当前位置:首页>文档>提优点8 数列中的放缩问题_2025年新高考资料_二轮复习_2025届高考数学二轮复习课件+练习_2025届高中数学二轮复习板块三数列提优点8 数列中的放缩问题(课件+练习)

提优点8 数列中的放缩问题_2025年新高考资料_二轮复习_2025届高考数学二轮复习课件+练习_2025届高中数学二轮复习板块三数列提优点8 数列中的放缩问题(课件+练习)

  • 2026-04-15 09:55:12 2026-04-15 09:48:22

文档预览

提优点8 数列中的放缩问题_2025年新高考资料_二轮复习_2025届高考数学二轮复习课件+练习_2025届高中数学二轮复习板块三数列提优点8 数列中的放缩问题(课件+练习)
提优点8 数列中的放缩问题_2025年新高考资料_二轮复习_2025届高考数学二轮复习课件+练习_2025届高中数学二轮复习板块三数列提优点8 数列中的放缩问题(课件+练习)
提优点8 数列中的放缩问题_2025年新高考资料_二轮复习_2025届高考数学二轮复习课件+练习_2025届高中数学二轮复习板块三数列提优点8 数列中的放缩问题(课件+练习)
提优点8 数列中的放缩问题_2025年新高考资料_二轮复习_2025届高考数学二轮复习课件+练习_2025届高中数学二轮复习板块三数列提优点8 数列中的放缩问题(课件+练习)
提优点8 数列中的放缩问题_2025年新高考资料_二轮复习_2025届高考数学二轮复习课件+练习_2025届高中数学二轮复习板块三数列提优点8 数列中的放缩问题(课件+练习)
提优点8 数列中的放缩问题_2025年新高考资料_二轮复习_2025届高考数学二轮复习课件+练习_2025届高中数学二轮复习板块三数列提优点8 数列中的放缩问题(课件+练习)
提优点8 数列中的放缩问题_2025年新高考资料_二轮复习_2025届高考数学二轮复习课件+练习_2025届高中数学二轮复习板块三数列提优点8 数列中的放缩问题(课件+练习)
提优点8 数列中的放缩问题_2025年新高考资料_二轮复习_2025届高考数学二轮复习课件+练习_2025届高中数学二轮复习板块三数列提优点8 数列中的放缩问题(课件+练习)
提优点8 数列中的放缩问题_2025年新高考资料_二轮复习_2025届高考数学二轮复习课件+练习_2025届高中数学二轮复习板块三数列提优点8 数列中的放缩问题(课件+练习)
提优点8 数列中的放缩问题_2025年新高考资料_二轮复习_2025届高考数学二轮复习课件+练习_2025届高中数学二轮复习板块三数列提优点8 数列中的放缩问题(课件+练习)
提优点8 数列中的放缩问题_2025年新高考资料_二轮复习_2025届高考数学二轮复习课件+练习_2025届高中数学二轮复习板块三数列提优点8 数列中的放缩问题(课件+练习)
提优点8 数列中的放缩问题_2025年新高考资料_二轮复习_2025届高考数学二轮复习课件+练习_2025届高中数学二轮复习板块三数列提优点8 数列中的放缩问题(课件+练习)
提优点8 数列中的放缩问题_2025年新高考资料_二轮复习_2025届高考数学二轮复习课件+练习_2025届高中数学二轮复习板块三数列提优点8 数列中的放缩问题(课件+练习)
提优点8 数列中的放缩问题_2025年新高考资料_二轮复习_2025届高考数学二轮复习课件+练习_2025届高中数学二轮复习板块三数列提优点8 数列中的放缩问题(课件+练习)
提优点8 数列中的放缩问题_2025年新高考资料_二轮复习_2025届高考数学二轮复习课件+练习_2025届高中数学二轮复习板块三数列提优点8 数列中的放缩问题(课件+练习)

文档信息

文档格式
docx
文档大小
0.065 MB
文档页数
11 页
上传时间
2026-04-15 09:48:22

文档内容

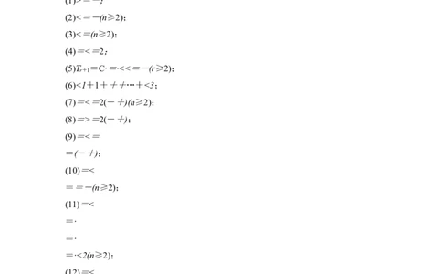
数列中的放缩问题 【知识拓展】 1.数列放缩是高考重点考查的内容之一,数列与不等式结合试题将稳定在中等偏 难的程度,其核心技能是放缩技巧的应用. 2.通项放缩常见结论 (1)>=-; (2)<=-(n≥2); (3)<=(n≥2); (4)=<=2; (5)T =C·=·<<=-(r≥2); r+1 (6)<1+1+++…+<3; (7)=<=2(-+)(n≥2); (8)=>=2(-+); (9)=<= =(-+); (10)=< ==-(n≥2); (11)=< =· =· =·<2(n≥2); (12)=< ===-(n≥2); (13)=<==-; (14)<=-(n≥2). 【类型突破】 类型一 先求和再放缩证明不等式对于数列和的不等式,若和易求,一般先求和,再放缩证明. 例1 (2024·沈阳模拟)已知数列{a }满足a +2a +…+na =(n-1)·2n+1+2. n 1 2 n (1)求{a }的通项公式; n (2)设b =+,证明b +b +…+b <. n 1 2 n 训练1 (2024·鹰潭模拟)设S 为数列{a }的前n项和,已知是首项为、公差为的等 n n 差数列. (1)求{a }的通项公式; n (2)令b =,T 为数列{b }的前n项积,证明:T ≤6n-1. n n n n 类型二 先放缩通项再求和证明不等式 若数列和的不等式不易求和,一般先适当放缩通项,然后累加求和. 例2 (2024·丽水调研)设数列{a }的前n项和为S ,a =1,2S =n2+n(n∈N*). n n 1 n (1)求数列{a }的通项公式; n (2)设数列{b }的前n项和为T ,且b =,求T ; n n n 99 (3)证明:+++…+>9. 训练2 已知数列{a }满足a =4,当n≥2时,a -4a =-. n 1 n n-1 (1)求数列{a }的通项公式; n (2)已知数列b =na -1,证明:++…+<. n n 类型三 通项放缩与求值 (1)通项放缩确定新数列; (2)先放缩再求和式子的应用. 例3 已知各项均为正数的数列{a }的前n项和为S ,且a ,S ,a为等差数列. n n n n (1)求数列{a }的通项公式; n (2)若m为正整数,记集合的元素个数为b ,求数列{b }的前50项和T . m n 50训练3 (2024·合肥质检)已知T 为正项数列{a }的前n项的乘积,且a =3,T=a. n n 1 (1)求数列{a }的通项公式; n (2)设b =,数列{b }的前n项和为S ,求[S ]([x]表示不超过x的最大整数). n n n 2 024 【精准强化练】 1.记T 为正项数列{a }的前n项积,且a =1,a =2,T T =2T. n n 1 2 n n+2 (1)求数列{a }的通项公式; n (2)证明:++…+<. 2.(2024·重庆诊断)已知数列{a }满足a =1,a =a +1,a =2a . n 1 2n+1 2n 2n 2n-1 (1)求数列{a }的通项公式; n (2)设T =++…+,求证:T <3. n 2n 【解析版】 1.数列放缩是高考重点考查的内容之一,数列与不等式结合试题将稳定在中等偏 难的程度,其核心技能是放缩技巧的应用. 2.通项放缩常见结论 (1)>=-; (2)<=-(n≥2); (3)<=(n≥2); (4)=<=2; (5)T =C·=·<<=-(r≥2); r+1 (6)<1+1+++…+<3; (7)=<=2(-+)(n≥2); (8)=>=2(-+); (9)=<= =(-+); (10)=<==-(n≥2); (11)=< =· =· =·<2(n≥2); (12)=< ===-(n≥2); (13)=<==-; (14)<=-(n≥2). 【类型突破】 类型一 先求和再放缩证明不等式 对于数列和的不等式,若和易求,一般先求和,再放缩证明. 例1 (2024·沈阳模拟)已知数列{a }满足a +2a +…+na =(n-1)·2n+1+2. n 1 2 n (1)求{a }的通项公式; n (2)设b =+,证明b +b +…+b <. n 1 2 n (1)解 由题意可知,当n=1时,a =2; 1 当n≥2时,由a +2a +…+na =(n-1)·2n+1+2得, 1 2 n a +2a +…+(n-1)a =(n-2)·2n+2, 1 2 n-1 两式作差可得,na =(n-1)·2n+1-(n-2)·2n=n·2n,∴a =2n, n n a =2也适合该式,故a =2n. 1 n (2)证明 由题意知b =+=+, n 故b +b +…+b =+ 1 2 n=1-+-×=-, 由于n∈N*,则+>0, 故-<, 即b +b +…+b <. 1 2 n 规律方法 此类不等式一般另一端为常数,求和以后常利用去项放缩或利用函数 的单调性放缩. 训练1 (2024·鹰潭模拟)设S 为数列{a }的前n项和,已知是首项为、公差为的等 n n 差数列. (1)求{a }的通项公式; n (2)令b =,T 为数列{b }的前n项积,证明:T ≤6n-1. n n n n (1)解 因为是首项为、公差为的等差数列, 故=+(n-1)=+, 即S =n(n+1)=, n 当n≥2时,S =, n-1 故S -S =a =- n n-1 n ==n2, 当n=1时,a =S ==1,符合上式, 1 1 故a =n2. n (2)证明 由a =n2,S =, n n 故b ===, n则T =b b …b =·· n 1 2 n ·…·=, 因为(2n+1)(n+1)≥3×2=6, 故T ≤=6n-1. n 类型二 先放缩通项再求和证明不等式 若数列和的不等式不易求和,一般先适当放缩通项,然后累加求和. 例2 (2024·丽水调研)设数列{a }的前n项和为S ,a =1,2S =n2+n(n∈N*). n n 1 n (1)求数列{a }的通项公式; n (2)设数列{b }的前n项和为T ,且b =,求T ; n n n 99 (3)证明:+++…+>9. (1)解 因为2S =n2+n,① n 当n≥2时,2S =(n-1)2+n-1,② n-1 所以①-②得到2a =n2+n-(n-1)2-(n-1)=2n,即a =n, n n 又a =1,满足a =n,所以a =n. 1 n n (2)解 因为b ===-, n 所以T =b +b +…+b =-1+-+…+-=-1=9. 99 1 2 99 (3)证明 因为=>=-, 所以++…+=++…+>-1+-+…+-=-1=9, 即+++…+>9.规律方法 此类题型关键是如何放缩数列的通项,需要熟悉常见的放缩技巧及结 论. 训练2 已知数列{a }满足a =4,当n≥2时,a -4a =-. n 1 n n-1 (1)求数列{a }的通项公式; n (2)已知数列b =na -1,证明:++…+<. n n (1)解 当n≥2时,a -4a =-, n n-1 两边同除4n后得-=-, 所以 上述等式累加得-1=-1+, 即=,所以a =. n 又n=1时,a =4满足a =, 1 n 故a =(n∈N*). n (2)证明 由b =na -1=4n-1, n n 所以b =4·4n-1-1=3·4n-1+4n-1-1≥3·4n-1, n 所以≤, 当n=1时,=<, 当n≥2时,++…+< =·=<. 综上,对任意的n∈N*,++…+<. 类型三 通项放缩与求值(1)通项放缩确定新数列; (2)先放缩再求和式子的应用. 例3 已知各项均为正数的数列{a }的前n项和为S ,且a ,S ,a为等差数列. n n n n (1)求数列{a }的通项公式; n (2)若m为正整数,记集合的元素个数为b ,求数列{b }的前50项和T . m n 50 解 (1)由已知得2S =a +a, n n 当n=1时,有a =1, 1 当n≥2时,有2S =a +a, n-1 n-1 ∴2a =a-a+a -a , n n n-1 (a -a )(a +a )=a +a , n n-1 n n-1 n n-1 a +a >0, n n-1 ∴a -a =1, n n-1 ∴数列{a }为等差数列,∴a =n. n n (2)由+≤m,得m-≤a ≤m+,显然b =0,b =1. n 1 2 当m≥3时,m-≤1 (m-1)2, ⇔ ⇔ 易证2m-11-, n ∴S =++…+ n =n-n- n =n-=n-1+>n-1, ∴2 023