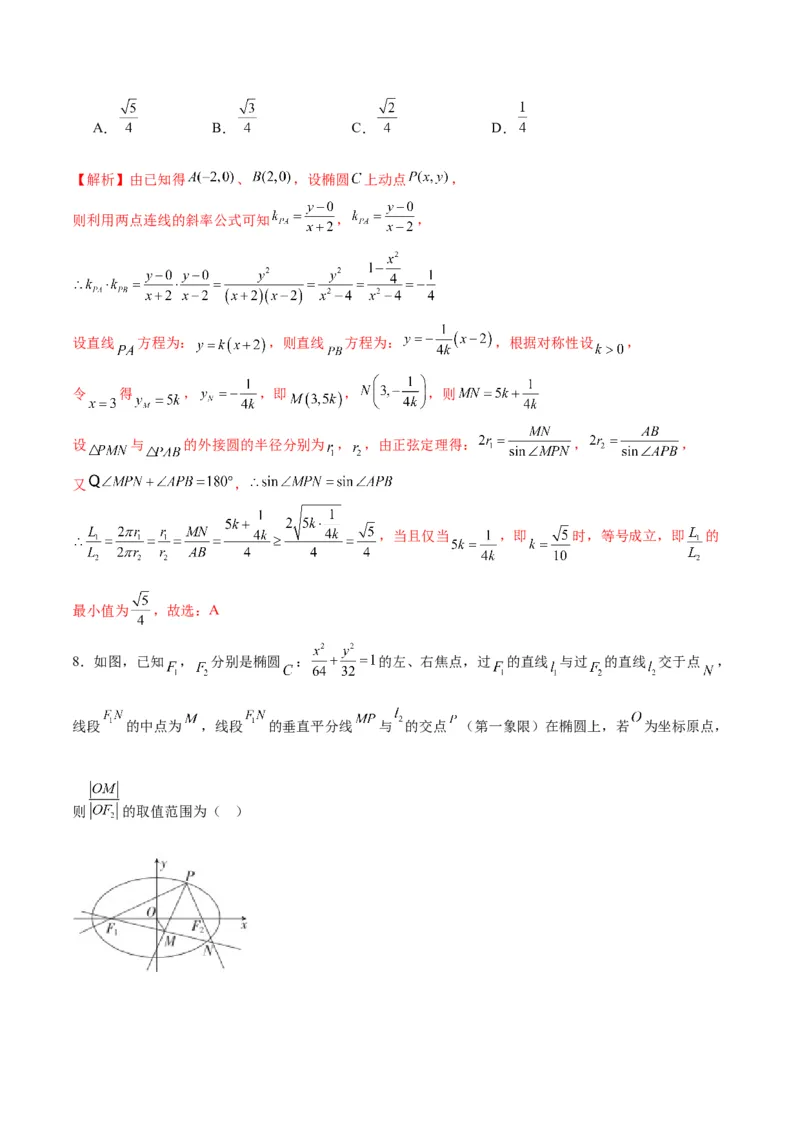
专题28圆锥曲线中的范围和最值问题(解析版)_02高考数学_2024年新高考资料_3.2024专项复习_2024年新高考数学之圆锥曲线专项重难点突破练(新高考专用)
专题28圆锥曲线中的范围和最值问题(解析版)_02高考数学_2024年新高考资料_3.2024专项复习_2024年新高考数学之圆锥曲线专项重难点突破练(新高考专用)
专题28圆锥曲线中的范围和最值问题(解析版)_02高考数学_2024年新高考资料_3.2024专项复习_2024年新高考数学之圆锥曲线专项重难点突破练(新高考专用)
专题28圆锥曲线中的范围和最值问题(解析版)_02高考数学_2024年新高考资料_3.2024专项复习_2024年新高考数学之圆锥曲线专项重难点突破练(新高考专用)
专题28圆锥曲线中的范围和最值问题(解析版)_02高考数学_2024年新高考资料_3.2024专项复习_2024年新高考数学之圆锥曲线专项重难点突破练(新高考专用)
专题28圆锥曲线中的范围和最值问题(解析版)_02高考数学_2024年新高考资料_3.2024专项复习_2024年新高考数学之圆锥曲线专项重难点突破练(新高考专用)
专题28圆锥曲线中的范围和最值问题(解析版)_02高考数学_2024年新高考资料_3.2024专项复习_2024年新高考数学之圆锥曲线专项重难点突破练(新高考专用)
专题28圆锥曲线中的范围和最值问题(解析版)_02高考数学_2024年新高考资料_3.2024专项复习_2024年新高考数学之圆锥曲线专项重难点突破练(新高考专用)
专题28圆锥曲线中的范围和最值问题(解析版)_02高考数学_2024年新高考资料_3.2024专项复习_2024年新高考数学之圆锥曲线专项重难点突破练(新高考专用)
专题28圆锥曲线中的范围和最值问题(解析版)_02高考数学_2024年新高考资料_3.2024专项复习_2024年新高考数学之圆锥曲线专项重难点突破练(新高考专用)
专题28圆锥曲线中的范围和最值问题(解析版)_02高考数学_2024年新高考资料_3.2024专项复习_2024年新高考数学之圆锥曲线专项重难点突破练(新高考专用)
专题28圆锥曲线中的范围和最值问题(解析版)_02高考数学_2024年新高考资料_3.2024专项复习_2024年新高考数学之圆锥曲线专项重难点突破练(新高考专用)
专题28圆锥曲线中的范围和最值问题(解析版)_02高考数学_2024年新高考资料_3.2024专项复习_2024年新高考数学之圆锥曲线专项重难点突破练(新高考专用)
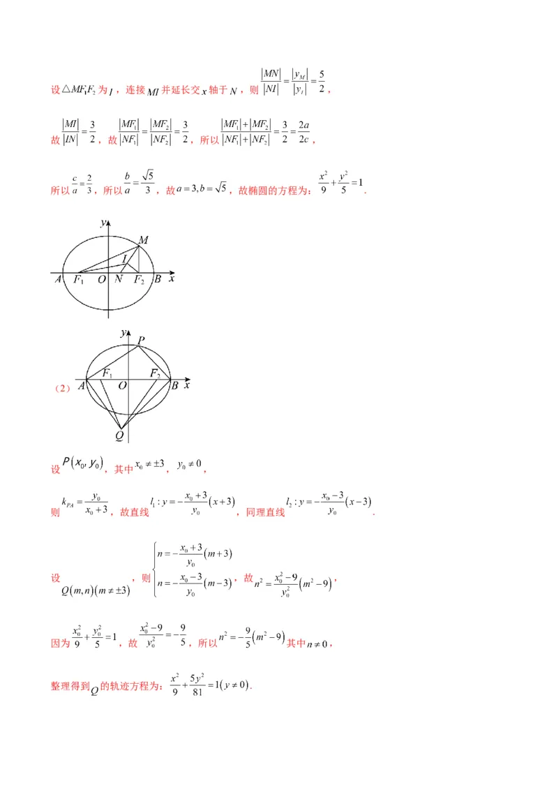
专题28圆锥曲线中的范围和最值问题(解析版)_02高考数学_2024年新高考资料_3.2024专项复习_2024年新高考数学之圆锥曲线专项重难点突破练(新高考专用)
专题28圆锥曲线中的范围和最值问题(解析版)_02高考数学_2024年新高考资料_3.2024专项复习_2024年新高考数学之圆锥曲线专项重难点突破练(新高考专用)
专题28圆锥曲线中的范围和最值问题(解析版)_02高考数学_2024年新高考资料_3.2024专项复习_2024年新高考数学之圆锥曲线专项重难点突破练(新高考专用)
专题28圆锥曲线中的范围和最值问题(解析版)_02高考数学_2024年新高考资料_3.2024专项复习_2024年新高考数学之圆锥曲线专项重难点突破练(新高考专用)
专题28圆锥曲线中的范围和最值问题(解析版)_02高考数学_2024年新高考资料_3.2024专项复习_2024年新高考数学之圆锥曲线专项重难点突破练(新高考专用)
专题28圆锥曲线中的范围和最值问题(解析版)_02高考数学_2024年新高考资料_3.2024专项复习_2024年新高考数学之圆锥曲线专项重难点突破练(新高考专用)
专题28圆锥曲线中的范围和最值问题(解析版)_02高考数学_2024年新高考资料_3.2024专项复习_2024年新高考数学之圆锥曲线专项重难点突破练(新高考专用)
专题28圆锥曲线中的范围和最值问题(解析版)_02高考数学_2024年新高考资料_3.2024专项复习_2024年新高考数学之圆锥曲线专项重难点突破练(新高考专用)
专题28圆锥曲线中的范围和最值问题(解析版)_02高考数学_2024年新高考资料_3.2024专项复习_2024年新高考数学之圆锥曲线专项重难点突破练(新高考专用)
专题28圆锥曲线中的范围和最值问题(解析版)_02高考数学_2024年新高考资料_3.2024专项复习_2024年新高考数学之圆锥曲线专项重难点突破练(新高考专用)
专题28圆锥曲线中的范围和最值问题(解析版)_02高考数学_2024年新高考资料_3.2024专项复习_2024年新高考数学之圆锥曲线专项重难点突破练(新高考专用)
专题28圆锥曲线中的范围和最值问题(解析版)_02高考数学_2024年新高考资料_3.2024专项复习_2024年新高考数学之圆锥曲线专项重难点突破练(新高考专用)

文档信息

文档格式
docx
文档大小
1.454 MB
文档页数
25 页
上传时间
2026-04-13 06:04:34

文档内容

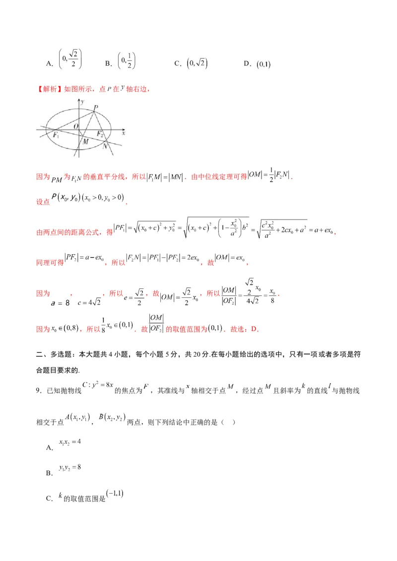
专题28 圆锥曲线中的范围和最值问题 考试时间:120分钟 满分:150分 一、单选题:本大题共8小题,每个小题5分,共40分.在每小题给出的选项中,只有一项是符合题目要 求的. 1.给定抛物线 ,F是其焦点,直线 ,它与E相交于A,B两点,如果 且 ,那么 的取值范围是( ) A. B. C. D. 【解析】直线 与抛物线 方程联立得: , 因为直线 与抛物线 相交于A,B两点,所以 ,设 , 因此有 ,且 , 由 ,代入 中得: 且 ,解得: , 函数 在 时单调递减,所以 ,因此 , 所以 或 ,故选:C 2.已知双曲线 , 分别为双曲线的左右焦点, 为双曲线 上一点,且位于第一 象限,若三角形 为锐角三角形,则 的取值范围为( ) A. B. C. D.【解析】由 得 、 ,因为 位于第一象限,所以 恒为锐角, 因为三角形 为锐角三角形,所以 为锐角, 为锐角, 由 为锐角得 ,所以 ,因为 ,所以 , 由 为锐角得 ,所以 , 所以 ,所以 , 又 ,所以 ,即 ,又 ,所以 , 综上所述: .故选:C. 3.已知椭圆 的焦距为 ,离心率为 ,过 上一点 分别作与 和 平行的直线,交直线 于 两点,则线段 长度的最大值为( ) A.4 B.3 C.2 D.1 【解析】由题意知, ,又离心率为 ,所以 , ,所以椭圆 的方程为 , 设 , ,则 , 因为四边形 为平行四边形,所以 ,即 ,又点 在椭圆 上,所以 ,所以 , 所以 , 因为 ,所以 ,所以 , 所以线段 长度的最大值为4.故选:A. 4.已知 分别是椭圆 的左、右焦点,椭圆C过 和 两点,点P在 线段 上,则 的取值范围为( ) A. B. C. D. 【解析】因为椭圆 过点 和 , 所以 ,可得 ,所以 , , 设 ,由题意直线 的方程为 ,即 , 因为点P在线段 上,所以 满足 , 则 , , 当 时, ,当 时, , 所以 的取值范围为 .故选:D 5.已知 、 是双曲线 上关于原点对称的两点, 是 上异于 、 的动点,设直线 、 的斜率分别为 、 .若直线 与曲线 没有公共点,当双曲线 的离心率取得最 大值时,且 ,则 的取值范围是( ) A. B. C. D. 【解析】因为直线 与双曲线 没有公共点, 所以双曲线 的渐近线的斜率 ,而双曲线 的离心率 , 当双曲线 的离心率取最大值时, 取得最大值 ,即 ,即 , 则双曲线 的方程为 , 设 、 、 ,则 , 两式相减得: ,即 ,即 , 又 , .故选:A. 6.过椭圆 上的焦点 作两条相互垂直的直线 , 交椭圆于 两点, 交椭圆于 两点,则 的取值范围是( ) A. B. C. D. 【解析】当直线 有一条斜率不存在时,不妨设直线 斜率不存在,则直线 斜率为0,此时 , ,所以 , 当直线 的斜率都存在且不为0时,不妨设直线 的斜率为k,则直线 的斜率为 , 不妨设直线 都过椭圆的右焦点 ,所以直线 ,直线 , 联立 与椭圆T ,可得 , , , 所以 , 同理 ,所以 , 令 ,因为 ,所以 , 所以 = , 令 ,因为 ,所以 , 所以 ,所以 ,所以 , 综上 的取值范围是 .故选:C 7.已知 、 分别为椭圆 : 的左、右顶点, 为椭圆 上一动点, , 与直线 交于 , 两点, 与 的外接圆的周长分别为 , ,则 的最小值为( )A. B. C. D. 【解析】由已知得 、 ,设椭圆 上动点 , 则利用两点连线的斜率公式可知 , , 设直线 方程为: ,则直线 方程为: ,根据对称性设 , 令 得 , ,即 , ,则 设 与 的外接圆的半径分别为 , ,由正弦定理得: , , 又 , ,当且仅当 ,即 时,等号成立,即 的 最小值为 ,故选:A 8.如图,已知 , 分别是椭圆 : 的左、右焦点,过 的直线 与过 的直线 交于点 , 线段 的中点为 ,线段 的垂直平分线 与 的交点 (第一象限)在椭圆上,若 为坐标原点, 则 的取值范围为( )A. B. C. D. 【解析】如图所示,点 在 轴右边, 因为 为 的垂直平分线,所以 .由中位线定理可得 . 设点 . 由两点间的距离公式,得 , 同理可得 ,所以 ,故 , 因为 , ,所以 ,故 ,所以 . 因为 ,所以 .故 的取值范围为 .故选:D. 二、多选题:本大题共4小题,每个小题5分,共20分.在每小题给出的选项中,只有一项或者多项是符 合题目要求的. 9.已知抛物线 的焦点为 ,其准线与 轴相交于点 ,经过点 且斜率为 的直线 与抛物线 相交于点 , 两点,则下列结论中正确的是( ) A. B. C. 的取值范围是D. 时,以 为直径的圆经过点 【解析】由题意可得:抛物线 的焦点为 ,准线 ,则 , 设直线 的方程为 , , , 联立方程得 ,消去 得 , 可得 ,解得 且 ,故C错误; 则 ,故A正确; 可得 , 易知 同号,所以 ,故B错误; 因为 , , 所以 , 当 时, ,此时 为直角,即以 为直径的圆经过点 ,故D正确. 故选:AD.10.已知抛物线C: ,过焦点F的直线交抛物线C于 , 两点,MN的中点为P, 直线OM,ON分别与直线l: 相交于A、B两点.则下列说法正确的是( ) A. B. 的最小值为8 C.P到直线l距离的最小值为6 D. 与 的面积之比不为定值 【解析】依题意,可得如下图象: , 对于A:因为抛物线 的方程为 ,所以 , 由抛物线的焦点在 轴可得,直线的斜率一定存在,所以设直线 的方程为: , 由 ,消 可得 , 所以 , , , ,所以A选项正确; 对于B:因为 , ,所以 所以 , 同理 ,所以 ,当 时取得最小值16,所以B选项错误; 对于C:因为 为 的中点,所以 到直线 的距离 , 当且仅当 时等号成立,所以C选项正确; 对于D:由题意可得直线 的方程分别为: , 所以它们与 的交点分别为: , 所以 所以 ,又 到直线 的距离 , 由弦长公式得: , 所以 , 所以 ,所以D选项错误; 故选:AC. 11.已知F是抛物线 的焦点,过点F作两条互相垂直的直线 , , 与C相交于A,B两点, 与C相交于E,D两点,M为A,B中点,N为D,E中点,直线l为抛物线C的准线,则( ) A.点M到直线l的距离为定值 B.以 为直径的圆与y轴相切 C. 的最小值为32 D.当 取得最小值时, 轴 【解析】设 , , , , , 直线 的方程为 ,则直线 的方程为 ,将直线 的方程 代入 ,化简整理得 , 则 , ,故 , 所以 , , 因为点A到直线l的距离 ,点B到直线l的距离 , 点M到直线l的距离 , 又 ,所以 ,故A错误; 因为 , 所以以 为直径的圆的圆心M到l的距离为 , 即以 为直径的圆与l相切,故B错误; 同理, ,所以 , , , 则 ,当且仅当 时等号成立,故C正确; . 设 ,则 , , . 当 时,即 时, 最小,这时 ,即 轴,故D正确, 故选:CD. 12.已知椭圆 的左,右焦点分别为 ,过点 垂直于x轴的直线交椭圆C于 A,B两点, ,若点P是椭圆C上的动点,则下列说法正确的是( )A. 的最小值为 B. 的面积的最大值为 C. 的取值范围为 D.C上有且只有4个点P,使得 是直角三角形 【解析】由题意得 是等边三角形,所以 的周长为 ,所以 , 令 ,则 ,则 ,所以 ,所以椭圆 , 对于A,当点 位于上下顶点时, 最大, 此时 的最小为 ,故A错误; 对于B,设 ,则 , 所以 的面积的最大值为 ,故B正确; 对于C,设 ,则 ,所以 , 又 ,则 , 因为 ,所以 ,所以 ,故C正确; 对于D,由A选项可知, 最大时为锐角, 所以以点 为直角顶点的 不存在, 以点 为直角顶点的 分别有2个, 所以C上有且只有4个点P,使得 是直角三角形,故D正确. 故选:BCD.三、填空题:本大题共4小题,每小题5分,共20分.把答案填在答题卡中的横线上. 13.已知抛物线C: 的焦点F到其准线的距离为2,圆M; ,过F的直线l 与抛物线C和圆M从上到下依次交于A,P,Q,B四点,则 的最小值为 . 【解析】因为抛物线的焦点到准线的距离为 ,所以 ,所以抛物线方程为 , 如下图, , 因为 , 设 ,所以 , 所以 ,因为直线 水平时显然不合题意,故可设 , 因为直线所过定点 在抛物线内部,则直线 必然与抛物线有两交点,同样与圆也有两交点, 联立 , , 所以 , 所以 ,当且仅当 ,即 时取等号, 所以 的最小值为12. 14.设 , 同时为椭圆 与双曲线 的左、右焦点,设 椭圆 与双曲线 在第一象限内交于点M,椭圆 与双曲线 的离心率分别为 , ,O为坐标原点, 若 ,则 的取值范围是 . 【解析】设 , ,焦距为2c, 由椭圆定义可得 ,由双曲线定义可得 ,解得 , , 当 时,可得 ,即 , 可得 ,则 ,所以 , 由 ,可得 ,可得 ,即 , , 可设 ,则 , 令 ,则 , 所以函数 在 上单调递增,可得 ,所以 .15.椭圆 与双曲线 有公共焦点 ,设椭圆 与双曲 线 在第一象限内交于点 ,椭圆 与双曲线 的离心率分别为 为坐标原点, ,则 的取值范围是 . 【解析】设 ,则有 , 所以 ,即 ,又因为 ,所以 , 所以 ,即 ,则 , 由 ,得 ,所以 ,所以 , 则 , 由 ,得 ,因为 , 当且仅当 ,即 时,取等号, 因为 ,所以 ,所以 ,即 , 所以 的取值范围是 . 16.曲线 是由抛物线 与 组成的封闭图形,点,当 对曲线 上所有 点恒成立,则实数 的取值范围是__________. 【解析】当 在 时,设 , 则 , , 则函数 在 上单调递增, , 即 ,此时 ;当在 时,设 , 则 , , 则函数 在 上单调递减, ,即 , 故临界情况一: 在一条直线时, 时, ,则 , 解得 或 ; 临界情况二: 三点共线时, 为线段 上一点,此时 , 解得 或 ; 综上得: 或 ; 四、解答题:本大题共6小题,共70分.解答应写出必要的文字说明、证明过程或演算步骤. 17.已知椭圆 的左焦点为F,O为坐标原点. (1)求过点F、O,并且与抛物线 的准线相切的圆的方程; (2)设过点F且不与坐标轴垂直的直线交椭圆于A、B两点,线段AB的垂直平分线与 轴交于点G,求点G 的横坐标的取值范围.【解析】(1)抛物线 的准线为 ,椭圆 的左焦点为 , 因为圆过点 ,所以圆心 在直线 上,设 ,则圆的半径为 , 由 ,得 ,解得 , 所求圆的方程为 或 . (2)解:设直线 的方程为 , 联立方程组 ,整理得 , 因为直线 过椭圆的左焦点 ,所以方程 有两个不相等的实根, 设点 ,设 的中点为 , 则 ,可得 , 直线 的垂直平分线 的方程为 , 令 ,则 . 因为 ,所以 ,故点 的横坐标的取值范围 . 18.已知椭圆 与坐标轴的交点所围成的四边形的面积为 上任意一点到其中一 个焦点的距离的最小值为1. (1)求椭圆 的方程; (2)设直线 交 于 两点, 为坐标原点,以 , 为邻边作平行四边形 在椭圆 上,求 的取值范围.【解析】(1)由题可知 , 所以 ,即 ,所以 , 所以 ,因为 ,所以 2,所以 . 所以椭圆 的方程为: . (2)联立 ,消去 ,化简整理得: , 需满足 , 设 ,由韦达定理可知: . 则以 为邻边作平行四边形 ,则 , 由于点 在椭圆 上,所以 ,即 化简得: ,经检验满足 又 , 由于 ,所以 , 所以 ,故 ,所以 的取值范围为 . 19.已知 , 为椭圆C: 的左右焦点,P为椭圆C上一点.若 为直角三角形,且. (1)求 的值; (2)若直线l: 与椭圆C交于A,B两点,线段AB的垂直平分线经过点 ,求实数 m的取值范围. 【解析】(1)若 ,则 . 因为 , ,解得 , .因此 . 若 ,则 , 解得 .因此 . 综上知, 或 . (2)设 , ,联立 ,消去y得到, ,即 . 则 , , 弦AB中点M的坐标是 . 由 得, . 另一个方面,直线PM的方程是 . 点 在此直线上,故 ,整理得, .代入 中, , . 又 , ,所以 , . 故实数m的取值范围是 . 20.若椭圆 和椭圆 满足 ,则称这两个椭圆相似, 称为其 相似比. (1)求经过点 ,且与椭圆 相似的椭圆方程. (2)设过原点的一条射线 分别与(1)中的两个椭圆交于 、 两点(其中点 在线段 上),求 的最大值和最小值. 【解析】(1)设所求的椭圆方程为 ,则由题意得 ,解得 , 所要求的椭圆方程为 . (2)①当射线与 轴重合时, . ②当射线不与 轴重合时,由椭圆的对称性,我们仅考虑 、 在第一象限或x轴正半轴的情形. 设其方程为 ,设 , , , , 由 ,解得 , , 由 ,解得 , , ,令 ,则由 ,知 , ,记 ,则 在 上是增函数, , , 由①②知, 的最大值为 , 的最小值为 . 21.已知椭圆 的两个焦点分别为 , ,过点 且与 轴垂直的直线交椭圆 于 , 两点, 的面积为 ,椭圆 的离心率为 . (1)求椭圆 的标准方程; (2)已知 为坐标原点,直线 与 轴交于点 ,与椭圆 交于 , 两个不同的点,若存在实数 ,使得 ,求 的取值范围. 【解析】(1)设椭圆的焦距为2c, , 代入椭圆方程可得 ,解得 ,所以 , 所以 ,解得 , 又 ,所以 ,又 ,所以 , 所以椭圆 的标准方程为 (2)当m=0时,则 ,由椭圆的对称性得 ,所以 , 所以当m=0时,存在实数 ,使得 ; 当 时,由 ,得 ,因为A、B、P三点共线,所以 ,解得 ,所以 , 设 ,由 ,得 , 由题意得 ,则 , 且 ,由 ,可得 , 所以 ,解得 , 又 ,整理得 , 显然 不满足上式,所以 , 因为 ,所以 ,即 , 解得 或 , 综上, 的取值范围为 22.已知A,B是椭圆 的左、右顶点, 是E的左、右焦点, 是椭圆 上一点,且 的内心的纵坐标为 . (1)求椭圆E的标准方程; (2)若P是椭圆E上异于A,B的一动点,过A,B分别作 , 相交于点Q.则当点P在椭圆 E上移动时,求 的取值范围. 【解析】(1)因为 ,故 .设 为 ,连接 并延长交 轴于 ,则 , 故 ,故 ,所以 , 所以 ,所以 ,故 ,故椭圆的方程为: . (2) 设 ,其中 , , 则 ,故直线 ,同理直线 . 设 ,则 ,故 , 因为 ,故 ,所以 其中 , 整理得到 的轨迹方程为: .又 , 其中 ,设 , 则 , 故 为偶函数,考虑 在 上的值域. 故 , 设 因为 , 所以 , 整理得到: ,因为 ,故 ,故 , 而 所以 当且仅当 时等号成立, 故 ,当且仅当 时等号成立,故 在 上为增函数, 故 在 上的值域为 , 故当 时, 的值域为 .