当前位置:首页>文档>数学详解运城市2025—2026学年第一学期期末调研测试(2)_全国高考模拟卷_2026年2月_260203山西省运城市2025-2026学年高三上学期期末调研(全科)

数学详解运城市2025—2026学年第一学期期末调研测试(2)_全国高考模拟卷_2026年2月_260203山西省运城市2025-2026学年高三上学期期末调研(全科)

  • 2026-04-15 14:04:29 2026-04-15 14:04:29

文档预览

数学详解运城市2025—2026学年第一学期期末调研测试(2)_全国高考模拟卷_2026年2月_260203山西省运城市2025-2026学年高三上学期期末调研(全科)
数学详解运城市2025—2026学年第一学期期末调研测试(2)_全国高考模拟卷_2026年2月_260203山西省运城市2025-2026学年高三上学期期末调研(全科)
数学详解运城市2025—2026学年第一学期期末调研测试(2)_全国高考模拟卷_2026年2月_260203山西省运城市2025-2026学年高三上学期期末调研(全科)
数学详解运城市2025—2026学年第一学期期末调研测试(2)_全国高考模拟卷_2026年2月_260203山西省运城市2025-2026学年高三上学期期末调研(全科)
数学详解运城市2025—2026学年第一学期期末调研测试(2)_全国高考模拟卷_2026年2月_260203山西省运城市2025-2026学年高三上学期期末调研(全科)
数学详解运城市2025—2026学年第一学期期末调研测试(2)_全国高考模拟卷_2026年2月_260203山西省运城市2025-2026学年高三上学期期末调研(全科)
数学详解运城市2025—2026学年第一学期期末调研测试(2)_全国高考模拟卷_2026年2月_260203山西省运城市2025-2026学年高三上学期期末调研(全科)
数学详解运城市2025—2026学年第一学期期末调研测试(2)_全国高考模拟卷_2026年2月_260203山西省运城市2025-2026学年高三上学期期末调研(全科)
数学详解运城市2025—2026学年第一学期期末调研测试(2)_全国高考模拟卷_2026年2月_260203山西省运城市2025-2026学年高三上学期期末调研(全科)
数学详解运城市2025—2026学年第一学期期末调研测试(2)_全国高考模拟卷_2026年2月_260203山西省运城市2025-2026学年高三上学期期末调研(全科)

文档信息

文档格式
pdf
文档大小
0.576 MB
文档页数
6 页
上传时间
2026-04-15 14:04:29

文档内容

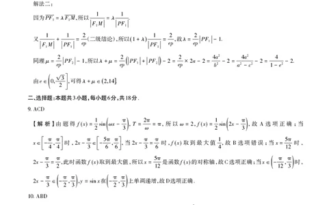
秘密 启用前 ★ 运城市 — 学年第一学期期末调研测试 2025 2026 高三数学参考答案详解及评分说明 一、选择题:本题共 小题,每小题 分,共 分 8 5 40 . 1.D 【解析】由已知可得A {xx },B { xx 或x } ,所以 B {x x },所以A B {x x } = | > 2 = | > 4 < -1 ∁R = | -1≤ ≤ 4 ∩ ∁R = |2 < ≤ 4 . 2.B 【解析】易知a nb n a b n = , n = 2 -1 , 4 - 4 = 4 - 8 = -4. 3.C 【解析】由题易知,AC BC,且AC BC ,所以S 1 AC BC ,则三棱锥P ABC的体积为V 1 ⊥ = = 2 △ ABC = × × = 1 - = × 2 3 S PA 2 △ ABC × = . 3 4.A - 【解析】设z a b ,则z a b ,所以( )[( a) b ] (a b ) , = + i = - i 1− i 1− + i = -2 + i i 即( a b) (a b ) b a , 1− + + + − 1 i = 2 − 2 i { a b b, 即 1− + = 2 解得a ,b ,即z ,所以|z| a b a, = 0 = 1 = i = 1. + − 1= -2 5.B 【解析】分步乘法原理,分三步完成 第 名只能是丙、丁、戊、己这 个班,有 种可能;乙班的名次只可能是 1 . 1 4 A4 = 4 第 ,,,名,有 种可能;剩余 个班的名次有 种可能 所以 个班的名次排列有 1 4 2 3 4 5 A4 = 4 4 A4 = 24 . 6 4 × 4 × 24 = 384 种不同情况 . 6.C ( ) 【解析】设P xy 为抛物线上任意一点, , ( ) | | 根据抛物线的定义可得 x y 2 y , 2 + − 1 = + 2 ( ) ( ) 即x y 2 y 2, 2 + − 1 = + 2 化简得x y 2 = 6 + 3. 7.A 【解析】易知 ,故 ,即a b ,又c ,故c b a 0.4 0 0log0.60.5>1 > >1 =0.3 <0.3 =1 < < . 8.B ( ) ( ) ( ) 【解析】解法一:设M x y ,N x y ,P x y , 1, 1 2, 2 0, 0 ìx λx ï 0 + 1 c   ï λ = - , PF λF M, í 1+ ∵ 1 = 1 ∴ ïy λy ï 0 + 1 î λ = 0. 1+ ìx y 2 2 ï 0 0 , 又í ïa 2 + b 2 = 1 1 x 0 + λx 1 x 0 − λx 1 x 0 − λx 1 a 2 x λx a 2 a 2 λ, ïλ 2 x 2 λ 2 y 2 ⇒ a 2 ∙ λ ∙ λ = 1⇒ λ = - c ⇒ 0 − 1 = - c + c ï 1 1 λ 2 , 1+ 1− 1− î a + b = 2 2 数学试题答案 第 页(共 页) 1 6{ x λx c cλ 0 + 1 = - − , a 2 c 2 a 2 c 2 a a x + − λ x λx 2 2 λ ⇒ 2 0 = - c + c . 0 − 1 = - c + c , a c a c a c a c a c a c 2 2 2 2 2 2 2 2 2 2 2 2 同理 x + − μ,所以 + − μ + − λ, 2 0 = c − c c − c = - c + c (a c ) ( e ) 2 2 2 所以λ μ 2 + 2 1+ + = a c = e . 2 2 2 − 1− é ) é ) 令t e 2 ,t ê1 ,则λ μ 4 ,t ê1 , = 1− ∈ ë ,1 + = t − 2 ∈ ë ,1 4 4 所以λ μ ( , ] + ∈ 2 14 . 解法二:   因为PF λF M,所以 1 λ 1 1 = 1 | F M | = | PF |. 1 1 又 1 1 2(二级结论),所以( λ) 1 2,故λ 2 | PF | | F M | + | PF | = ep 1+ | PF | = ep = ep 1 - 1. 1 1 1 | | (| | | |) a 2 a 2 同理μ 2 PF ,所以λ μ 2 PF PF 2 a 4 4 4 = ep 2 - 1 + = ep 1 + 2 - 2 = ep × 2 - 2 = b 2 - 2 = a 2 c 2 - 2 = e 2 - 2. - 1- ( ù 由e 3úú,可得λ μ ( ] ∈ 0, û + ∈ 2,14 . 2 二、选择题:本题共 小题,每小题 分,共 分 3 6 18 . 9.ACD ( ) ( ) 【解析】由题得 f x 1 ωx π ,T 2π ,所以 ω ,f x 1 x π ,故 选项正确;当 ( ) = sin - = ω = π = 2 ( ) = sin 2 - A 2 3 2 3 é ù é ù x ê π πú 时,x π ê 5π πú,当 x π π 时,f x 取到最大值 1,故 选项错误;当 x 5π 时, ∈ë- , û 2 - ∈ë- , û 2 - = ( ) B = 4 4 3 6 6 3 6 4 12 ( ) x π π,此时函数 f x 取到最大值,所以x 5π是函数f x 的对称轴,故 选项正确;当x π π 时, 2 - = ( ) = ( ) C ∈ - , 3 2 12 12 3 ( ) ( ) x π π π ,y x在 π π 上单调递增,故 选项正确 2 - ∈ - , = sin - , D . 3 2 3 2 3 10.ABD 【解析】如图,取CN的中点H,连接MH,则MH AB,且MH 1 AN,所以MH BN,且 ∥ = ∥ A 2     MH BN,所以 BEN MEH,所以BE EM,NE EH,即BE 1 BM,CE 3 CN = △ ≌△ = = = = . 2 4     (  )   M ( ) 对于 ,BE 1 BM 1 AM AB 1 1 AC AB 1 AC 1 AB,故 选项正确; N A = = − = − = − A 2 2 2 2 4 2 E     (  )   H ( ) 对于 ,CE 3 CN 3 AN AC 3 2 AB AC 1 AB 3 AC,故 选项正确; B C B = = − = − = − B (第 题答图) 4 4 4 3 2 4 10   (  ) (  ) 由BE CE ,可得 1 AC 1 AB 1 AB 3 AC , ∙ = 0 − ∙ − = 0 4 2 2 4 数学试题答案 第 页(共 页) 2 6    即 1 AB2 3 AC2 1 AB AC , − − + ∙ = 0 4 16 2 1 AB 2 3 AC 2 1 AB 2 3 AC 2 + 2 ∙ 即AB AC A 1 AB 2 3 AC 2 ,所以 A 2 8 2 8 3, ∙ ∙cos = + cos = AB AC ≥ AB AC = 2 8 ∙ ∙ 2 当且仅当1 AB 2 3 AC 2 ,即AB 3 AC时, = = 2 8 2 A取得最小值为 3,故 选项错误, 选项正确 cos C D . 2 11.ABC 【解析】 a R a M ,所以M R,故 选项正确;若 a R,M ,则 x R,f (x) f (a),故f (x)存在最小 ∀ ∈ , ∉ a a ≠ A ∃ ∈ a = ∅ ∀ ∈ ≥ 值为f (a),故 选项正确;x x R,且x x ,可知x M = x = { x|f x < f x } ,即f ( x ) f ( x ) ,故 B ∀ 1, 2 ∈ 1 < 2 1 ∈ x 2 (-∞, 2) ( ) ( 2) 1 < 2 {|x| x f (x)是增函数,故 选项正确;对于函数f (x) , -1< ≤ 1, 可以验证 a ,M ( aa),但f (x)不 C = |x| x 或x ∀ > 0 a = - , + 1, ≤ -1 > 1, 是偶函数,故 选项错误 D . 三、填空题:本题共 小题,每小题 分,共 分 3 5 15 . 12.0.3 【解析】因为X~N( σ ),即μ ,( σ ) ( σ ) μ,所以P(X σ ) P(X σ ) ,则 2 2 2 2 2 3, = 3 1+ + 5- = 6 = 2 ≤ 5- = ≥ 1+ = 0.7 P(X σ ) P(X σ ) 2 2 > 5- = 1- ≤ 5- = 0.3. 1 13. 2 x 【解析】f ( x) 1 2 -1 , 2 - = x = x 2- 2 + 2 2 + 2 x x 故f (x) f ( x) 1 2 -1 1+ 2 -1 1 + 2 - = x + x = x = . 2 + 2 2 + 2 2 + 2 2 (n ) n 14. + 1 2 { } 【解析】当n 时,S 2 n + 2 a 2 n + 2 ( S S ) ,变形得 S n S n -1 (n ),故 S n 是以 S 1 ≥ 2 n = n n = n n - n -1 n = 2 ⋅ n ≥ 2 n = 2 + 2 + 2 + 1 + 1 2 S 为首项,为公比的等比数列,所以 n n,S (n ) n 当n 时,S a ,所以S 2 n = 2 n = + 1 2 . = 1 1 =(1+ 1) × 2 1 = 4 = 1 n = + 1 n n ( + 1)2 . 四、解答题:本题共 小题,共 分 解答应写出文字说明、证明过程或演算步骤 5 77 . . 解:() b A a B a c , 15. 1 ∵ cos + 3 sin - - = 0 B A A B A C ,……………………………………………………………… 分 ∴ sin cos + 3sin sin - sin - sin = 0 1 B A A B A A B , ∴ sin cos + 3sin sin - sin - sin( + ) = 0 A B A A B ……………………………………………………………………… 分 ∴ 3sin sin - sin - sin cos = 0. 2 A , A , ∵ ∈(0,π) ∴ sin ≠ 0 数学试题答案 第 页(共 页) 3 6( ) B B , B π 1 …………………………………………………………………… 分 ∴ 3sin - cos = 1 ∴ sin - = . 4 6 2 ( ) 又B , B π π 5π , ∈(0,π) ∴ - ∈ - , 6 6 6 B π π, B π ……………………………………………………………………………………… 分 ∴ - = ∴ = . 6 6 6 3    ()由题得 BD BA BC,……………………………………………………………………………………… 分 2 2 = + 7      BD2 BA2 BC2 BA BC, ∴ 4 = + + 2 ⋅ a c ac B ……………………………………………………………………………………… 分 2 2 ∴ + + 2 cos = 12. 8 又B π, a 2 c 2 ac , …………………………………………………………………………… 分 = ∴ + + = 12 ① 9 3 由S 1 ac B ,得ac , ………………………………………………………………………… 分 = sin = 3 = 4 ② 11 2 由 得a ,c …………………………………………………………………………………………… 分 ①② = 2 = 2. 13 ()证明:因为PA 平面ABC,所以PA AB,PA AC ………………………………………………………… 分 16. 1 ⊥ ⊥ ⊥ . 1 又因为PA ,PB ,PC ,所以AB PB PA ,AC PC PA 2 2 2 2 = 1 = 3 = 5 = - = 2 = - = 2. 又因为 ABC为以B为顶角的等腰三角形,所以BC AB , …………………………………………… 分 △ = = 2 3 则PB BC PC ,所以PB BC, 2 2 2 + = ⊥ 又M为PC的中点,所以在 PBC中,MB MP MC ……………………………………………………… 分 Rt△ = = . 5 同理,在 PAC中,MA MP MC, Rt△ = = 所以MP MA MB MC,则点M为三棱锥P ABC的外接球球心 ………………………………………… 分 = = = - . 7 ()解:如图,以A为坐标原点,过点A且垂直于平面PAC的直线为x轴,AC, z 2 P AP所在直线分别为y,z轴建立空间直角坐标系, M 则A( ),B( ),C( ),P( ), 0,0,0 1,1,0 0,2,0 0,0,1 A ( ) ( ) x N Cy 所以M 1 ,N 1 1 ,……………………………………………… 分 0,1, ,1, 8 2 2 4  ( )   B 所以AN 1 1 ,PB ( ),PC ( ) ………………… 分 (第 题答图) = ,1, = 1,1, -1 = 0,2, -1 . 10 16 2 4 {  n PB x y z 设平面PBC的一个法向量为n ( x y z ) ,则 ⋅  = + - = 0, = , , n PC y z ⋅ = 2 - = 0, 取y ,解得x ,z ,则n ( ), …………………………………………………………………… 分 = 1 = 1 = 2 = 1,1,2 12 | | |  | || 1 1|| |  | AN n | + 1+ | 所以 AN n  ⋅ 2 2 4 14, …………………………………………………… 分 cos < , > = | AN ||n| = = 14 21 21 × 6 4 故AN与平面PBC所成角的正弦值为4 14 ………………………………………………………………… 分 . 15 21 数学试题答案 第 页(共 页) 4 6解(: )把样本数据按从小到大的顺序排列: , , , , , , , 17. 1 22 23 23 24 24 26 26 28. 因为 ,所以样本的第 百分位数取第 个数据,为 ………………………………………… 分 8 × 40% = 3.2 40 4 24. 3 - 样本的平均数为x 1 ( ) , ………………………………… 分 = × 22 + 23+ 23+ 24 + 24 + 26 + 26 + 28 = 24.5 5 8 [ ] 方差为s 2 1 ( ) 2 ( ) 2 ( ) 2 ( ) 2 ( ) 2 2 2 2 ……………… 分 = × -2.5 + -1.5 + -1.5 + -0.5 + -0.5 + 1.5 + 1.5 + 3.5 = 3.5. 7 8 ()样本数据中超过 的有 个,故从样本中随机抽取 个电池,该电池为优等品的概率为3 用样本数据估计 2 24 3 1 . 8 总体数据,所以从A批次电池中随机抽取 个电池,该电池为优等品的概率为3 …………………………… 分 1 . 9 8 ( ) ( ) ( ) 2 3 故所求概率为P 2 3 3 3 3 81 ………………………………………………… 分 = C3 × × 1- + C3 × = . 12 8 8 8 256 ()虽然B批次产品的平均值比A批次降低了 24.5- 24.4 ,但B批次产品的方差比A批次降低了 3 ≈ 0.41% 24.5 3.5- 1 ,说明B批次电池的质量更好, ≈ 71.43% 3.5 (没有定量计算平均值和方差降低的百分比,只定性比较平均值和方差的降低量,也同样得分)………… 分 . 14 所以应选择B批次的电池 …………………………………………………………………………………… 分 . 15 y ()解:因为双曲线C的渐近线方程为y x,所以可设双曲线C的方程为x 2 λ(λ ) 2 18. 1 = ± 3 − = ≠ 0 . 3 由点P( )在双曲线C上,所以 144 λ,即λ , -7,12 49 − = = 1 3 y 2 所以双曲线C的标准方程为x ……………………………………………………………………… 分 2 − = 1. 4 3 x y 2 2 (说明:若直接设双曲线的方程为 ,扣 分) a − b = 1 2 . 2 2 ()证明:()当直线l的斜率不存在时,直线l与双曲线C只有一个公共点A,不满足条件,………………… 分 2 i 5 ( ) ( ) 故设ly kx m,M x y ,N x y , : = + 1, 1 2, 2 直线l过点B,所以k m ………………………………………………………………………………… 分 + = -2. 7 { y kx m, = + 联立 x y 2 , 得( 3− k 2 )x 2 − 2 kmx − m 2 − 3= 0 , 2 − = 1 3 km m 2 易知k ,故x x 2 ,x x + 3,…………………………………………………………… 分 ≠ ± 3 1 + 2 = k 2 1 2 = - k 2 8 3− 3− ( )( ) ( )( ) y y kx m kx m kx m x kx m x 所以k k 1 2 1 + 2 + 1 + 2 − 1 + 2 + 1 − 1 1 + 2 = x + x = x + x = ( x )( x ) 1 − 1 2 − 1 1 − 1 2 − 1 1 − 1 2 − 1 (k m) kx x (m k)( x x ) m − 6 + k 2 1 2 + − 1 + 2 − 2 3− 2 6 …………………………………………… 分 = x x ( x x ) = (k m) 2 = k m = -3. 11 1 2 − 1 + 2 + 1 − + + k 2 3− ( ) ( ) ()设Q x ,y ,T x ,y , ii 1 Q 1 T 数学试题答案 第 页(共 页) 5 6y A,N,Q三点共线,所以k Q ,…………………………………………………………………………… 分 2 = x 12 1 − 1 y A,P,T三点共线,所以 T 0 − 12 3 ………………………………………………………………… 分 x = = - . 14 1 − 1 1+ 7 2 y y 由()可知k k 1 2 , i 1 + 2 = x + x = -3 1 − 1 2 − 1 y y y 即 1 Q 2 T , x + x = x 1 − 1 1 − 1 1 − 1 所以y y y ,得证 ……………………………………………………………………………………… 分 1 + Q = 2 T . 17 ()解:f (x) [(a )x ] x f (x) [(a )x a ] x ………………………………………… 分 19. 1 ′ = - 1 - 1 e + 1, ″ = - 1 + - 2 e. 2 当a 时,若x ,则f (x) ,f (x)在( ∞)上单调递减, ① ≤ 1 > 0 ″ < 0 ′ 0, + f (x) f ( ) , ∴ ′ < ′ 0 = 0 f (x)在区间( ∞)上单调递减,符合题意;………………………………………………………………… 分 ∴ 0, + 3 ( ) ( ) a a 当 a 时,易知f (x)在 2 - 上单调递减,在 2 - ∞ 上单调递增, ② 1< < 2 ′ 0,a a , + - 1 - 1 ( ) ( ) a a x 2 - 时,f (x) f ( ) ,f (x)在 2 - 上单调递减 ∴ ∈ 0,a ′ < ′ 0 = 0 0,a . - 1 - 1 ( ) ( ) a ( ) 又f 1 , 存在x 2 - 1 ,使得f x , ′ a = 1> 0 ∴ 0 ∈ a ,a ′ 0 = 0 - 1 - 1 - 1 x ( x ∞ ) 时,f (x) f ( x ) ,f (x)在 ( x ∞ ) 上单调递增,不符合题意;…………………………… 分 ∴ ∈ 0, + ′ > ′ 0 = 0 0, + 5 当a 时,若x ,则f (x) ,f (x)在( ∞)上单调递增, ③ ≥ 2 > 0 ″ > 0 ′ 0, + f (x) f ( ) , ∴ ′ > ′ 0 = 0 f (x)在( ∞)上单调递增,符合题意 ……………………………………………………………………… 分 ∴ 0, + . 6 综上,实数a的取值范围是( ∞ ] [ ∞) ………………………………………………………………… 分 - ,1 ⋃ 2, + . 7 ( ) ()证明:()若a ,则a a 又a ,故 n N a …………………………… 分 2 i n > 0 n +1 = ln n + 1 > 0. 1 = 1> 0 ∀ ∈ * , n > 0. 8 由()知当a 时,f (x) (x ) x x 在( ∞)上单调递增,故f ( a ) f ( ) , ……………… 分 1 = 2 = - 2 e + + 2 0, + n +1 > 0 = 0 9 即 ( a n +1 - 2 ) e an+1 + a n +1 + 2 = ( a n +1 - 2 )( a n + 1 ) + a n +1 + 2 > 0 ,变形得 a 1 - a 1 < 1,………………… 11 分 n +1 n 2 ( ) ( ) ( ) n n 故 1 1 1 1 1 1 1 1 - 1 + 1, a 2 ……………… 分 a = a + a - a + a - a + ⋯+ a - a ≤ 1+ = ∴ n ≥ n . 12 n 1 2 1 3 2 n n -1 2 2 + 1 ()由()知当a 时,f (x) x x 在( ∞)上单调递减,………………………………………… 分 ii 1 = 1 = -e + + 1 0, + 13 ( ) 故f 1 f ( ) ,………………………………………………………………………………………… 分 n < 0 = 0 14 + 1 n 即 n 1 1 ,变形得 1 + 2 …………………………………………………………… 分 -e +1 + n + 1< 0 n > ln n . 15 + 1 + 1 + 1 n 由()得a 2 ,故a + 2,………………………………………………………………………… 分 i n ≥ n n > 2ln n 16 + 1 + 1 ( ) n n n 故a a a + 2 + 3 2 + 2 ………………………………… 分 n + n +1 + ⋯+ 2 n > 2 ln n + ln n + ⋯+ ln n = 2ln2. 17 + 1 + 2 2 + 1 数学试题答案 第 页(共 页) 6 6