当前位置:首页>文档>冲刺985、211名校之2023届新高考题型模拟训练专题07立体几何(单选+填空)(新高考通用)解析版_02高考数学_新高考复习资料_2023年新高考资料_专项复习

冲刺985、211名校之2023届新高考题型模拟训练专题07立体几何(单选+填空)(新高考通用)解析版_02高考数学_新高考复习资料_2023年新高考资料_专项复习

  • 2026-04-15 01:57:16 2026-04-15 01:47:37

文档预览

冲刺985、211名校之2023届新高考题型模拟训练专题07立体几何(单选+填空)(新高考通用)解析版_02高考数学_新高考复习资料_2023年新高考资料_专项复习
冲刺985、211名校之2023届新高考题型模拟训练专题07立体几何(单选+填空)(新高考通用)解析版_02高考数学_新高考复习资料_2023年新高考资料_专项复习
冲刺985、211名校之2023届新高考题型模拟训练专题07立体几何(单选+填空)(新高考通用)解析版_02高考数学_新高考复习资料_2023年新高考资料_专项复习
冲刺985、211名校之2023届新高考题型模拟训练专题07立体几何(单选+填空)(新高考通用)解析版_02高考数学_新高考复习资料_2023年新高考资料_专项复习
冲刺985、211名校之2023届新高考题型模拟训练专题07立体几何(单选+填空)(新高考通用)解析版_02高考数学_新高考复习资料_2023年新高考资料_专项复习
冲刺985、211名校之2023届新高考题型模拟训练专题07立体几何(单选+填空)(新高考通用)解析版_02高考数学_新高考复习资料_2023年新高考资料_专项复习
冲刺985、211名校之2023届新高考题型模拟训练专题07立体几何(单选+填空)(新高考通用)解析版_02高考数学_新高考复习资料_2023年新高考资料_专项复习
冲刺985、211名校之2023届新高考题型模拟训练专题07立体几何(单选+填空)(新高考通用)解析版_02高考数学_新高考复习资料_2023年新高考资料_专项复习
冲刺985、211名校之2023届新高考题型模拟训练专题07立体几何(单选+填空)(新高考通用)解析版_02高考数学_新高考复习资料_2023年新高考资料_专项复习
冲刺985、211名校之2023届新高考题型模拟训练专题07立体几何(单选+填空)(新高考通用)解析版_02高考数学_新高考复习资料_2023年新高考资料_专项复习
冲刺985、211名校之2023届新高考题型模拟训练专题07立体几何(单选+填空)(新高考通用)解析版_02高考数学_新高考复习资料_2023年新高考资料_专项复习
冲刺985、211名校之2023届新高考题型模拟训练专题07立体几何(单选+填空)(新高考通用)解析版_02高考数学_新高考复习资料_2023年新高考资料_专项复习
冲刺985、211名校之2023届新高考题型模拟训练专题07立体几何(单选+填空)(新高考通用)解析版_02高考数学_新高考复习资料_2023年新高考资料_专项复习
冲刺985、211名校之2023届新高考题型模拟训练专题07立体几何(单选+填空)(新高考通用)解析版_02高考数学_新高考复习资料_2023年新高考资料_专项复习
冲刺985、211名校之2023届新高考题型模拟训练专题07立体几何(单选+填空)(新高考通用)解析版_02高考数学_新高考复习资料_2023年新高考资料_专项复习
冲刺985、211名校之2023届新高考题型模拟训练专题07立体几何(单选+填空)(新高考通用)解析版_02高考数学_新高考复习资料_2023年新高考资料_专项复习
冲刺985、211名校之2023届新高考题型模拟训练专题07立体几何(单选+填空)(新高考通用)解析版_02高考数学_新高考复习资料_2023年新高考资料_专项复习
冲刺985、211名校之2023届新高考题型模拟训练专题07立体几何(单选+填空)(新高考通用)解析版_02高考数学_新高考复习资料_2023年新高考资料_专项复习
冲刺985、211名校之2023届新高考题型模拟训练专题07立体几何(单选+填空)(新高考通用)解析版_02高考数学_新高考复习资料_2023年新高考资料_专项复习
冲刺985、211名校之2023届新高考题型模拟训练专题07立体几何(单选+填空)(新高考通用)解析版_02高考数学_新高考复习资料_2023年新高考资料_专项复习
冲刺985、211名校之2023届新高考题型模拟训练专题07立体几何(单选+填空)(新高考通用)解析版_02高考数学_新高考复习资料_2023年新高考资料_专项复习
冲刺985、211名校之2023届新高考题型模拟训练专题07立体几何(单选+填空)(新高考通用)解析版_02高考数学_新高考复习资料_2023年新高考资料_专项复习
冲刺985、211名校之2023届新高考题型模拟训练专题07立体几何(单选+填空)(新高考通用)解析版_02高考数学_新高考复习资料_2023年新高考资料_专项复习
冲刺985、211名校之2023届新高考题型模拟训练专题07立体几何(单选+填空)(新高考通用)解析版_02高考数学_新高考复习资料_2023年新高考资料_专项复习
冲刺985、211名校之2023届新高考题型模拟训练专题07立体几何(单选+填空)(新高考通用)解析版_02高考数学_新高考复习资料_2023年新高考资料_专项复习
冲刺985、211名校之2023届新高考题型模拟训练专题07立体几何(单选+填空)(新高考通用)解析版_02高考数学_新高考复习资料_2023年新高考资料_专项复习
冲刺985、211名校之2023届新高考题型模拟训练专题07立体几何(单选+填空)(新高考通用)解析版_02高考数学_新高考复习资料_2023年新高考资料_专项复习
冲刺985、211名校之2023届新高考题型模拟训练专题07立体几何(单选+填空)(新高考通用)解析版_02高考数学_新高考复习资料_2023年新高考资料_专项复习
冲刺985、211名校之2023届新高考题型模拟训练专题07立体几何(单选+填空)(新高考通用)解析版_02高考数学_新高考复习资料_2023年新高考资料_专项复习
冲刺985、211名校之2023届新高考题型模拟训练专题07立体几何(单选+填空)(新高考通用)解析版_02高考数学_新高考复习资料_2023年新高考资料_专项复习
冲刺985、211名校之2023届新高考题型模拟训练专题07立体几何(单选+填空)(新高考通用)解析版_02高考数学_新高考复习资料_2023年新高考资料_专项复习
冲刺985、211名校之2023届新高考题型模拟训练专题07立体几何(单选+填空)(新高考通用)解析版_02高考数学_新高考复习资料_2023年新高考资料_专项复习
冲刺985、211名校之2023届新高考题型模拟训练专题07立体几何(单选+填空)(新高考通用)解析版_02高考数学_新高考复习资料_2023年新高考资料_专项复习
冲刺985、211名校之2023届新高考题型模拟训练专题07立体几何(单选+填空)(新高考通用)解析版_02高考数学_新高考复习资料_2023年新高考资料_专项复习
冲刺985、211名校之2023届新高考题型模拟训练专题07立体几何(单选+填空)(新高考通用)解析版_02高考数学_新高考复习资料_2023年新高考资料_专项复习
冲刺985、211名校之2023届新高考题型模拟训练专题07立体几何(单选+填空)(新高考通用)解析版_02高考数学_新高考复习资料_2023年新高考资料_专项复习
冲刺985、211名校之2023届新高考题型模拟训练专题07立体几何(单选+填空)(新高考通用)解析版_02高考数学_新高考复习资料_2023年新高考资料_专项复习
冲刺985、211名校之2023届新高考题型模拟训练专题07立体几何(单选+填空)(新高考通用)解析版_02高考数学_新高考复习资料_2023年新高考资料_专项复习
冲刺985、211名校之2023届新高考题型模拟训练专题07立体几何(单选+填空)(新高考通用)解析版_02高考数学_新高考复习资料_2023年新高考资料_专项复习
冲刺985、211名校之2023届新高考题型模拟训练专题07立体几何(单选+填空)(新高考通用)解析版_02高考数学_新高考复习资料_2023年新高考资料_专项复习
冲刺985、211名校之2023届新高考题型模拟训练专题07立体几何(单选+填空)(新高考通用)解析版_02高考数学_新高考复习资料_2023年新高考资料_专项复习
冲刺985、211名校之2023届新高考题型模拟训练专题07立体几何(单选+填空)(新高考通用)解析版_02高考数学_新高考复习资料_2023年新高考资料_专项复习
冲刺985、211名校之2023届新高考题型模拟训练专题07立体几何(单选+填空)(新高考通用)解析版_02高考数学_新高考复习资料_2023年新高考资料_专项复习
冲刺985、211名校之2023届新高考题型模拟训练专题07立体几何(单选+填空)(新高考通用)解析版_02高考数学_新高考复习资料_2023年新高考资料_专项复习
冲刺985、211名校之2023届新高考题型模拟训练专题07立体几何(单选+填空)(新高考通用)解析版_02高考数学_新高考复习资料_2023年新高考资料_专项复习
冲刺985、211名校之2023届新高考题型模拟训练专题07立体几何(单选+填空)(新高考通用)解析版_02高考数学_新高考复习资料_2023年新高考资料_专项复习
冲刺985、211名校之2023届新高考题型模拟训练专题07立体几何(单选+填空)(新高考通用)解析版_02高考数学_新高考复习资料_2023年新高考资料_专项复习
冲刺985、211名校之2023届新高考题型模拟训练专题07立体几何(单选+填空)(新高考通用)解析版_02高考数学_新高考复习资料_2023年新高考资料_专项复习

文档信息

文档格式
docx
文档大小
5.088 MB
文档页数
44 页
上传时间
2026-04-15 01:47:37

文档内容

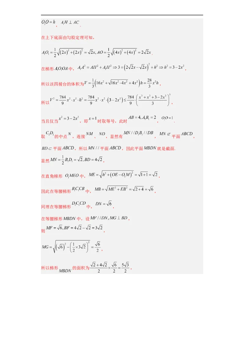
【冲刺985/211名校之2023届新高考题型模拟训练】 专题07 立体几何(单选+填空)(新高考通用) 一、单选题 1.(2023·广东·高三校联考阶段练习)已知 、 是空间中两个不同的平面, 、 是空间中两条不同的直线,则下列命题中正确的是( ) A.若 , ,则 B.若 , ,则 C.若 , ,则 D.若 , , ,则 【答案】D 【分析】利用空间中线面、面面的位置关系可判断ABC选项;利用空间向量法可判断 D选项. 【详解】对于A选项,若 , ,则 或 ,A错; 对于B选项,若 , ,则 或 、 相交,B错; 对于C选项,若 , ,则 或 或 、 相交(不一定垂直),C 错; 对于D选项,设直线 、 的方向向量分别为 、 , 若 , , ,则平面 、 的一个法向量分别为 、 ,且 ,故 ,D对. 故选:D. 2.(2023·浙江·永嘉中学校联考模拟预测)已知正方体 的棱长为1, 是线段 上的动点,则三棱锥 的体积为( ) A. B. C. D. 【答案】B【分析】先由线面平行的判定定理证得 面 ,从而得到 ,再结合锥体的体积公式即可得解. 【详解】因为在正方体 中, , , 所以四边形 是平行四边形,故 , 又 面 , 面 ,所以 面 , 因为 是线段 上的动点,所以 到面 的距离与 到面 的距离相等, 所以 故选:B. . 3.(2023春·浙江绍兴·高三统考开学考试)在正棱台 中, 为棱 中点.当四棱台的体积最大时,平面 截该四棱台 的截面面积是( ) A. B. C. D. 【答案】C 【分析】根据正四棱台的体积公式、结合基本不等式、线面平行的判定定理、梯形的 面积公式进行求解即可. 【详解】设 ,上底面和下底面的中心分别为 ,该四棱台的高, . 在上下底面由勾股定理可知, . 在梯形 中, , 所以该四棱台的体积为 , 所以 , 当且仅当 ,即 时取等号,此时 , . 取 的中点 ,连接 、 ,显然有 , 平面 , 平面 ,所以 平面 ,因此平面 就是截面. 显然 , 在直角梯形 中, , 因此在等腰梯形 中, , 同理在等腰梯形 中, , 在等腰梯形 中,设 , 则 , , 所以梯形 的面积为 ,故选:C. 【点睛】关键点睛:根据基本不等式求出体积最大值,结合线面平行判定定理判断截 面的形状是解题的关键. 4.(2023·山东·潍坊一中校联考模拟预测)已知正方体 的棱长为3, 点 满足 .若在正方形 内有一动点 满足 平面 ,则动 点 的轨迹长为( ) A.3 B. C. D. 【答案】C 【分析】在棱 上分别取点 ,使得 , ,连接 ,证明平面 平面 即可得点 的轨迹为线段 ,再计算长度即可. 【详解】解:如图,在棱 上分别取点 ,使得 , , 连接 , 因为 , , 所以, , 因为 平面 , 平面 , 所以 平面 ,因为 , , 所以, , , 因为 , , 所以, ≌ , ≌ , 所以 所以,四边形 是平行四边形, 所以 , 因为 平面 , 平面 , 所以, 平面 , 因为 , 平面 , 所以平面 平面 , 因为平面 平面 , 所以,在正方形 内有一动点 满足 平面 时,点 的轨迹为线段 , 因为 所以,动点 的轨迹长为 故选:C5.(2023·山东临沂·统考一模)古希腊亚历山大时期的数学家帕普斯在《数学汇编》 第3卷中记载着一个确定重心的定理:“如果同一平面内的一个闭合图形的内部与一 条直线不相交,那么该闭合图形围绕这条直线旋转一周所得到的旋转体的体积等于闭 合图形面积乘以该闭合图形的重心旋转所得周长的积”,即 ( 表示平面图形 绕旋转轴旋转的体积, 表示平面图形的面积, 表示重心绕旋转轴旋转一周的周长). 如图,直角梯形 ,已知 ,则其重心 到 的距离为( ) A. B. C. D.1 【答案】C 【分析】根据题意,用式子分别表示出直角梯形绕 旋转一周所得的几何体的体积、 梯形面积以及重心绕旋转轴旋转一周的周长,进而求解答案. 【详解】设 , 直角梯形绕 旋转一周所得的几何体的体积为 ; 梯形 的面积 ,故记重心 到 的距离为 , 则重心绕旋转轴旋转一周的周长为 , 则 ,则 , 故选:C.6.(2023·湖南·模拟预测)已知正方体 , ,点E为平面 内的动点,设直线 与平面 所成的角为 ,若 则点 的轨 迹所围成的图形面积的取值范围为( ) A. B. C. D. 【答案】D 【分析】确定 平面 , ,计算 , , ,E在平面 内的轨迹是以O为圆心, 半径为OE的圆,计算得到答案. 【详解】如图所示,连接 交平面 于O,连接EO, 平面 , 平面 ,故 , , , 平面 ,故 平面 , 平面 ,故 , 同理可得 , , 平面 ,故 平面 , 所以∠AEO是AE与平面 所成的角, ,所以 , 在四面体 中, , ,所以四面体 为正三棱锥,O为 的重心,如下图所示, 所以 , , 因为 ,所以 , 又E在平面 内的轨迹是以O为圆心,半径为OE的圆, 所以E在平面 内的轨迹围成的图形面积 . 故选:D 7.(2023秋·江苏·高三统考期末)四边形ABCD是矩形, ,点E,F分别是 AB,CD的中点,将四边形AEFD绕 旋转至与四边形 重合,则直线 所成角 在旋转过程中( ) A.逐步变大 B.逐步变小 C.先变小后变大 D.先变大后变小 【答案】D 【分析】根据初始时刻ED与BF所成角可判断BC,由题可知 在平面 内的投 影 一直落在直线 上,进而某一时刻 ,可得 与 所成角为 ,可判 断AD. 【详解】由题可知初始时刻 与 所成角为0,故 错误,在四边形AEFD绕 旋转过程中, , 平面 , 所以 平面 , 平面 , 所以平面 平面 ,故 在平面 内的投影 一直落在直线 上, 所以一定存在某一时刻 ,而 平面 , ,又 平面 , 所以 平面 ,此时 与 所成角为 ,然后 开始变小, 故直线 所成角 在旋转过程中先变大后变小,故选项A错误,选项D正确. 故选:D. 8.(2023·福建泉州·统考三模)图1中,正方体 的每条棱与正八面体 (八个面均为正三角形)的条棱垂直且互相平分.将该正方体的顶点与正八 面体的顶点连结,得到图2的十二面体,该十二面体能独立密铺三维空间.若 , 则点M到直线 的距离等于( )A. B. C. D. 【答案】A 【分析】连接PR,MN,相交于点O,设MP与AB相交于点K,MQ与BC相交于点 L,连接KL,利用正八面体 的性质,由线面垂直的判定定理,证明 平 面 ,得到MR为点M到直线 的距离,然后在 中,利用 是 的中位线求得正八面体的边长即可. 【详解】解:如图所示: 连接PR,MN,相交于点O,设MP与AB相交于点K,MQ与BC相交于点L,连接 KL, 在正八面体 中,易知 ,且 , 所以 ,则 ,即 , 又 平面 ,则 ,又HG与RN相交, 所以 平面 ,则MR为点M到直线 的距离,在 中, ,则 , 因为 是 的中位线, 所以 ,即 , 故选:A 9.(2023·湖南张家界·统考二模)鲁班锁是我国传统的智力玩具,起源于中国古代建 筑中的榫卯结构,其内部的凹凸部分啮合十分精巧.图1是一种鲁班锁玩具,图2是其 直观图.它的表面由八个正三角形和六个正八边形构成,其中每条棱长均为2.若该玩具 可以在一个正方体内任意转动(忽略摩擦),则此正方体表面积的最小值为( ) A. B. C. D. 【答案】D 【分析】将鲁班锁补成正方体,建立空间直角坐标系,求出鲁班锁某个顶点到另一个顶 点的最大值,即可求解. 【详解】将鲁班锁补成正方体 ,然后以点A为坐标原点, AB、AD、 所在直线分別为x、y、z轴建立如下图所示的空间直角坐标系,在鲁班锁所在几何体上任取一个顶点 , 观察图形可知,P到鲁班锁所在几何体上其他顶点的距离的最大值在 、 、 、 、 、 、 、 中取得, 结合图形可知 、 , , 、 , , , , 则 , , , , , , , , 所以P到鲁班锁所在几何体上其他顶点的距离的最大值为 , 所以,若该玩具可以在一个正方体内任意转动(忽略摩擦),设该正方体的棱长的最小值为 ,则 , 该正方体的表面积为 . 故选:D. 10.(2023春·广东珠海·高三珠海市第一中学校考阶段练习)《九章算术·商功》提及 一种称之为“羡除”的几何体,刘徽对此几何体作注:“羡除,隧道也其所穿地,上 平下邪.似两鳖臑夹一堑堵,即羡除之形.”羡除即为:三个面为梯形或平行四边形(至 多一个侧面是平行四边形),其余两个面为三角形的五面几何体.现有羡除 如 图所示,底面 为正方形, ,其余棱长为2,则羡除外接球体积与羡除体 积之比为( ) A. B. C. D. 【答案】A 【分析】连接AC、BD交于点M,取EF的中点O,连接OM,求出OM的长,进而求 出OA的长,可知 ,从而可求出羡除外接球体积, 由等体积法可求出羡除体积,进而可求得结果. 【详解】连接AC、BD交于点M,取EF的中点O,连接OM,则 平面 .取 BC的中点G,连接FG,作 ,垂足为H,如图所示, 由题意得, , , , , ∴ , ∴ ,又∵ , ∴ , ∴ ,即:这个羡除的外接球的球心为O,半径为 2, ∴这个羡除的外接球体积为 . ∵ , 面 , 面 , ∴ 面 ,即:点A到面 的距离等于点B到面 的距离, 又∵ , ∴ , ∴这个羡除的体积为 , ∴羡除的外接球体积与羡除体积之比为 . 故选:A. 11.(2023春·广东惠州·高三校考阶段练习)河南博物院主展馆的主体建筑以元代登 封古观星台为原型,经艺术夸张演绎成“戴冠的金字塔”造型,冠部为“方斗”形, 上扬下覆,取上承“甘露”、下纳“地气”之意.冠部以及冠部下方均可视为正四棱 台.已知一个“方斗”的上底面与下底面的面积之比为 ,高为2,体积为 ,则 该“方斗”的侧面积为( ) A.24 B.12 C. D.【答案】D 【分析】根据题意得正四棱台的侧面为四个等腰梯形,先计算侧面的高,然后利用梯 形的面积公式代入计算即可. 【详解】由题意可知,记正四棱台为 ,其底面为正方形, 侧面为四个等腰梯形,把该四棱台补成正四棱锥如图, 设 是底面 上 与 的交点, 是底面 上 与 的交点 则 是正四棱锥 的高, 为正四棱台 的高, 设 , ,则上、下底面的面积分别为 、 , 由题意 ,所以 , 在 中, ,所以 为PA的中点, 在 中, ,所以 ,所以 , 又 ,解得 , , 所以 , 所以侧棱长 是 ,由勾股定理可得侧面的高为 , 所以侧面积为 . 故选:D 12.(2023·广东广州·高三广东实验中学校考阶段练习)以等边三角形ABC为底的两 个正三棱锥 和 内接于同一个球,并且正三棱锥 的侧面与底面ABC所成的角为 ,记正三棱锥 和正三棱锥 的体积分别为 和 ,则 ( ) A.1 B. C. D. 【答案】D 【分析】根据外接球的几何性质结合正棱锥的几何性质即可求解. 【详解】两个正三棱锥 和 内接于同一个球,如图, 设 到底面 的距离为 , 到底面 的距离为 , 则 , 取 中点为 ,连接 , 记 与平面 交点为 , 由于两个正三棱锥 和 内接于同一个球, 所以 为球 的直径, 记 为球心,且由题意可知 为三角形 的中心, 因此 为正三棱锥 和 的高 , 由 且 为 中点, 可得 则 为正三棱锥 的侧面与底面ABC所成的角为 ,所以 , 记球的半径为 ,于是 , 在 中,勾股定理可得 解得 ,于是 则 ,即 , 故选:D. 13.(2023·江苏连云港·统考模拟预测)已知正四面体 , ,点 为线段 的中点,则直线 与平面 所成角的正切值是( ) A. B. C. D. 【答案】C 【分析】作出图形,找出直线 与平面 所成角的平面角,在三角形内即可求解. 【详解】如图,过点 向底面作垂线,垂足为 ,连接 , 过点 作 于G,连接 , 由题意可知: 且 , 因为 平面 ,所以 平面 , 则 即为直线 与平面 所成角的平面角, 设正四面体的棱长为2,则 , , 所以 ,则 , 在 中,由余弦定理可得: ,在 中, , 所以 , 所以直线 与平面 所成角的正切值是 , 故选: . 14.(2023秋·浙江嘉兴·高三统考期末)如图,在棱长为2的正方体 中, 为棱 的中点, 分别是底面 与侧面 的中心, 为该正方体 表面上的一个动点,且满足 ,记点 的轨迹所在的平面为 ,则过 四点的球面被平面 截得的圆的周长是( ) A. B. C. D. 【答案】B 【分析】建立空间直角坐标系,找到球心O和点 的轨迹,求出 到平面 的距离, 利用几何法求截面圆的半径和周长. 【详解】取面对角线 中点 ,连接 , , , , 分别在 上,且 , 以 为原点, 的方向分别为 轴, 轴, 轴正方向,建立如图所示的空 间直角坐标系,, , , , , , , , , , , , , 三棱锥 中, 为直角三角形,所以 , 因此点 即为三棱锥 的外接球球心,球半径长为 , , , , , , 共面, , , , , 平面 , , 平面 , 平面 , 点 的轨迹为矩形 的四边,如图所示, , 为平面 的法向量, 则球心 到平面 的距离为 , 球面被平面 截得的圆的半径 ,圆的周长为 . 故选:B 【点睛】本题找球心O考查学生的空间想象能力,其余的计算和证明问题,则利用空 间向量法. 15.(2023春·浙江杭州·高三浙江省杭州第二中学校考阶段练习)已知在矩形 中, , , , 分别在边 , 上,且 , ,如图所示, 沿 将四边形 翻折成 ,设二面角 的大小为 ,在翻折过程 中,当二面角 取得最大角,此时 的值为( )A. B. C. D. 【答案】B 【分析】过 作 的垂线交 与 ,交 于 , 于 ,然后利用定义法可得 为二面角 的平面角,设 ,可得 , ,从而 ,然后求函数最大值时的 值 即可. 【详解】过 作 的垂线交 与 ,交 于 , 于 , 设 在平面 内的投影为 ,则 在直线 上, 过 作 的垂线,垂足为 ,则 为二面角 的平面角, 设 ,由题意 , , 则 , 由 , ,得 , 所以 , 所以 , 令 ,可得 ,则 , 所以,当 即 ,也即 时, 取到最大值 , 此时 最大,即二面角 取得最大角.故选:B 16.(2023秋·湖南湘潭·高三校联考期末)点 分别是棱长为2的正方体 中棱 的中点,动点 在正方形 (包括边界)内运动.若 面 ,则 的长度范围是( ) A. B. C. D. 【答案】B 【分析】取 的中点 , 的中点F,连结 , , ,取EF中点O,连结 ,证明平面 平面 ,从而得到P的轨迹是线段,从而得出 长度范围. 【详解】取 的中点 , 的中点F,连结 , , ,取EF中点O,连结 , , ∵点M,N分别是棱长为2的正方体 中棱BC, 的中点,, , , 四边形 为平行四边形, ,而在平面 中,易证 , ∵ 平面 , 平面 , 平面 , 平面 , 平面 , 平面 , 又 , 平面 ,∴平面 平面 , ∵动点P在正方形 (包括边界)内运动,且 平面AMN, ∴点P的轨迹是线段EF, , ,∴ , ∴当P与O重合时, 的长度取最小值 , 为等腰三角形,∴ 在点 或者点 处时,此时 最大,最大值为 . 即 的长度范围为 故选:B. 17.(2023·浙江·校联考三模)在正方体 中,平面 经过点B、D,平 面 经过点A、 ,当平面 分别截正方体所得截面面积最大时,平面 所成 的锐二面角大小为( ) A. B. C. D. 【答案】C 【分析】设平面 与面 所成的二面角为 ,二面角 为 ,分 和 两种情况讨论,证明平面 经过点B、D且截正方体所得截面面积最大时, 平面 与面 重合,从而可得出答案.【详解】平面 经过点B、D且截正方体所得截面面积最大时,平面 与面 重 合, 证明:设平面 与面 所成的二面角为 ,二面角 为 , 当 时,记平面 截正方体所得截面为面 , , 则 , 令 , 因为 ,所以 , 当 时,显然平面 截正方体所得截面面积最大时, 截面为面 , 当 时,平面 截正方体所得截面为 , 所以平面 截正方体所得截面面积最大时截面为面 , 同理平面 过 时,截正方体所得截面面积最大时截面为面 , 连接 ,面 与面 所成锐二面角为 ,因为 面 面 , 所以 的所成角大小为二面角 大小, 因为 ,所以面 与面 所成锐二面角大小为 . 故选:C. 【点睛】关键点点睛:解决本题的关键在于说明平面 经过点B、D且截正方体所得 截面面积最大时,平面 与面 重合,考查了分类讨论思想和极限思想. 二、填空题 18.(2023春·辽宁本溪·高三校考阶段练习)如图,在三棱锥P-ABC中,PA⊥平面 ABC,∠ACB=90°,PA=CA=CB=2,若D,E分别为棱PA,AB的中点,过C,D, E三点的平面截三棱锥P-ABC的外接球,则截面的面积为______. 【答案】 【分析】将三棱锥放入到一个正方体中,则三棱锥的外接球即为该正方体的外接球, 利用正方体的棱长求出外接球半径,用向量法求球心到截面距离,几何法求截面面积. 【详解】由PA⊥平面ABC,∠ACB=90°,PA=CA=CB=2, 将三棱锥P-ABC放入到一个正方体中(如图),则三棱锥P-ABC的外接球即为该正方体的外接球,该外接球的球心为正方体的中心O(体对角线的中点), 因为 ,所以外接球的半径 , 以C为原点, 的方向为 轴, 轴, 轴正方向,建立如图所示空间直角 坐标系, , , , , , , , 设平面CDE的一个法向量 , ,令 , ,则 , 点O到平面CDE的距离为 , 所以平面CDE截球所得截面的半径 ,故所求截面的面积为 . 故答案为: 【点睛】方法点睛:三垂直的四面体的外接球问题,把该四面体补充成正方体或者长 方体. 19.(2023·山东菏泽·统考一模)正三棱锥 的高为 为 中点,过作与棱 平行的平面,将三棱锥分为上下两部分,设上、下两部分的体积分别为 , 则 __________. 【答案】 【分析】根据题意,做出截面,然后利用向量的线性表示及共线定理推论可得 ,进而可得 ,从而可得 的值. 【详解】连接 并延长交 于 ,连接 ,则 为 的中点, 延长 交 于 ,过 作 分别交 于 ,连接 , 因为 , 平面 , 平面 , 所以 平面 ,又 平面 ,故平面 即为过 作与棱 平行 的平面, 由题可知 , ,即 , 设 ,则 ,又 为 中点,所以 , 所以 ,所以 ,即 , , , 所以 . 故答案为: . 20.(2023秋·广东深圳·高三统考期末)若正方形 的顶点均在半径为1的球 上,则四棱锥 体积的最大值为______. 【答案】 ## 【分析】设正方形 的边长为 ,可得到四棱锥 体积为 ,令 ,则 ,利用导数的知识求得最大值 即可求解 【详解】设正方形 的中心为 ,连接 ,由球的性质可知 平面 , 设正方形 的边长为 ,因为正方形 的顶点均在半径为1的球 上,且不在 大圆上,所以 , 所以, , 所以,四棱锥 体积为 令 ,则 , 令 ,则 ,故 得 ,所以,当 时, , 单调递增, 当 时, , 单调递减, 所以,当 时 有最大值 , 所以, ,当且仅当 时四棱锥 体积的最 大值. 故答案为: 21.(2023·广东·高三统考阶段练习)某儿童玩具的实物图如图1所示,从中抽象出的 几何模型如图2所示,由 , , , 四条等长的线段组成,其结构特点是 能使它任意抛至水平面后,总有一条线段所在的直线竖直向上,则 ___________. 【答案】 ## 【分析】根据题意可得两两连接 后所得到的四面体为正四面体,且 是其外 接球的球心,设出棱长,在直角三角形中建立等式关系,求得 , 的长度,即可求得结果. 【详解】根据题意可得 , , , 相等且两两所成的角相等,两两连接 后所得到的四面体为正四面体, 且 是其外接球的球心,延长 交面 于 ,连接 ,则 为 的外心, 设 ,则 , , , , 因为 ,所以解得 , . 故答案为: . 22.(2023秋·浙江绍兴·高三统考期末)在正方体 中, 分别是 棱 的中点,过 、 、 的平面 把正方体截成两部分体积分别为 ,则 __________. 【答案】 【分析】根据平面的基本性质画出过 的截面,再利用柱体、锥体的体积公式求,即可得结果. 【详解】延长 交 的延长线与点 ,连接 交 于点 ,连接 : 延长 交 的延长线与点 ,连接 交 于点 ,连接 : 所以过 、 、 的截面为 ,如下图所示: 设正方体的棱长为 ,由 , 分别是棱 、 的中点, 所以 , 所以 , , 则过 、 、 的截面下方几何体的体积为 , 所以另一部分体积为 ,则 . 故答案为: . 23.(2023春·浙江宁波·高三校联考阶段练习)浑仪(如图)是中国古代用于测量天 体球面坐标的观测仪器,它是由一重重的同心圆环构成,整体看起来就像一个圆球.学 校天文兴趣小组的学生根据浑仪运行原理制作一个简单模型:同心的小球半径为1, 大球半径为R.现要在大球内放入一个由六根等长的铁丝(不计粗细)组成的四面体框 架,同时使得小球可以在框架内自由转动,则R的最小值为__________.【答案】 【分析】根据题设描述知小球与正四面体的各棱相切,大球为正四面体的外接球R最 小,结合正四面体的结构特征,确定球心位置及大小球半径,根据三角形相似列方程 求R最小值. 【详解】由题意,小球与正四面体的各棱相切,大球为正四面体的外接球,即可保证 R最小, 如上图,设正四面体的棱长为 , 为△ 中心,故 面 , 又 面 ,则 ,且 , 又小球半径 ,则OF⊥AC,大球半径 , , 易知:△ △ ,故 ,即 ,可得 . 故答案为: 24.(2023春·江苏南通·高三校考开学考试)在直四棱柱 中,底面 ABCD是边长为1的正方形,侧棱 ,M为侧棱 的中点,N在侧面矩形 内(异于点 ),则三棱锥 体积的最大值为____________. 【答案】 ##0.5【分析】建立空间直角坐标系,写出点的坐标,得到 , 故 ⊥ ,求出 ,再利用点到平面的距离公式求出点 到平面 的距离,表达出三棱锥 的体积为 ,结合 的范围,求出体积最大值. 【详解】以D为坐标原点,DA,DC, 所在直线分别为x轴,y轴,z轴,建立空 间直角坐标系, 则 ,设 , , ,其中 与 不能同时成立, 则 , , 故 , 因为 ,所以 ⊥ , 故 , 设平面 的法向量为 , , 取 ,则 ,故 , 点 到平面 的距离 ,三棱锥 的体积为 , 因为 , ,其中 与 不能同时成立, 要想 最大,由于 恒成立,只需要 最大,当 时, ,满足要求, 所以当 时, 取得最大值,最大值为 . 故答案为: 【点睛】立体几何中体积最值问题,一般可从三个方面考虑:一是构建函数法,即建 立所求体积的目标函数,转化为函数的最值问题进行求解;二是借助基本不等式求最 值,几何体变化过程中两个互相牵制的变量(两个变量之间有等量关系),往往可以 使用此种方法;三是根据几何体的结构特征,变动态为静态,直观判断在什么情况下 取得最值. 25.(2023秋·江苏南京·高三南京市第一中学校考期末)在三棱锥 中, ,且 ,则直线PC与平面ABC所成角的余 弦值为__________. 【答案】 【分析】先利用线面垂直的判定定理与性质定理证得 面 ,从而得到 为直线PC与平面ABC所成角的平面角,再利用余弦定理与勾股定理求得 , 从而求得 ,由此得解. 【详解】记 的中点为 ,连结 ,过 作 交 的延长线于 ,如图,因为 , 为 的中点,所以 , 因为 , , ,所以 ,则 , 又 为 的中点,所以 , 因为 面 ,所以 面 , 又 面 ,所以 , 因为 , 面 ,所以 面 , 所以 为直线PC与平面ABC所成角的平面角, 不妨设 , 在 中, ,则 , , 在 中, , 在 中, ,则 , 即 ,故 , 在 中, , 所以在 中, , 又 ,则 ,即 ,所以 , 所以 , 故直线PC与平面ABC所成角的余弦值为 . 故答案为: . 26.(2023秋·湖北·高三湖北省云梦县第一中学校联考期末)2022年12月3日,南昌 市出士了东汉六棱锥体水晶珠灵摆吊坠如图(1)所示.现在我们通过DIY手工制作一 个六棱锥吊坠模型.准备一张圆形纸片,已知圆心为O,半径为 ,该纸片上的正 六边形 的中心为 为圆O上的点,如图(2)所示. 分别是以 为底 边的等腰三角形.沿虚线剪开后,分别以 为折痕折起 ,使 重合,得到六棱 锥,则当六棱锥体积最大时,底面六边形的边长为___________ . 【答案】 ## 【分析】连接 ,交 于点H,设 ,则 ,首先求出,然后根据求出其高为 ,从而得到体积表达式 ,最后利用导数求出其最值. 【详解】解:连接 ,交 于点H,由题意得 ,设 ,则 , ,因为 ,所以 , 六棱锥的高 . 正六边形 的面积 , 则六棱锥的体积 . 令函数 , 则 , 当 时, ,当 时, , 所以 在 上单调递增,在 上单调递减, 所以 .此时,底面边长 . 故答案为: . 27.(2023春·湖北·高三统考阶段练习)在棱长均相等的四面体 中, 为棱 不含端点 上的动点,过点A的平面 与平面 平行 若平面 与平面 ,平 面 的交线分别为 , ,则 , 所成角的正弦值的最大值为__________. 【答案】 ## 【分析】根据面面平行的性质定理说明 , ,从而说明 或其补角 即为 , 所成的平面角,利用余弦定理求得 的长,结合同角的三角函数关系 即可求得答案. 【详解】连接 , 由题意知过点A的平面 与平面 平行,平面 与平面 ,平面 的交线分 别为 , , 由于平面 平面 ,平面 平面 ,平面 平面 , 所以 , , 所以 或其补角即为 , 所成的平面角, 设正四棱锥 的棱长为 , , ,则 , 在 中, 由余弦定理得 , 同理求得 ,故在 中, , , 由于 ,则 ,进而 , 当 时取等号, 故 的最小值为 ,进而 , 故 的最大值为 , 故答案为: . 【点睛】关键点点睛:要求直线 , 所成角的正弦值的最大值,需找出直线 , 所成角,因而解答的关键是利用面面平行的性质说明所求角即为 或其补角. 28.(2023春·湖南·高三校联考阶段练习)在正四棱锥 中, 为 的中点, 过 作截面将该四棱锥分成上、下两部分,记上、下两部分的体积分别为 ,则 的最大值是___________. 【答案】2 【分析】根据给定条件,作出过 的正四棱锥 的截面,再求出 的表达式 并结合均值不等式求解作答. 【详解】记正四棱锥 的体积为 , 的最大值,由 为定值知,只 需求 的最小值, 设过 的截面分别交 和 于 ,平面 与平面 的交线为 与 相交于 ,如图,则 ,令 ,则 ,即有 , , 当且仅当 时取等号,此时 , 所以 的最大值是2. 故答案为:2 【点睛】方法点睛:作截面的常用三种方法:直接法,截面的定点在几何体的棱上; 平行线法,截面与几何体的两个平行平面相交,或者截面上有一条直线与几何体的某 个面平行;延长交线得交点,截面上的点中至少有两个点在几何体的同一平面上. 三、双空题 29.(2023·江苏泰州·统考一模)已知正四棱锥 的所有棱长都为1,点 在侧 棱 上,过点 且垂直于 的平面截该棱锥,得到截面多边形 ,则 的边数至多 为__________, 的面积的最大值为__________.【答案】 【分析】空1,数形结合,作平面与平面 平行,即可解决;空2,令 ,得 , ,得 , ,得 ,即可解决. 【详解】取 中点 平面 , 作平面与平面 平行,如图至多为五边形. 令 , , , 所以 , 所以所以 , 因为 与 的夹角为 与 夹角,而 与 垂直, 所以 , 当 时, 取最大值 . 故答案为: ; 30.(2023·广东广州·统考一模)在棱长为1的正方体 中,点 分 别是棱 的中点, 是侧面 上的动点.且 平面 ,则点 的轨迹 长为__________.点 到直线 的距离的最小值为__________. 【答案】 【分析】根据给定条件,作出平面 截正方体所得截面,再确定点 的轨迹,计算 长度即可;再建立空间直角坐标系,利用空间向量求出点到直线的距离作答. 【详解】在正方体 中,连接 ,如图,对角面 为 矩形, 因为点 分别是棱 的中点,则 ,而 ,即平面 截正方体所得截面为梯形 ,显然过点 与平面 平行的平面 交平面 、平面 分别于 ,因此 ,连 ,平面 、平面 与平面 分别交于 , , 因此 ,而 ,即四边形 为平行四边形,于是 , 即点M为 的中点,同理 为 中点, ,因为动点 始终满足 平 面 , 于是 平面 ,又 在侧面 上,所以点 的轨迹是线段 ,轨迹长 为 ; 以点D为原点建立空间直角坐标系,则 , 则 ,令 , 则有 , , 于是点 到直线 的距离 , 当且仅当 时取等号,所以点 到直线 的距离的最小值为 . 故答案为: ; 【点睛】方法点睛:作截面的常用三种方法:直接法,截面的定点在几何体的棱上;平行线法,截面与几何体的两个平行平面相交,或者截面上有一条直线与几何体的某 个面平行;延长交线得交点,截面上的点中至少有两个点在几何体的同一平面上.