当前位置:首页>文档>第五章第04讲解题技巧专题:分式的混合运算及规律和新定义问题(7类热点题型讲练)(解析版)_北师大初中数学_8下-北师大版初中数学_旧版-可参考

第五章第04讲解题技巧专题:分式的混合运算及规律和新定义问题(7类热点题型讲练)(解析版)_北师大初中数学_8下-北师大版初中数学_旧版-可参考

  • 2026-05-11 21:05:04 2026-04-14 22:49:38

文档预览

第五章第04讲解题技巧专题:分式的混合运算及规律和新定义问题(7类热点题型讲练)(解析版)_北师大初中数学_8下-北师大版初中数学_旧版-可参考
第五章第04讲解题技巧专题:分式的混合运算及规律和新定义问题(7类热点题型讲练)(解析版)_北师大初中数学_8下-北师大版初中数学_旧版-可参考
第五章第04讲解题技巧专题:分式的混合运算及规律和新定义问题(7类热点题型讲练)(解析版)_北师大初中数学_8下-北师大版初中数学_旧版-可参考
第五章第04讲解题技巧专题:分式的混合运算及规律和新定义问题(7类热点题型讲练)(解析版)_北师大初中数学_8下-北师大版初中数学_旧版-可参考
第五章第04讲解题技巧专题:分式的混合运算及规律和新定义问题(7类热点题型讲练)(解析版)_北师大初中数学_8下-北师大版初中数学_旧版-可参考
第五章第04讲解题技巧专题:分式的混合运算及规律和新定义问题(7类热点题型讲练)(解析版)_北师大初中数学_8下-北师大版初中数学_旧版-可参考
第五章第04讲解题技巧专题:分式的混合运算及规律和新定义问题(7类热点题型讲练)(解析版)_北师大初中数学_8下-北师大版初中数学_旧版-可参考
第五章第04讲解题技巧专题:分式的混合运算及规律和新定义问题(7类热点题型讲练)(解析版)_北师大初中数学_8下-北师大版初中数学_旧版-可参考
第五章第04讲解题技巧专题:分式的混合运算及规律和新定义问题(7类热点题型讲练)(解析版)_北师大初中数学_8下-北师大版初中数学_旧版-可参考
第五章第04讲解题技巧专题:分式的混合运算及规律和新定义问题(7类热点题型讲练)(解析版)_北师大初中数学_8下-北师大版初中数学_旧版-可参考
第五章第04讲解题技巧专题:分式的混合运算及规律和新定义问题(7类热点题型讲练)(解析版)_北师大初中数学_8下-北师大版初中数学_旧版-可参考
第五章第04讲解题技巧专题:分式的混合运算及规律和新定义问题(7类热点题型讲练)(解析版)_北师大初中数学_8下-北师大版初中数学_旧版-可参考
第五章第04讲解题技巧专题:分式的混合运算及规律和新定义问题(7类热点题型讲练)(解析版)_北师大初中数学_8下-北师大版初中数学_旧版-可参考
第五章第04讲解题技巧专题:分式的混合运算及规律和新定义问题(7类热点题型讲练)(解析版)_北师大初中数学_8下-北师大版初中数学_旧版-可参考
第五章第04讲解题技巧专题:分式的混合运算及规律和新定义问题(7类热点题型讲练)(解析版)_北师大初中数学_8下-北师大版初中数学_旧版-可参考
第五章第04讲解题技巧专题:分式的混合运算及规律和新定义问题(7类热点题型讲练)(解析版)_北师大初中数学_8下-北师大版初中数学_旧版-可参考
第五章第04讲解题技巧专题:分式的混合运算及规律和新定义问题(7类热点题型讲练)(解析版)_北师大初中数学_8下-北师大版初中数学_旧版-可参考
第五章第04讲解题技巧专题:分式的混合运算及规律和新定义问题(7类热点题型讲练)(解析版)_北师大初中数学_8下-北师大版初中数学_旧版-可参考
第五章第04讲解题技巧专题:分式的混合运算及规律和新定义问题(7类热点题型讲练)(解析版)_北师大初中数学_8下-北师大版初中数学_旧版-可参考
第五章第04讲解题技巧专题:分式的混合运算及规律和新定义问题(7类热点题型讲练)(解析版)_北师大初中数学_8下-北师大版初中数学_旧版-可参考
第五章第04讲解题技巧专题:分式的混合运算及规律和新定义问题(7类热点题型讲练)(解析版)_北师大初中数学_8下-北师大版初中数学_旧版-可参考
第五章第04讲解题技巧专题:分式的混合运算及规律和新定义问题(7类热点题型讲练)(解析版)_北师大初中数学_8下-北师大版初中数学_旧版-可参考
第五章第04讲解题技巧专题:分式的混合运算及规律和新定义问题(7类热点题型讲练)(解析版)_北师大初中数学_8下-北师大版初中数学_旧版-可参考
第五章第04讲解题技巧专题:分式的混合运算及规律和新定义问题(7类热点题型讲练)(解析版)_北师大初中数学_8下-北师大版初中数学_旧版-可参考
第五章第04讲解题技巧专题:分式的混合运算及规律和新定义问题(7类热点题型讲练)(解析版)_北师大初中数学_8下-北师大版初中数学_旧版-可参考
第五章第04讲解题技巧专题:分式的混合运算及规律和新定义问题(7类热点题型讲练)(解析版)_北师大初中数学_8下-北师大版初中数学_旧版-可参考
第五章第04讲解题技巧专题:分式的混合运算及规律和新定义问题(7类热点题型讲练)(解析版)_北师大初中数学_8下-北师大版初中数学_旧版-可参考
第五章第04讲解题技巧专题:分式的混合运算及规律和新定义问题(7类热点题型讲练)(解析版)_北师大初中数学_8下-北师大版初中数学_旧版-可参考
第五章第04讲解题技巧专题:分式的混合运算及规律和新定义问题(7类热点题型讲练)(解析版)_北师大初中数学_8下-北师大版初中数学_旧版-可参考
第五章第04讲解题技巧专题:分式的混合运算及规律和新定义问题(7类热点题型讲练)(解析版)_北师大初中数学_8下-北师大版初中数学_旧版-可参考
第五章第04讲解题技巧专题:分式的混合运算及规律和新定义问题(7类热点题型讲练)(解析版)_北师大初中数学_8下-北师大版初中数学_旧版-可参考
第五章第04讲解题技巧专题:分式的混合运算及规律和新定义问题(7类热点题型讲练)(解析版)_北师大初中数学_8下-北师大版初中数学_旧版-可参考
第五章第04讲解题技巧专题:分式的混合运算及规律和新定义问题(7类热点题型讲练)(解析版)_北师大初中数学_8下-北师大版初中数学_旧版-可参考

文档信息

文档格式
docx
文档大小
0.805 MB
文档页数
29 页
上传时间
2026-04-14 22:49:38

文档内容

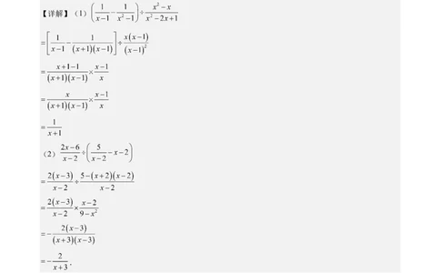
第 04 讲 解题技巧专题:分式的混合运算及规律和新定义问题 (7 类热点题型讲练) 目录 【考点一 分式的混合运算问题】............................................................................................................................1 【考点二 分式的混合运算错解复原问题】............................................................................................................6 【考点三 分式的混合运算先化简求值问题】......................................................................................................11 【考点四 分式的混合运算规律探究问题】..........................................................................................................14 【考点五 分式的混合运算“倒数法”求值问题】..............................................................................................17 【考点六 分式的混合运算新定义型问题】..........................................................................................................19 【考点七 分式的混合运算假分数问题】..............................................................................................................24 【考点一 分式的混合运算问题】 例题:(23-24八年级下·全国·课后作业)计算: (1) ; (2) . 【答案】(1) (2) 【分析】 本题主要考查分式的运算,熟练掌握分式的运算是解题的关键; (1)根据分式的减法及乘法可进行求解; (2)根据分式的混合运算可进行求解. 【详解】(1)解:原式 ;(2)解:原式 . 【变式训练】 1.(23-24八年级下·河南南阳·阶段练习)化简: (1) ; (2) . 【答案】(1) (2) 【分析】本题考查了分式的化简; (1)先根据异分母分式的减法法则计算括号内的运算,同时把除法变成乘法,分子、分母能因式分解的 进行因式分解,然后约分即可; (2)先根据异分母分式的减法法则计算括号内的运算,然后把除法变成乘法,分子、分母能因式分解的 进行因式分解,然后约分即可. 【详解】(1)解:原式 ; (2)解:原式 . 2.(22-23八年级上·山东淄博·阶段练习)分式的计算: (1) ;(2) . 【答案】(1) (2) 【分析】本题考查分式的混合运算,解题的关键是熟练运用分式的加减运算以及乘除运算法则; (1)分式的加减运算以及乘除运算法则即可求出答案. (2)分式的加减运算以及乘除运算法则即可求出答案. 【详解】(1) (2) . 3.(23-24八年级上·山东聊城·期中)计算: (1) ; (2) ; (3) ; (4) ;(5) ; (6) (7) ; (8) . 【答案】(1)0 (2) (3) (4) (5) (6) (7) (8) 【分析】本题考查分式的混合运算,掌握运算法则和运算顺序是解题的关键. (1)先化简然后运用同分母分式的运算法则解题即可; (2)先把除法转化为乘法,然后约分解题即可; (3)先运算括号,然后运算除法解题即可; (4)先利用记得乘方,然后运用同底数幂的乘法计算,最后利用负整数指数的运算解题即可; (5)先把 看成整体通分解题即可; (6)先运算分式的除法和分式的约分,然后进行同分母的分式的加减解题即可; (7)先约分,然后通分,最后运算除法解题即可; (8)先把除法转化为乘法,利用乘法分配律解题即可. 【详解】(1) ; (2); (3) ; (4) ; (5) ; (6) ; (7); (8) . 【考点二 分式的混合运算错解复原问题】 例题:(23-24八年级上·河南商丘·期末)以下是某同学化简分式 的部分运算过程: 解:原式 ① ② ③ …… 解: (1)上面的运算过程中第 步出现了错误; (2)选择一个你喜欢的x的值代入求值. 【答案】(1)③; (2) ; 【分析】本题考查了分式的混合计算,熟练掌握分式的运算法则是解题的关键. (1)根据上述解题步骤分析解答即可. (2)把括号内通分,并把除法转化为乘法,然后约分化简. 【详解】(1)第③步出现错误,原因是分子相减时未变号,故答案为∶③; (2)原式当 时, . 故答案为: ; . 【变式训练】 1.(2023·贵州遵义·一模)以下是小明化简分式 的过程. 解:原式 第一步 第二步 第三步 第四步 (1)小明的解答过程在第______ 步开始出错; (2)请写出正确的解答过程. 【答案】(1)二 (2) . 【分析】 此题主要考查了分式的混合运算,正确掌握相关运算法则是解题关键. (1)直接利用分式的混合运算法则判断得出答案; (2)直接利用分式的混合运算法则化简,进而得出答案. 【详解】(1) 解:原式 第一步,第二步, ∴小明的解答过程在第二步开始出错; (2) 解:原式 . 2.(2023·贵州遵义·一模)下列是某同学化简分式 的部分过程: 解:原式 第一步; 第二步; 第三步; (1)上面的化简过程从第______步开始出现错误; (2)请你写出完整的解答过程. 【答案】(1)二 (2)见解析 【分析】(1)根据分式混合运算的法则可知第二步出现错误; (2)先算括号里面的,再算除法即可. 本题考查的是分式的混合运算,熟知分式混合运算的法则是解题的关键. 【详解】(1)第二步出现错误. 故答案为:二; (2)原式. 3.(23-24八年级上·河南商丘·期末)下面是亮亮进行分式化简 的过程: 解:原式 第一步 第二步 第三步 第四步 第五步 . 第六步 (1)第二步的依据是______; (2)亮亮从第______步开始出现错误,该步错误的原因是______; (3)请写出正确的化简过程; (4)在分式化简的过程中,还需要注意哪些事项?请你给其他同学提一条建议. 【答案】(1)分式的基本性质 (2)四;括号前是“-”,去括号后,括号内第二项没有变号 (3) (4)在分式化简的过程中,还需要注意的事项有:最后结果应化为最简分式或整式(答案不唯一) 【分析】本题考查分式的混合运算, (1)根据分式的基本性质,即可解答; (2)先利用异分母分式加减法法则计算括号里,再算括号外,即可解答; (3)先利用异分母分式加减法法则计算括号里,再算括号外,即可解答; (4)根据分式的混合运算以及化简,即可解答; 掌握分式的基本性质及运算法则是解题的关键. 【详解】(1)解:第二步的依据是分式的基本性质, 故答案为:分式的基本性质; (2)亮亮从第四步开始出现错误,该步错误的原因是括号前是“-”,去括号后,括号内第二项没有变号, 故答案为:四;括号前是“-”,去括号后,括号内第二项没有变号; (3) ; (4)在分式化简的过程中,还需要注意的事项有:最后结果应化为最简分式或整式(答案不唯一). 4.(23-24八年级上·宁夏固原·期末)下面是某分式化简过程,请认真阅读并完成任务. ……第一步 ……第二步 ……第三步 ……第四步 任务一:填空 ①以上化简步骤中,第______步是通分,通分的依据是______. ②第______步开始出现错误,错误的原因是______. 任务二:直接写出该分式化简后的正确结果. 【答案】任务一:①一,分式的基本性质;②二,去括号没有变号;任务二: . 【分析】 本题考查了分式的化简,掌握相关运算法则是解题关键. 任务一:①根据通分的定义判断即可;②根据去括号法则判断即可; 任务二:根据分式的混合运算法则计算即可.【详解】解:任务一:①以上化简步骤中,第一步是通分,通分的依据是分式的基本性质, 故答案为:一,分式的基本性质; ②第二步开始出现错误,错误的原因是去括号没有变号, 故答案为:二,去括号没有变号; 任务二: . 【考点三 分式的混合运算先化简求值问题】 例题:(23-24八年级上·四川广元·期末)先化简,再求值: ,其中 . 【答案】 , 【分析】本题考查分式化简求值,涉及因式分解、通分、分式混合运算、约分、负整数指数幂、零指数幂 等知识,先利用分式混合运算化简,再将运算后的 代入求值即可得到答案,熟练掌握分式的化简求值是 解决问题的关键. 【详解】解: , , 原式 . 【变式训练】1.(2024·新疆克孜勒苏·二模) 先化简再求值: ,其中 . 【答案】 ,3 【分析】本题考查分式的化简求值,根据分式的混合运算法则化简原式,再代值求解即可.熟练掌握运算 法则并正确求解是解答的关键. 【详解】解: , 当 , 原式 . 2.(23-24八年级上·辽宁铁岭·期末)先化简 ,再从 四个数中,选取一个 恰当的数进行求值. 【答案】 ,当 时,原式 . 【分析】本题考查了分式的化简求值,先对分式进行化简,再把 代入到化简后的式子进行计算即可求 解,掌握分式的性质及运算法则是解题的关键. 【详解】解:原式 , , , ,, 当 时, 原式 . 3.(23-24八年级上·山东德州·期末)先化简,再求值: ,其中 . 【答案】 , 【分析】本题考查分式的化简求值,解题关键是掌握分式的混合运算法则.先根据分式的混合运算将式子 化简,再将计算出的x的值代入计算即可. 【详解】解:原式 , , , 当 时,原式 . 4.(23-24八年级上·黑龙江佳木斯·期末)先化简,再求值, ,其中 满足 . 【答案】 , . 【分析】本题考查了分式的化简求值及整体代入求值,首先根据分式的混合运算进行运算,得到最简分式, 再由 代入即可求解,准确化简分式是解题的关键. 【详解】解:原式 , , ,, ∵ , ∴ , ∴原式 . 【考点四 分式的混合运算规律探究问题】 例题:(2023七年级上·福建·专题练习)观察下列计算 , , , , (1)第5个式子是 ;第 个式子是 . (2)从计算结果中找规律,利用规律计算 . (3)计算 . 【答案】(1) ; (2) (3) 【分析】此题考查了有理数的混合运算,熟练掌握运算法则是解本题的关键. (1)观察一系列等式得到一般性规律,写出第5个式子与第 个式子即可; (2)原式利用得出的规律化简,计算即可得到结果; (3)原式变形后,利用得出的规律化简,计算即可得到结果. 【详解】(1)解:第5个式子是 ; 第 个式子是 ; 故答案为: ; ; (2)解:原式; (3)解:原式 . 【变式训练】 1.(22-23九年级上·安徽·开学考试)观察以下等式: 第1个等式: ;第2个等式: ; 第3个等式: ;第4个等式: ; 按照以上规律,解决下列问题: (1)写出第5个等式:_________; (2)写出你猜想的第 个等式:_________用含 的等式表示),并证明. 【答案】(1) (2) ,证明见解析 【分析】(1)通过前4个等式的规律可得此题结果; (2)结合(1)题结果进行证明. 【详解】(1)解:由题意得,第五个等式为 , 故答案为: ; (2)由(1)题规律可得,第 个等式为 , 证明:, , 故答案为: . 【点睛】此题考查了解决数式变化规律问题的能力,关键是能通过正确地观察、猜想、证明得到问题中蕴 含的规律. 2.(2023·安徽合肥·三模)观察以下等式: 第1个等式: , 第2-个等式: , 第3个等式: , 第4个等式: , …… 按照以上规律,解决下列问题: (1)写出第5个等式:__________________; (2)写出你猜想的第 个等式(用含 的等式表示),并证明. 【答案】(1) (2) ,见解析 【分析】(1)根据前4个等式得出第五个等式即可; (2)通过观察减号后面的数字规律,再结合每个式子找到规律,最后写出即可. 【详解】(1)解: (2) 左边 右边 ∴左边 右边. 【点睛】本题主要考查数字类变化规律,仔细观察每个式子中对应位置的数字,并找到相关系数关系是解 题的关键.3.(2023·安徽·一模)观察下列等式: 第1个等式: ;第2个等式: ;第3个等式: ; 第4个等式: ;第5个等式: ;……按照以上规律,解决下列问题: (1)写出第6个等式:________________ (2)写出你猜想的第n个等式:________________(用含n的等式表示),并证明. 【答案】(1) (2) ;证明见解析 【分析】(1)根据已知等式括号外的分数和括号内的分数的规律得第六个等式; (2)根据(1)的规律列等式,再由分式的化简证明; 【详解】(1)解: ; (2) ; 证明:左边 右边,所以原等式成立; 【点睛】本题考查了数字的规律变化,分式的化简;找到等式中分数的变化规律是解题关键. 【考点五 分式的混合运算“倒数法”求值问题】 例题:(23-24八年级下·河南南阳·阶段练习)阅读与理解 阅读下列材料,完成后面的任务. 在解决某些分式问题时,倒数法是常用的变形技巧之一,所谓倒数法,即把式子变成其倒数形式,从而运 用约分化简,以达到计算目的. 例:若 ,求代数式 的值. 解:∵ ,∴ ,∴ ,∴ . 任务:已知 . (1)求 的值. (2)求 的值.【答案】(1) (2) 【分析】本题考查了分式的混合运算; (1)把式子变成其倒数形式,然后约分即可; (2)对 取倒数为 ,由(1)求出 ,然后计算即可. 【详解】(1)解:∵ , ∴ , ∴ , ∴ ; (2)对 取倒数为 , 由(1)得 , ∴ , ∴ , ∴ . 【变式训练】 1.(23-24八年级上·云南昆明·期末)阅读下面的解题过程:已知 ,求 的值. 解:由 知 ,所以 ,即 . 因此 ,所以 的值为 . 该题的解法叫做“倒数法”,请你利用“倒数法”解决下面的问题: 已知 ,求 的值. 【答案】【分析】本题考查的是分式的混合运算,熟知分式混合运算的法则是解题的关键.先根据题意求出 的 值,再求出代数式倒数的值,进而得出结论. 【详解】解:由 知 ,即 , . 【考点六 分式的混合运算新定义型问题】 例题:(23-24八年级上·山东德州·期末)定义:若分式P与分式Q的差等于它们的积,即 ,则 称分式P与分式Q互为“关联分式”.如 与 ,因为 ,所以 与 互为“关联分式”,其中一个分式是另 外一个分式的“关联分式”. (1)请通过计算判断分式 是不是分式 的“关联分式”. (2)求分式 的“关联分式”. 【答案】(1)见解析 (2) 或 【分析】本题考查用新定义解决数学问题,熟练掌握分式混合运算法则是求解本题的基础; (1)根据“关联分式”的定义判断即可; (2)①设分式 为P,则其关联式为Q,则有 ,计算Q即可; ②设 为Q,则其关联式为P,则有 ,计算P即可; 【详解】(1)解:证明:若 和 为关联分式,则必须满足 , 故: , , ∴ , 故分式 是分式 的“关联分式”; (2)已知题意: , ①设 为P,则其关联式为Q, , , , , 故其关联式为 . ②设 为Q,则其关联式为P, , , , , 故其关联式为 . 综上,分式 的“关联分式”为 或 . 【变式训练】1.(22-23八年级下·福建福州·开学考试)定义:如果两个分式A与B的差为1,则称A是B的“最友好分 式”,如分式 ,则A是B的“最友好分式”. (1)已知分式 ,请判断C是否为D的“最友好分式”,并说明理由; (2)已知分式 ,且E是F的“最友好分式”. ①求P(用含x的式子表示); ②若 为定值,求m与n之间的数量关系. 【答案】(1)C是D的“最友好分式”,理由见解析 (2)① ,② 【分析】本题主要考查新定义下分式的混合运算和解一元一次方程, (1)根据“最友好分式”的定义,计算 的值即可; (2)①根据题意得 ,结合E是F的“最友好分式”可求得 ;②当 时, 化简得 ,设 ,可得 ,结合定值得 且 ,即可求得m和n之间的关系. 【详解】(1)解:C是D的“最友好分式”,理由: ∵ ∴C是D的“最友好分式”; (2)①∵分式 ,且E是F的“最友好分式”, ∴ , 解得 ; ②当 时, , 设 , ∴ , ∴ ,∵ 为定值, ∴ 且 , 由 解得 , 把 代入 ,得 ∴ . 2.(23-24八年级上·河南信阳·期末)定义:如果一个分式能化成一个整式与一个分子为常数的分式的和 的形式,那么称这个分式为“和谐分式”.如: ,则 是“和谐分 式”. (1)下列分式中,属于“和谐分式”的是 (填序号); ① ;② ;③ . (2)将“和谐分式” 化成一个整式与一个分子为常数的分式的和的形式; (3)应用:先化简 ,并回答:a取什么整数时,该式的值为整数? 【答案】(1)①③ (2) (3) 时,该式的值为整数 【分析】本题考查了新定义运算,分式的混合运算,分式有意义的条件,理解“和谐分式”的定义是解题 的关键. (1)根据“和谐分式”的定义,对各式进行变形计算,即可解答; (2)根据完全平方公式,进行变形计算,即可解答; (3)将原式化简为 ,再变形为 ,从而可得当 或 时,分式的值为整数, 进而可得 , , 或1,然后根据分式有意义时, , , , ,即可解答. 【详解】(1)解:① ; ② ; ③ ;上列分式中,属于“和谐分式”的是①③, 故答案为:①③; (2)解: . (3)解: , 当 或 时,分式的值为整数, ,0, 或 , 分式有意义时, , , , , , 时,该式的值为整数. 3.(23-24八年级上·江西宜春·期末)定义:如果一个分式能化成一个整式与一个分子为常数的分式的和 的形式,那么称这个分式为“美好分式”,如: ,则 是“美好分 式”.(1)下列分式中,属于“美好分式”的是______;(只填序号) ① ; ② ; ③ ; ④ . (2)将“美好分式” 化成一个整式与一个分子为常数的分式的和的形式; (3)判断 的结果是否为“美好分式”,并说明理由. 【答案】(1)①③④; (2) ; (3)是美好分式,理由见解析. 【分析】本题主要考查了分式的混合运算、新定义等知识点,熟练掌握分式的混合运算法则是解题的关键. (1)根据“美好分式”的意义逐个判断即可; (2)依先对分子进而变形,然后根据题意化简即可; (3)首先通过分式的混合运算法则进行化简,然后再依据“美好分式”的定义判断即可. 【详解】(1)解:①由 ,则①属于“美好分式”;②分式 分子的次数低于分母次 数,不能化成一个整式与一个分子为常数的分式的和的形式,则②不属于“美好分式”; 由 ,则③属于“美好分式”;④ 则④ 属于“美好分式”; 故答案为:①③④; (2)解: . (3)解: 的化简结果是“美好分式”,理由如下: ∵, ∴ 的化简结果是“美好分式”. 【考点七 分式的混合运算假分数问题】 例题:(23-24八年级下·河南南阳·阶段练习)阅读下列材料:通过小学的学习我们知道,分数可分为“真 分数”和“假分数”,而假分数都可化为带分数,如: 我们定义:在分式中,对于只含 有一个字母的分式,当分子的次数大于或等于分母的次数时,我们称之为“假分式”;当分子的次数小于 分母的次数时,我们称之为“真分式”.如 , 这样的分式就是假分式;再如: , 这样 的分式就是真分式类似的,假分式也可以化为带分式(即:整式与真分式的和的形式) 如: ; 解决下列问题: (1)分式 是_____分式(填“真”或“假”); (2)将假分式 化为带分式; (3)如果x为整数,分式 的值为整数,求所有符合条件的x的值. 【答案】(1)真 (2) (3) 或 【分析】本题考查了分式的混合运算; (1)根据材料中“真分式”和“假分式”的定义进行判断即可; (2)根据题中所给方法,利用分式的性质计算即可; (3)先将分式 化为带分式,再根据题意得出 ,然后分别计算即可. 【详解】(1)解:∵分式 中分子的次数小于分母的次数, ∴分式 是真分式, 故答案为:真;(2) ; (3) , ∵x为整数,分式 的值为整数, ∴ , ∴ 或 . 【变式训练】 1.(23-24八年级上·湖南长沙·期末)通过小学的学习我们知道,分数可分为“真分数”和“假分数”, 而假分数都可化为带分数.如: .我们定义:在分式中,对于只含有一个字母的分式, 当分子的次数大于或等于分母的次数时,我们称之为“假分式”;当分子的次数小于分母的次数时,我们 称之为“真分式”. 如 , 这样的分式就是假分式; , 这样的分式就是真分式.类似地,假分式也可以化为 带分式(即:整式与真分式的和的形式). 如: . 解决下列问题: (1)分式 是_____分式(填“真”或“假”); (2)将假分式 化为带分式; (3)求所有符合条件的整数x的值,使得 的值为整数. 【答案】(1)真; (2) ; (3) . 【分析】本题主要考查了分式的化简运算,正确理解题意中的新定义、掌握分式的化简方法是解题的关键.(1)根据“真分式”和“假分式”定义判断即可; (2)将分子写成 ,然后进行变形即可解答; (3)先将分式化为带分式,根据为整数,分式的值为整数即可得到x的值. 【详解】(1)解:∵ 的次数为0,x的次数为1, ∴ 是真分式. 故答案为:真. (2)解: . (3)解: , ∵ 与x均为整数, ∴ 或 或1或 , ∴ 或 或0或 , ∵ , , , , ∴ ,0, ,1. ∴ . 2.(23-24八年级上·云南昆明·期末)著名数学教育家波利亚曾说:“对一个数学问题,改变它的形式, 变换它的结构,直到发现有价值的东西,这是数学解题的一个重要原则. 【阅读材料】在处理分数和分式的问题时,有时由于分子大于分母,或分子的次数高于分母的次数,在实 际运算时难度较大,这时,我们可将分数(分式)拆分成一个整数(整式)与一个真分数(分式)的和 (差)的形式,通过对它的简单分析来解决问题,我们称这种方法为分离常数法,此法在处理分式或整除 问题时颇为有效.将分式分离常数可类比假分数变形带分数的方法进行,如: ,这样,分式就拆分成一个整数1与一个分式 的和的形式; 又如: ,这样,分式就拆分成一个整式 与一个 分式 的和的形式.根据以上阅读材料,解答下列问题: 【理解知识】(1)把分式 拆分成一个整数与一个分子为整数的分式的和的形式,则结果为______; 【掌握知识】(2)请你把分式 拆分成一个整式与一个分子为整数的分式的和的形式; 【运用知识】(3)若分式 的值为正整数,求整数 的值. 【答案】(1) ;(2)见解析;(3)9或3 【分析】本题考查分式的化简以及完全平方公式.掌握分式的变形方法,是解题的关键. (1)根据题干中的方法,将分式进行变形,即可; (2)根据题干中的方法,将分式转化为一个整式和一个分式的和的形式即可; (3)根据题干中的方法,先将分式转化为一个整式和一个分式的和的形式,结合 的值为正整数得出 m的值,再代入验证原式值是否为正整数即可. 【详解】解:(1) , 故答案为: ; (2) ; (3) , 当 是整数时, 或 ,解得 或0或3或 , 当 时,原式 ; 当 时,原式 (不符合题意,舍去) 当 时,原式 ; 当 时,原式 (不符合题意,舍去), 综上,整数 的值为3或9.