当前位置:首页>文档>数学(长沙卷)(参考答案及评分标准)_2025年初中《中考第一次模拟》全国各地区模拟卷(8科全)(1)_2025年《中考第一次模拟卷》初中数学_湖南√

数学(长沙卷)(参考答案及评分标准)_2025年初中《中考第一次模拟》全国各地区模拟卷(8科全)(1)_2025年《中考第一次模拟卷》初中数学_湖南√

  • 2026-04-11 14:30:11 2026-01-28 02:35:40

文档预览

数学(长沙卷)(参考答案及评分标准)_2025年初中《中考第一次模拟》全国各地区模拟卷(8科全)(1)_2025年《中考第一次模拟卷》初中数学_湖南√
数学(长沙卷)(参考答案及评分标准)_2025年初中《中考第一次模拟》全国各地区模拟卷(8科全)(1)_2025年《中考第一次模拟卷》初中数学_湖南√
数学(长沙卷)(参考答案及评分标准)_2025年初中《中考第一次模拟》全国各地区模拟卷(8科全)(1)_2025年《中考第一次模拟卷》初中数学_湖南√
数学(长沙卷)(参考答案及评分标准)_2025年初中《中考第一次模拟》全国各地区模拟卷(8科全)(1)_2025年《中考第一次模拟卷》初中数学_湖南√
数学(长沙卷)(参考答案及评分标准)_2025年初中《中考第一次模拟》全国各地区模拟卷(8科全)(1)_2025年《中考第一次模拟卷》初中数学_湖南√
数学(长沙卷)(参考答案及评分标准)_2025年初中《中考第一次模拟》全国各地区模拟卷(8科全)(1)_2025年《中考第一次模拟卷》初中数学_湖南√
数学(长沙卷)(参考答案及评分标准)_2025年初中《中考第一次模拟》全国各地区模拟卷(8科全)(1)_2025年《中考第一次模拟卷》初中数学_湖南√
数学(长沙卷)(参考答案及评分标准)_2025年初中《中考第一次模拟》全国各地区模拟卷(8科全)(1)_2025年《中考第一次模拟卷》初中数学_湖南√
数学(长沙卷)(参考答案及评分标准)_2025年初中《中考第一次模拟》全国各地区模拟卷(8科全)(1)_2025年《中考第一次模拟卷》初中数学_湖南√
数学(长沙卷)(参考答案及评分标准)_2025年初中《中考第一次模拟》全国各地区模拟卷(8科全)(1)_2025年《中考第一次模拟卷》初中数学_湖南√
数学(长沙卷)(参考答案及评分标准)_2025年初中《中考第一次模拟》全国各地区模拟卷(8科全)(1)_2025年《中考第一次模拟卷》初中数学_湖南√
数学(长沙卷)(参考答案及评分标准)_2025年初中《中考第一次模拟》全国各地区模拟卷(8科全)(1)_2025年《中考第一次模拟卷》初中数学_湖南√
数学(长沙卷)(参考答案及评分标准)_2025年初中《中考第一次模拟》全国各地区模拟卷(8科全)(1)_2025年《中考第一次模拟卷》初中数学_湖南√

文档信息

文档格式
docx
文档大小
0.159 MB
文档页数
9 页
上传时间
2026-01-28 02:35:40

文档内容

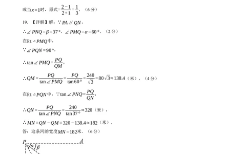
2025 年中考第一次模拟考试(长沙卷) 数学·参考答案 第Ⅰ卷 一、选择题(本大题共10个小题,每小题3分,共30分.在每个小题给出的四个选项中,只有一项符合 题目要求,请选出并在答题卡上将该项涂黑) 1 2 3 4 5 6 7 8 9 10 A A C B D B D D C C 第Ⅱ卷 二、填空题(本大题共6小题,每小题3分,共18分) 11.4(x+1)(x−1) 12.6 13.−2 14.60cm/60厘米 15.30 16.2701 三、解答题(本大题共9个小题,第17、18、19题每小题6分,第20、21题每小题8分第 22、23题每小 题9分,第24、25题每小题10分,共72分解答应写出必要的文字说明证明过程或演算步骤) 17.【详解】解: ( − 1) −2 +(π−3) 0−4cos30°+|3−√12| 2 √3 =4+1−4× +2√3−3(4分) 2 =2.(6分) x2−4x+4 ( 3 ) 18.解: ÷ −x+1 x+1 x+1 (x−2) 2 3−(x−1)(x+1) = ÷ x+1 x+1 =(x−2) 2 x+1 ⋅ x+1 3−x2+1 1 / 9 学科网(北京)股份有限公司= (x−2) 2 (2+x)(2−x) 2−x = ,(4分) 2+x ∵x+1≠0,(2+x)(2−x)≠0, ∴x≠−1,x≠±2, 2−0 ∴当x=0时,原式= =1. 2+0 2−1 1 或当x=1时,原式= = .(6分) 2+1 3 19.【详解】解:∵PA∥QN, ∴∠PNQ=β=37°,∠PMQ=α=60°,(2分) 在Rt△PMQ中, ∵∠PQN=90°, PQ ∴tan∠PMQ= , QM PQ PQ 240 ∴QM= = = =80√3≈138.4(米),(4分) tan∠PMQ tan60° √3 PQ 在Rt△PQN中,∵tan∠PNQ= , QN PQ 240 ∴QN= = ≈320(米), tan∠PNQ tan37° ∴MN=QN−QM=320−138.4≈182(米). 答:这条河的宽度MN=182米.(6分) 20.【详解】(1)如图,连接AE, 2 / 9 学科网(北京)股份有限公司∵AB的垂直平分线EF交BC于点E, ∴AE=BE ∵BE=AC ∴AE=AC, ∵H为EC中点, ∴AH⊥BC;(4分) (2)∵AE=BE,∠B=36° ∴∠EAB=∠B=36° ∴∠AEC=∠EAB+∠B=72° ∵AE=AC ∴∠C=∠AEC=72° ∴∠BAC=180°−∠C−∠B=72°.(8分) 21.【详解】(1)解:初三(1)班参加这次调查的学生有4÷10%=40(人), 16 扇形统计图中类别C所对应扇形的圆心角度数为360°× =144°, 40 故答案为:40、144;(2分) (2)B类学生人数为40﹣(4+16+2)=18(人), 补全条形图如下: ;(4分) 3 / 9 学科网(北京)股份有限公司(3)列表得: 男1 男2 女1 女2 男1 ﹣﹣ 男2男1 女1男1 女2男1 男2 男1男2 ﹣﹣ 女1男2 女2男2 女1 男1女1 男2女1 ﹣﹣ 女2女1 女2 男1女2 男2女2 女1女2 ﹣﹣ 由表格可知,共有12种可能出现的结果,并且它们都是等可能的,其中“1名男生、1名女生”有8种可 能. 8 2 所以所选取的2名学生中恰好有1名男生、1名女生的概率为 = .(8分) 12 3 22.【详解】(1)解:设“天宫”模型进价为每个x元,则“神舟”模型进价为每个(x+5)元, 200 200 依题意得 = +2, x x+5 解得x=20. 经检验,x=20是原分式方程的解.x+5=25. 答:“天宫”模型的进价为每个20元,“神舟”模型的进价为每个25元.(4分) (2)∵购进“神舟”模型a个,则购进“天宫”模型(100−a)个, ∴w=(35−25)a+(28−20)(100−a)=2a+800. 1 ∵购进“神舟”模型的数量不超过“天宫”模型数量的 . 4 1 ∴a≤ (100−a), 4 解得:a≤20. ∵w=2a+800,k=2>0. ∴当a=20时,w =2×20+800=840(元), max 即购进“神舟”模型20个时,销售这批模型可以获得最大利润,最大利润为840元.(8分) 23.【详解】(1)证明:∵四边形ABCD是矩形, ∴∠BAD=∠ADE=90°, ∴∠ABF+∠AFB=90°,(1分) ∵AE⊥BF, ∴∠DAE+∠AFB=90°, 4 / 9 学科网(北京)股份有限公司∴∠ABF=∠DAE, (2分) 在△ABF和△DAE中,¿,(3分) ∴△ABF≌△DAE(AAS), ∴AB=AD, ∴矩形ABCD是正方形;(4分) (2)证明:如图, 由(1)可知,△ABF≌△DAE, ∴AF=DE,(5分) ∵正方形ABCD, ∴AD=DC=BC=AB,∠D=∠C=90°,AB∥CD, ∴DF=CE,(6分) ∵DF2=AF⋅AD, DF DE ∴ = , (7分) BC EC ∵∠FDE=∠BCE=90°, ∴△FDE∽△BCE, ∴∠≝=∠CEB,(8分) ∵AB∥CD, ∴∠ABE=∠CEB, ∴∠ABE=∠≝¿.(9分) 24.【详解】(1)由题意知,BC=BM, ∵∠ABC=66°, ∴∠BMC=∠BCM=57°, ∵∠ACB=90°, ∴∠ACM=∠ACB−∠BCM=90°−57°=33°;(3分) (2)连接CD, 5 / 9 学科网(北京)股份有限公司∵BC为⊙O的直径, ∴∠ADC=90°, ∵AC为过C点的切线,过点D作⊙O的切线DE交AC于点E, ∴DE=CE, ∴∠EDC=∠ECD, ∵∠EDC+∠ADE=90°,∠ECD+∠A=90°, ∴∠A=∠ADE, ∴AE=DE, ∴AE=CE;(6分) (3)连接CD, 由(1)(2)可得∠ADC=90°,AE=DE=CE,∠A=∠BCD=90°−∠B, 3 BD ∴tan∠DCB=tan∠A= = , 4 CD ∴设BD=3x,CD=4x,则BC=BM=5x, 3 CD 4x BC 5x ∵tan∠A= = = = = , 4 AD AD AC AC 16x 20x ∴AD= ,AC= , 3 3 6 / 9 学科网(北京)股份有限公司25x ∴AB=BD+AD= , 3 10 ∴AM=AB−BC= x, 3 1 1 10 20 ∴S = CD⋅AM= ×4x× x= x2, △ACM 2 2 3 3 1 1 1 1 16 16 S = S = × CD⋅AD= ×4x× x= x2, △ADE 2 △ACD 2 2 4 3 3 16 20 4 ∴S :S = x2: x2= .(10分) △ADE △ACM 3 3 5 k 25.(10分)若一次函数y=mx+n与反比例函数y= 同时经过点P(x,y)则称二次函数y=mx2+nx−k x 为一次函数与反比例函数的“共享函数”,称点P为共享点. 3 (1)判断y=2x−1与y= 是否存在“共享函数”,如果存在,请求出“共享点”.如果不存在,请说明理 x 由; 2024 (2)已知:整数m,n,t满足条件t