当前位置:首页>文档>特训08利用导数解决恒成立问题(三大题型)(解析版)_2025年新高考资料_一轮复习_2025年高考数学一轮复习《重难点题型与知识梳理•高分突破》(新高考专用)

特训08利用导数解决恒成立问题(三大题型)(解析版)_2025年新高考资料_一轮复习_2025年高考数学一轮复习《重难点题型与知识梳理•高分突破》(新高考专用)

  • 2026-04-15 17:33:10 2026-04-15 17:30:48

文档预览

特训08利用导数解决恒成立问题(三大题型)(解析版)_2025年新高考资料_一轮复习_2025年高考数学一轮复习《重难点题型与知识梳理•高分突破》(新高考专用)
特训08利用导数解决恒成立问题(三大题型)(解析版)_2025年新高考资料_一轮复习_2025年高考数学一轮复习《重难点题型与知识梳理•高分突破》(新高考专用)
特训08利用导数解决恒成立问题(三大题型)(解析版)_2025年新高考资料_一轮复习_2025年高考数学一轮复习《重难点题型与知识梳理•高分突破》(新高考专用)
特训08利用导数解决恒成立问题(三大题型)(解析版)_2025年新高考资料_一轮复习_2025年高考数学一轮复习《重难点题型与知识梳理•高分突破》(新高考专用)
特训08利用导数解决恒成立问题(三大题型)(解析版)_2025年新高考资料_一轮复习_2025年高考数学一轮复习《重难点题型与知识梳理•高分突破》(新高考专用)
特训08利用导数解决恒成立问题(三大题型)(解析版)_2025年新高考资料_一轮复习_2025年高考数学一轮复习《重难点题型与知识梳理•高分突破》(新高考专用)
特训08利用导数解决恒成立问题(三大题型)(解析版)_2025年新高考资料_一轮复习_2025年高考数学一轮复习《重难点题型与知识梳理•高分突破》(新高考专用)
特训08利用导数解决恒成立问题(三大题型)(解析版)_2025年新高考资料_一轮复习_2025年高考数学一轮复习《重难点题型与知识梳理•高分突破》(新高考专用)
特训08利用导数解决恒成立问题(三大题型)(解析版)_2025年新高考资料_一轮复习_2025年高考数学一轮复习《重难点题型与知识梳理•高分突破》(新高考专用)
特训08利用导数解决恒成立问题(三大题型)(解析版)_2025年新高考资料_一轮复习_2025年高考数学一轮复习《重难点题型与知识梳理•高分突破》(新高考专用)
特训08利用导数解决恒成立问题(三大题型)(解析版)_2025年新高考资料_一轮复习_2025年高考数学一轮复习《重难点题型与知识梳理•高分突破》(新高考专用)
特训08利用导数解决恒成立问题(三大题型)(解析版)_2025年新高考资料_一轮复习_2025年高考数学一轮复习《重难点题型与知识梳理•高分突破》(新高考专用)
特训08利用导数解决恒成立问题(三大题型)(解析版)_2025年新高考资料_一轮复习_2025年高考数学一轮复习《重难点题型与知识梳理•高分突破》(新高考专用)
特训08利用导数解决恒成立问题(三大题型)(解析版)_2025年新高考资料_一轮复习_2025年高考数学一轮复习《重难点题型与知识梳理•高分突破》(新高考专用)
特训08利用导数解决恒成立问题(三大题型)(解析版)_2025年新高考资料_一轮复习_2025年高考数学一轮复习《重难点题型与知识梳理•高分突破》(新高考专用)
特训08利用导数解决恒成立问题(三大题型)(解析版)_2025年新高考资料_一轮复习_2025年高考数学一轮复习《重难点题型与知识梳理•高分突破》(新高考专用)
特训08利用导数解决恒成立问题(三大题型)(解析版)_2025年新高考资料_一轮复习_2025年高考数学一轮复习《重难点题型与知识梳理•高分突破》(新高考专用)
特训08利用导数解决恒成立问题(三大题型)(解析版)_2025年新高考资料_一轮复习_2025年高考数学一轮复习《重难点题型与知识梳理•高分突破》(新高考专用)
特训08利用导数解决恒成立问题(三大题型)(解析版)_2025年新高考资料_一轮复习_2025年高考数学一轮复习《重难点题型与知识梳理•高分突破》(新高考专用)
特训08利用导数解决恒成立问题(三大题型)(解析版)_2025年新高考资料_一轮复习_2025年高考数学一轮复习《重难点题型与知识梳理•高分突破》(新高考专用)
特训08利用导数解决恒成立问题(三大题型)(解析版)_2025年新高考资料_一轮复习_2025年高考数学一轮复习《重难点题型与知识梳理•高分突破》(新高考专用)
特训08利用导数解决恒成立问题(三大题型)(解析版)_2025年新高考资料_一轮复习_2025年高考数学一轮复习《重难点题型与知识梳理•高分突破》(新高考专用)
特训08利用导数解决恒成立问题(三大题型)(解析版)_2025年新高考资料_一轮复习_2025年高考数学一轮复习《重难点题型与知识梳理•高分突破》(新高考专用)
特训08利用导数解决恒成立问题(三大题型)(解析版)_2025年新高考资料_一轮复习_2025年高考数学一轮复习《重难点题型与知识梳理•高分突破》(新高考专用)
特训08利用导数解决恒成立问题(三大题型)(解析版)_2025年新高考资料_一轮复习_2025年高考数学一轮复习《重难点题型与知识梳理•高分突破》(新高考专用)
特训08利用导数解决恒成立问题(三大题型)(解析版)_2025年新高考资料_一轮复习_2025年高考数学一轮复习《重难点题型与知识梳理•高分突破》(新高考专用)
特训08利用导数解决恒成立问题(三大题型)(解析版)_2025年新高考资料_一轮复习_2025年高考数学一轮复习《重难点题型与知识梳理•高分突破》(新高考专用)
特训08利用导数解决恒成立问题(三大题型)(解析版)_2025年新高考资料_一轮复习_2025年高考数学一轮复习《重难点题型与知识梳理•高分突破》(新高考专用)
特训08利用导数解决恒成立问题(三大题型)(解析版)_2025年新高考资料_一轮复习_2025年高考数学一轮复习《重难点题型与知识梳理•高分突破》(新高考专用)
特训08利用导数解决恒成立问题(三大题型)(解析版)_2025年新高考资料_一轮复习_2025年高考数学一轮复习《重难点题型与知识梳理•高分突破》(新高考专用)
特训08利用导数解决恒成立问题(三大题型)(解析版)_2025年新高考资料_一轮复习_2025年高考数学一轮复习《重难点题型与知识梳理•高分突破》(新高考专用)
特训08利用导数解决恒成立问题(三大题型)(解析版)_2025年新高考资料_一轮复习_2025年高考数学一轮复习《重难点题型与知识梳理•高分突破》(新高考专用)
特训08利用导数解决恒成立问题(三大题型)(解析版)_2025年新高考资料_一轮复习_2025年高考数学一轮复习《重难点题型与知识梳理•高分突破》(新高考专用)
特训08利用导数解决恒成立问题(三大题型)(解析版)_2025年新高考资料_一轮复习_2025年高考数学一轮复习《重难点题型与知识梳理•高分突破》(新高考专用)
特训08利用导数解决恒成立问题(三大题型)(解析版)_2025年新高考资料_一轮复习_2025年高考数学一轮复习《重难点题型与知识梳理•高分突破》(新高考专用)
特训08利用导数解决恒成立问题(三大题型)(解析版)_2025年新高考资料_一轮复习_2025年高考数学一轮复习《重难点题型与知识梳理•高分突破》(新高考专用)
特训08利用导数解决恒成立问题(三大题型)(解析版)_2025年新高考资料_一轮复习_2025年高考数学一轮复习《重难点题型与知识梳理•高分突破》(新高考专用)
特训08利用导数解决恒成立问题(三大题型)(解析版)_2025年新高考资料_一轮复习_2025年高考数学一轮复习《重难点题型与知识梳理•高分突破》(新高考专用)
特训08利用导数解决恒成立问题(三大题型)(解析版)_2025年新高考资料_一轮复习_2025年高考数学一轮复习《重难点题型与知识梳理•高分突破》(新高考专用)
特训08利用导数解决恒成立问题(三大题型)(解析版)_2025年新高考资料_一轮复习_2025年高考数学一轮复习《重难点题型与知识梳理•高分突破》(新高考专用)
特训08利用导数解决恒成立问题(三大题型)(解析版)_2025年新高考资料_一轮复习_2025年高考数学一轮复习《重难点题型与知识梳理•高分突破》(新高考专用)
特训08利用导数解决恒成立问题(三大题型)(解析版)_2025年新高考资料_一轮复习_2025年高考数学一轮复习《重难点题型与知识梳理•高分突破》(新高考专用)
特训08利用导数解决恒成立问题(三大题型)(解析版)_2025年新高考资料_一轮复习_2025年高考数学一轮复习《重难点题型与知识梳理•高分突破》(新高考专用)
特训08利用导数解决恒成立问题(三大题型)(解析版)_2025年新高考资料_一轮复习_2025年高考数学一轮复习《重难点题型与知识梳理•高分突破》(新高考专用)
特训08利用导数解决恒成立问题(三大题型)(解析版)_2025年新高考资料_一轮复习_2025年高考数学一轮复习《重难点题型与知识梳理•高分突破》(新高考专用)
特训08利用导数解决恒成立问题(三大题型)(解析版)_2025年新高考资料_一轮复习_2025年高考数学一轮复习《重难点题型与知识梳理•高分突破》(新高考专用)
特训08利用导数解决恒成立问题(三大题型)(解析版)_2025年新高考资料_一轮复习_2025年高考数学一轮复习《重难点题型与知识梳理•高分突破》(新高考专用)
特训08利用导数解决恒成立问题(三大题型)(解析版)_2025年新高考资料_一轮复习_2025年高考数学一轮复习《重难点题型与知识梳理•高分突破》(新高考专用)

文档信息

文档格式
docx
文档大小
2.174 MB
文档页数
44 页
上传时间
2026-04-15 17:30:48

文档内容

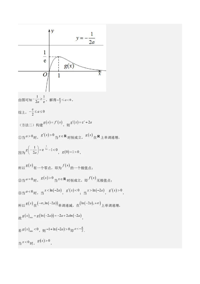
特训 08 利用导数解决恒成立问题(三大题型) 洛必达法则 法则1若函数 和 满足下列条件: (1) 及 ; (2)在点 的去心邻域 内, 与 可导且 ; (3) , 那么 = 。 法则2若函数 和 满足下列条件:(1) 及 ; (2) , 和 在 与 上可导,且 ; (3) , 那么 = 。 法则3若函数 和 满足下列条件: (1) 及 ; (2)在点 的去心邻域 内, 与 可导且 ; (3) , 那么 = 。 注意:利用洛必达法则求未定式的极限是微分学中的重点之一,在解题中应注意:(1)将上面公式中的 , , , 洛必达法则也成立。 (2)洛必达法则可处理 , , , , , , 型。 (3)在着手求极限以前,首先要检查是否满足 , , , , , , 型定式,否 则滥用洛必达法则会出错。当不满足三个前提条件时,就不能用洛必达法则,这时称洛必达法则不适用, 应从另外途径求极限。 (4)若条件符合,洛必达法则可连续多次使用,直到求出极限为止。 ,如满足条件,可继续使用洛必达法则。 目录: 01 :分离参数法求参数范围 02: 分类讨论法求参数范围 03: 双变量的恒(能)成立问题 01 :分离参数法求参数范围 例1已知函数f(x)=ex+ax2-x. (1)当a=1时,讨论f(x)的单调性; (2)当x≥0时,f(x)≥x3+1,求a的取值范围. 解 (1)当a=1时,f(x)=ex+x2-x,x∈R, f′(x)=ex+2x-1. 故当x∈(-∞,0)时,f′(x)<0; 当x∈(0,+∞)时,f′(x)>0. 所以f(x)在(-∞,0)单调递减,在(0,+∞)单调递增. (2)由f(x)≥x3+1得, ex+ax2-x≥x3+1,其中x≥0, ①当x=0时,不等式为1≥1,显然成立,此时a∈R. ②当x>0时,分离参数a, 得a≥-, 记g(x)=-, g′(x)=-. 令h(x)=ex-x2-x-1(x>0), 则h′(x)=ex-x-1,令H(x)=ex-x-1,H′(x)=ex-1>0, 故h′(x)在(0,+∞)上是增函数, 因此h′(x)>h′(0)=0,故函数h(x)在(0,+∞)上递增, ∴h(x)>h(0)=0,即ex-x2-x-1>0恒成立, 故当x∈(0,2)时,g′(x)>0,g(x)单调递增; 当x∈(2,+∞)时,g′(x)<0,g(x)单调递减. 因此,g(x) =g(2)=, max 综上可得,实数a的取值范围是 . 感悟提升 分离参数法解决恒(能)成立问题的策略 (1)分离变量.构造函数,直接把问题转化为函数的最值问题. (2)a≥f(x)恒成立⇔a≥f(x) ; max a≤f(x)恒成立⇔a≤f(x) ; min a≥f(x)能成立⇔a≥f(x) ; min a≤f(x)能成立⇔a≤f(x) . max 训练1 已知函数f(x)=. (1)若函数f(x)在区间上存在极值,求正实数a的取值范围; (2)如果当x≥1时,不等式f(x)-≥0恒成立,求实数k的取值范围. 解 (1)函数的定义域为(0,+∞), f′(x)==-, 令f′(x)=0,得x=1. 当x∈(0,1)时,f′(x)>0,f(x)单调递增; 当x∈(1,+∞)时,f′(x)<0,f(x)单调递减. 所以x=1为函数f(x)的极大值点,且是唯一极值点, 所以0<a<1<a+, 故<a<1,即实数a的取值范围为. (2)原不等式可化为当x≥1时,k≤恒成立, 令g(x)=(x≥1), 则g′(x)= =. 再令h(x)=x-ln x(x≥1), 则h′(x)=1-≥0, 所以h(x)≥h(1)=1,所以g′(x)>0, 所以g(x)为增函数, 所以g(x)≥g(1)=2,故k≤2,即实数k的取值范围是(-∞,2]. 02:分类讨论法求参数范围 例2 已知函数f(x)=ex-1-ax+ln x(a∈R). (1)若函数f(x)在x=1处的切线与直线3x-y=0平行,求a的值; (2)若不等式f(x)≥ln x-a+1对一切x∈[1,+∞)恒成立,求实数a的取值范围. 解 (1)f′(x)=ex-1-a+, ∴f′(1)=2-a=3, ∴a=-1, 经检验a=-1满足题意, ∴a=-1, (2)f(x)≥ln x-a+1可化为ex-1-ax+a-1≥0, 令φ(x)=ex-1-ax+a-1, 则当x∈[1,+∞)时,φ(x) ≥0, min ∵φ′(x)=ex-1-a, ①当a≤0时,φ′(x)>0, ∴φ(x)在[1,+∞)上单调递增, ∴φ(x) =φ(1)=1-a+a-1=0≥0恒成立, min ∴a≤0符合题意. ②当a>0时,令φ′(x)=0,得x=ln a+1. 当x∈(-∞,ln a+1)时,φ′(x)<0, 当x∈(ln a+1,+∞)时,φ′(x)>0, ∴φ(x)在(-∞,ln a+1)上单调递减, 在(ln a+1,+∞)上单调递增. 当ln a+1≤1,即0<a≤1时,φ(x)在[1,+∞)上单调递增,φ(x) =φ(1)=0≥0恒成立, min ∴0<a≤1符合题意. 当ln a+1>1,即a>1时,φ(x)在[1,ln a+1)上单调递减,在(ln a+1,+∞)上单调递增, ∴φ(x) =φ(ln a+1)<φ(1)=0与φ(x)≥0矛盾. min 故a>1不符合题意. 综上,实数a的取值范围为{a|a≤1}. 感悟提升 根据不等式恒成立求参数范围的关键是将恒成立问题转化为最值问题,此类问题关键是对参数 分类讨论,在参数的每一段上求函数的最值,并判断是否满足题意,若不满足题意,只需找一个值或一段 内的函数值不满足题意即可. 训练2 已知函数f(x)=ln x-a(x-1),a∈R,x∈[1,+∞),且f(x)≤恒成立,求a的取值范围. 解 f(x)-=, 构造函数g(x)=xln x-a(x2-1)(x≥1),g′(x)=ln x+1-2ax, 令F(x)=g′(x)=ln x+1-2ax,F′(x)=. 令1-2ax=0,得x=. ①若a≤0,则F′(x)>0,g′(x)在[1,+∞)上单调递增,g′(x)≥g′(1)=1-2a>0, ∴g(x)在[1,+∞)上单调递增,g(x)≥g(1)=0, 从而f(x)-≥0,不符合题意. ②若0<a<,当x∈时,F′(x)>0, ∴g′(x)在上单调递增, 从而g′(x)>g′(1)=1-2a>0, ∴g(x)在上单调递增,g(x)≥g(1)=0, 从而f(x)-≥0,不符合题意. ③若a≥,则F′(x)≤0在[1,+∞)上恒成立, ∴g′(x)在[1,+∞)上单调递减,g′(x)≤g′(1)=1-2a≤0. ∴g(x)在[1,+∞)上单调递减, 从而g(x)≤g(1)=0,f(x)-≤0, 综上所述,a的取值范围是. 03:双变量的恒(能)成立问题 例3 设f(x)=+xln x,g(x)=x3-x2-3. (1)如果存在x,x∈[0,2],使得g(x)-g(x)≥M成立,求满足上述条件的最大整数M; 1 2 1 2 (2)如果对于任意的s,t∈,都有f(s)≥g(t)成立,求实数a的取值范围. 解 (1)存在x,x∈[0,2],使得g(x)-g(x)≥M成立,等价于[g(x)-g(x)] ≥M成立. 1 2 1 2 1 2 max g′(x)=3x2-2x=x(3x-2), 令g′(x)=0,得x=0或x=, ∵g=-, 又g(0)=-3,g(2)=1, ∴当x∈[0,2]时,g(x) =g(2)=1, max g(x) =g=-, min ∴M≤1-=, ∴满足条件的最大整数M为4. (2)对任意的s,t∈有f(s)≥g(t), 则f(x) ≥g(x) . min max 由(1)知当x∈时,g(x) =g(2)=1, max ∴当x∈时,f(x)=+xln x≥1恒成立, 即a≥x-x2ln x恒成立. 令h(x)=x-x2ln x,x∈, ∴h′(x)=1-2xln x-x, 令φ(x)=1-2xln x-x,∴φ′(x)=-3-2ln x<0, h′(x)在上单调递减, 又h′(1)=0, ∴当x∈时,h′(x)≥0,当x∈[1,2]时,h′(x)≤0, ∴h(x)在上单调递增,在[1,2]上单调递减, ∴h(x) =h(1)=1,故a≥1. max ∴实数a的取值范围是[1,+∞). 感悟提升 含参不等式能成立问题(有解问题)可转化为恒成立问题解决,常见的转化有: 1.利用参变量分离法求解函数不等式恒(能)成立,可根据以下原则进行求解: (1) , ; (2) , ; (3) , ; (4) , . 2.不等式的恒成立与有解问题,可按如下规则转化: 一般地,已知函数 , , , . (1)若 , ,有 成立,则 ; (2)若 , ,有 成立,则 ; (3)若 , ,有 成立,则 ; (4)若 , ,有 成立,则 的值域是 的值域的子集. 训练3 已知函数f(x)=x3+x2+ax. (1)若函数f(x)在区间[1,+∞)上单调递增,求实数a的最小值; (2)若函数g(x)=,对∀x∈,∃x∈,使f′(x)≤g(x)成立,求实数a的取值范围. 1 2 1 2 解 (1)由题设知f′(x)=x2+2x+a≥0在[1,+∞)上恒成立, 即a≥-(x+1)2+1在[1,+∞)上恒成立, 而函数y=-(x+1)2+1在[1,+∞)单调递减, 则y =-3, max 所以a≥-3,所以a的最小值为-3.(2)“对∀x∈,∃x∈, 1 2 使f′(x)≤g(x)成立”等价于“当x∈时,f′(x) ≤g(x) ”. 1 2 max max 因为f′(x)=x2+2x+a=(x+1)2+a-1在上单调递增, 所以f′(x) =f′(2)=8+a. max 而g′(x)=, 由g′(x)>0,得x<1, 由g′(x)<0,得x>1, 所以g(x)在(-∞,1)上单调递增,在(1,+∞)上单调递减. 所以当x∈时,g(x) =g(1)=. max 由8+a≤,得a≤-8, 所以实数a的取值范围为. 方法技巧 洛必达法则 在解决不等式恒(能)成立,求参数的取值范围这一类问题时,最常用的方法是分离参数法,转化成求函数 的最值,但在求最值时如果出现“”型或“”型的代数式,就设法求其最值.“”型的代数式,是大学数学中 的不定式问题,解决此类问题的有效方法就是利用洛必达法则. 例 已知函数f(x)=x(ex-1)-ax2(a∈R). (1)若f(x)在x=-1处有极值,求a的值; (2)当x>0时,f(x)≥0,求实数a的取值范围. 解 (1)f′(x)=ex-1+xex-2ax=(x+1)ex-2ax-1, 依题意知f′(-1)=2a-1=0,∴a=. (2)法一 当x>0时,f(x)≥0, 即x(ex-1)-ax2≥0, 即ex-1-ax≥0, 令φ(x)=ex-1-ax(x>0), 则φ(x) ≥0, min φ′(x)=ex-a. ①当a≤1时,φ′(x)=ex-a>0, ∴φ(x)在(0,+∞)上单调递增, ∴φ(x)>φ(0)=0, ∴a≤1满足条件. ②当a>1时,若0<x<ln a,则φ′(x)<0, 若x>ln a,则φ′(x)>0. ∴φ(x)在(0,ln a)上单调递减,在(ln a,+∞)上单调递增, ∴φ(x) =φ(ln a)=a-1-aln a≥0. min 令g(a)=a-1-aln a(a>1), ∴g′(a)=1-(1+ln a)=-ln a<0,∴g(a)在(1,+∞)上单调递减. ∴g(a)<g(1)=0与g(a)≥0矛盾, 故a>1不满足条件, 综上,实数a的取值范围是(-∞,1]. 法二 当x>0时,f(x)≥0, 即x(ex-1)-ax2≥0, 即ex-1-ax≥0, 即ax≤ex-1, 即a≤恒成立, 令h(x)=(x>0), ∴h′(x)=, 令k(x)=ex(x-1)+1(x>0), ∴k′(x)=ex·x>0, ∴k(x)在(0,+∞)上单调递增, ∴k(x)>k(0)=0, ∴h′(x)>0, ∴h(x)在(0,+∞)上单调递增. 由洛必达法则知, lim lim lim x0 h(x)=x0=x0 ex=1, ∴a≤1. 故实数a的取值范围是(-∞,1]. 一、解答题 1.(2024·湖北·模拟预测)已知函数 , 其中 为常数. (1)过原点作 图象的切线 ,求直线 的方程; (2)若 ,使 成立,求 的最小值. 【答案】(1) (2) . 【分析】(1)设切点,求导得出切线方程,代入原点,求出参数即得切线方程;(2)由题意,将其等价转化为 在 有解,即只需求 在 上的最小 值,利用导数分析推理即得 的最小值. 【解析】(1) 设切点坐标为 ,则切线方程为 , 因为切线经过原点 ,所以 ,解得 , 所以切线的斜率为 ,所以 的方程为 . (2) , ,即 成立, 则得 在 有解, 故有 时, . 令 , , , 令 得 ;令 得 , 故 在 单调递减, 单调递增, 所以 , 则 ,故 的最小值为 . 2.(2024·江苏扬州·模拟预测)已知函数 . (1)讨论函数 的单调性; (2)若存在正数 ,使 成立,求 的取值范围; (3)若 ,证明:对任意 ,存在唯一的实数 ,使得 成立.【答案】(1)当 时, 在 上单调递增;当 时, 在 上单调递增,在 上单调递减. (2) (3)证明见解析 【分析】(1)计算 ,然后分类讨论即可得到单调性; (2)对 和 两种情况分别讨论,即可得到取值范围是 ; (3)首先证明 单调递减,即得唯一性;然后求导证明对任意的 ,都有 ;而对任意的 ,都有 . 再利用该结论证明 ,从而得到存在性. 最后综合两方面 即证得结论. 【解析】(1)对 求导得 . 当 时,对 有 ,故 在 上单调递增; 当 时,有 ,而当 时, ,故当 时 ,当 时 ,从而 在 上单调递增,在 上单调递减. 综上,当 时, 在 上单调递增; 当 时, 在 上单调递增,在 上单调递减. (2)若 ,由于 ,故存在正数 使得 ,条件满足; 若 ,则由(1)的结论,知 在 上单调递增,在 上单调递减,从而此时对任意的 都有 ,条件不满足. 综上, 的取值范围是 . (3)设 , ,我们分唯一性和存在性两方面来证明. 唯一性:由 ,知 的导数等于 ,而 ,故 显然恒为负, 从而 在 上单调递减. 特别地, 在 上单调递减. 这表明,使得 的 至多有一个,从而唯一性得证. 存在性:我们先考虑函数 ,这里 . 由于 ,故当 时 , 当 时 ,从而 在 上单调递减,在 上单调递增,从而对于任意的 , 都有 ,即 .这就得到,对任意 ,有 . 从而,对任意的 ,都有 ;而对任意的 ,都有 . 然后回到原题,首先我们有 . 同时我们又有 , , 故 . 由零点存在定理,知一定存在 ,使得 . 综合上述的存在性和唯一性两个方面,知存在唯一的 ,使得 . 【点睛】关键点点睛:本题的关键点在于,对于存在唯一性的证明,将唯一性和存在性分开论证,则证明 的逻辑会更加清晰,不易出现错误. 3.(2024·河北·二模)已知函数 . (1)求曲线 在 处的切线 与坐标轴围成的三角形的周长; (2)若函数 的图象上任意一点 关于直线 的对称点 都在函数 的图象上,且存在 ,使成立,求实数 的取值范围. 【答案】(1) (2) 【分析】(1)根据导数的几何意义求切线方程,进而求得 与 轴的交点与 轴的交点,计算可得结果; (2)根据对称性求函数 的解析式,将问题转化为存在 ,使 成立,构造函数 ,转化为函数的最值问题并求解. 【解析】(1)由 ,得 , 所以切线 的斜率 . 所以切线 的方程为 ,即 . 令 ,得 ,令 ,得 ,所以切线 与 轴交于点 ,与 轴交于点 , 所以切线 与坐标轴围成的三角形的周长为 . (2)设 ,则 , 由题意知 在 的图象上, 所以 ,所以 . 由 , 得 ,即 , 因为存在 ,使 成立,所以存在 ,使 成立, 设 ,则 ,又 ,当且仅当 时等号成立,所以 单调递增, 所以当 时, , 可得 ,即实数 的取值范围是 4.(2023·天津·二模)已知 ,函数 . (1)当 时,求 的单调区间; (2)当 时,设 的导函数为 ,若 恒成立,求证:存在 ,使得 ; (3)设 ,若存在 ,使得 ,证明: . 【答案】(1)递增区间为 ,递减区间为 ; (2)证明见解析; (3)证明见解析; 【分析】(1)当 时,求得 ,结合导数的符号,即可求解; (2)当 时,求得 ,根据题意 恒成立,取 ,得到 ,即可证明; (3)设 ,得到 ,转化为 ,设 ,求得 ,根据 ,得到 ,进而得到 ,进而证得结论.【解析】(1)由函数 ,可得其定义域为 , 当 时,可得 ,则 , 当 时,可得 , 单调递减; 当 时,可得 , 单调递增, 函数 的单调递增区间为 ,单调递减区间为 . (2)当 时,可得 ,则 , 恒成立,即 恒成立,令 , 若 ,则 ,存在 ,使得 , 即 ,不符合题意, , 取 ,则 ,可得 即存在 ,使得 . (3)由函数 ,可得 , 设 ,由 ,可得 , 则 , 又由 ,可得 , 函数 为单调递增函数, ,即 , , 设 ,可得 ,当 时, ,即 , , 即 , , 代入可得: , 则 , . 【点睛】方法点睛:对于利用导数研究不等式的恒成立与有解问题的求解策略: (1)通常要构造新函数,利用导数研究函数的单调性,求出最值,从而求出参数的取值范围; (2)利用分离变量,构造新函数,直接把问题转化为函数的最值问题. (3)根据恒成立或有解求解参数的取值时,一般涉及分离参数法,但压轴试题中很少碰到分离参数后构 造的新函数能直接求出最值点的情况,若参变分离不易求解问题,就要考虑利用分类讨论法和放缩法,注 意恒成立与存在性问题的区别. 5.(2023·陕西宝鸡·一模)已知函数 , 是自然对数的底数. (1)当 时,求整数 的值,使得函数 在区间 上存在零点; (2)若存在 使得 ,试求 的取值范围. 【答案】(1)1或 (2) 【分析】(1)首先求函数的导数,判断函数的单调性,并结合零点存在性定理,求整数 的值;(2)将 不等式存在性问题,转化为 ,利用导数判断函数的单调性,并求函 数的最值,代入不等式后,即可求解 的取值范围. 【解析】(1) , , 当 时, , ,故 是 上的增函数, 同理 是 上的减函数,,且 时, , 故当 时,函数 的零点在 内, 满足条件. 同理,当 时,函数 的零点在 内, 满足条件, 综上 . (2)问题 当 时, , , ①当 时,由 ,可知 ; ②当 时,由 ,可知 ; ③当 时, , 在 上递减, 上递增, 时, , 而 ,设 (仅当 时取等号), 在 上单调递增,而 , 当 时, 即 时, , 即 , 构造 ,易知 , 在 递增, ,即 的取值范围是 . 6.(2024·河北保定·二模)已知函数 . (1)若 ,讨论 的单调性; (2)已知存在 ,使得 在 上恒成立,若方程 有解,求实数 的取值范围.【答案】(1) 在 上单调递减,在 上单调递增; (2) . 【分析】(1)求出函数的定义域与导函数,令 ,判断 的单调性,即可得到 的取值 情况,从而得到 的单调区间; (2)求出函数的导函数,即可判断导函数的单调性,依题意可得 ,即可得到 ,设 ,依题意可得 有解,利用导数说明 的单调性, 即可得到 ,从而得到 ,再令 ,利用导数求出 的单调性,即可求 出函数的极值与区间端点的函数值,从而求出参数的取值范围. 【解析】(1)函数 的定义域为 , 当 时, ,所以 , 设 ,因为 、 都在 上单调递增, 所以 在 上单调递增,且 , 所以 时, 单调递减; 时, 单调递增. 所以 在 上单调递减,在 上单调递增. (2)由 , , 得 ,因为 、 都在 上单调递增,所以 在 上单调递增, 已知存在 ,使得 在 上恒成立,所以 是 的最小值,所以 , 即 ,所以 , 所以 , 设 , 由方程 有解,得 有解, 即 有解, 因为 在 上恒成立,所以 在 上单调递减, 所以 ,则 , 设 ,则 , 所以 时, 单调递增, 时, 单调递减, 又 , 所以 ,即 的取值范围是 . 【点睛】方法点睛:导函数中常用的两种常用的转化方法:一是利用导数研究含参函数的单调性,常化为 不等式恒成立问题.注意分类讨论与数形结合思想的应用;二是函数的零点、不等式证明常转化为函数的 单调性、极(最)值问题处理. 7.(2024·全国·模拟预测)已知函数 .(1)讨论 的单调性; (2)若不等式 在区间 上有解,求实数a的取值范围. 【答案】(1)答案见解析; (2) . 【分析】(1)求出 ,分类讨论确定 和 的解得单调性; (2)用分离参数法转化问题为不等式 在区间 上有解,引入函数 , 求出 的最小值即可得. 【解析】(1)由题意知函数 的定义域为 , 而 , 当 时, 恒成立,函数 在 上单调递增; 当 时,由 ,得 , 由 ,得 , 所以 在 上单调递减,在 上单调递增. 综上,当 时, 在 上单调递增; 当 时, 在 上单调递减,在 上单调递增. (2)因为不等式 在区间 上有解, 所以 在区间 上有解,此时 , 即 在区间 上有解,令 ,则 . 令 ,则 , 所以函数 在 上单调递增,所以 . 当 时 ;当 时 , 所以 在 上单调递减,在 上单调递增, 所以 ,所以 , 综上可知,实数a的取值范围是 . 8.(2024·湖南娄底·一模)已知函数 ,其中 为自然对数的底数. (1)求函数 的单调区间; (2)证明: ; (3)设 ,若存在实数 使得 ,求 的最大值. 【答案】(1)增区间为 ,减区间为 ; (2)证明见解析; (3) . 【分析】(1)求出 ,判断导数正负得到函数 的单调区间; (2)利用分析法转化要证结论,要证 ,即证 ,令 ,即证 , 利用导数判断 单调性,求出最大值即可得证; (3) ,分别讨论当 时和 时是否存在 使得 ,即可求解. 【解析】(1) 的定义域为 , 所以当 时, ;当 时, . 所以 的增区间为 ,减区间为 . (2)要证 ,即证 ,令 ,即证 , ,令 ,则 ,所以 在 上单调递减,又 , 当 时, ;当 时, . 在 上单调递增,在 上单调递减, ,所以 ,即 得证. (3)当 时, ,即存在 满足题意; 当 时,由(2)知, , 此时 恒成立,不满足题意; 综上,所以 的最大值为 . 9.(2024·山西运城·一模)已知 ,函数 , . (1)求曲线 在点 处的切线方程; (2)证明: 存在唯一的极值点;(3)若存在 ,使得 对任意 成立,求实数 的取值范围. 【答案】(1) (2)证明见解析 (3) 【分析】(1)求 ,代入计算 即为斜率,求 的值,结合点斜式即可求得切线方程. (2)①研究当 时, 的单调性,②研究当 时,令 ,运用导数研究 单 调性,结合零点存在性定理可知存在唯一 ,使得 ,即 ,进而可证得 的单 调性,进而可证得结果. (3)将问题转化为 ,由(2)可知, , ,进而可得存在 ,使得 ,设 , ,进而将问题转化为求 ,运用导数求 即可. 【解析】(1)由题意知, , 所以 , 又 , 所以曲线在点 处的切线方程为 ,即 . (2)证明:由 , , ①当 时, ,则 在 上单调递增,②当 时,设 ,则 , 所以 ,故 在 上单调递减, 又 , , 所以由零点存在性定理可知,存在唯一 ,使得 ,即 . 所以当 时, ,即 ;当 时, ,即 , 所以 在 上单调递增,在 上单调递减, 综述: 在 上单调递增,在 上单调递减,存在唯一 ,使得 . 故 存在唯一的极值点. (3)由(2)可知, 在 上单调递增,在 上单调递减, 故 , 因为 ,所以 , 由题意知, , 即 , 化简得 , , 设 , , 由题存在 ,使得 , 所以 , . 又设 , ,则 , 所以 在 上单调递减, 故 , 当 时, , ;当 时, , , 故 在 上单调递减,在 上单调递增, 所以 ,所以 . 故 的取值范围为 . 【点睛】方法点睛:恒成立(能成立)问题解题策略: 方法1:分离参数法求最值: (1)分离变量,构造函数,直接把问题转化为函数的最值问题; (2) 恒成立⇔ ; 恒成立⇔ ; 能成立⇔ ; 能成立⇔ ; 方法2:根据不等式恒成立(能成立)构造函数转化成求函数的最值问题,一般需讨论参数范围,借助函 数单调性求解. 10.(2024·全国·模拟预测)已知函数 和函数 有相同的最大值. (1)求a的值; (2)设集合 , (b为常数).证明:存在实数b,使得集合 中有且仅有3个元素. 【答案】(1)1 (2)证明见解析 【分析】(1)先由定义域得到 ,求导,当 时,函数无最大值,舍去,当 时,求出单调性和 有最大值 ,进而求出 的单调性,最大值 ,从而得到方程,求出a的值; (2)集合 的元素个数即为直线 与两条曲线 和 的交点个数,在(1)的基础上 作出 和 ,数形结合得到答案. 【解析】(1)由题意可知 ,由 ,得 , 若 ,当 时, ;当 时, , 则 在 上单调递减,在 上单调递增, 所以 有最小值 ,无最大值,不合题意. 所以 ,当 时, ;当 时, , 则 在 上单调递增,在 上单调递减, 所以 有最大值 . 由 ,得 , 且 , 当 时, ;当 时, , 则 在 上单调递增,在 上单调递减, 所以 有最大值 .则 ,解得 . (2)集合 的元素个数即为直线 与两条曲线 和 的交点个数. 由(1)可知 在 上单调递增,在 上单调递减, 且 , , 在 上单调递增,在 上单调递减, 且 , , 作出 和 的图像如图所示. 设 和 的图像交于点M, 则当直线 经过点M时,直线 与两条曲线 和 共有3个交点, 故存在实数b,使得集合 中有且仅有3个元素. 【点睛】方程解的问题可转化为两函数的图象交点问题,将代数问题几何化,借助图象分析,大大简化了 思维难度,首先要熟悉常见的函数图象,包括指数函数,对数函数,幂函数,三角函数等,常常利用导函 数得到函数的单调性和极值最值情况,还要熟练掌握函数图象的变换,包括平移,伸缩,对称和翻折等, 涉及零点之和问题,通常考虑图象的对称性进行解决. 11.(2024·青海·模拟预测)已知函数 ( ). (1)当 时,求 的最值;(2)当 时,证明:对任意的 , ,都有 . 【答案】(1)最小值 ,无最大值. (2)证明见解析 【分析】(1)当 时,易求函数 的导数,求出导函数的零点并判断原函数在求得零点附近的单调 性,从而确定函数极值,进一步确定函数的最值; (2)当 时,通过连续求导得出原函数 在 上的单调性,通过计算 和 的值构造函数 ,并通过求导确定其单调性,求出 在 的值域, 由此可构造不等式 ,从而得出 , ,从而得证. 【解析】(1)当 时, , , 易知 在上 单调递增. 因为 ,所以当 时, ,当 时, , 所以 在 上单调递减,在 上单调递增, 所以 有最小值 ,无最大值. (2)证明: .令 ,则 , 所以 在 上单调递增. 又 ,所以当 时, ,当 时, , 所以 在 上单调递减,在 上单调递增, 即当 时, 在 上单调递减,在 上单调递增.所以 , . 令 ,则 ,当 时, ,当 时, , 所以 在 上单调递减,在 上单调递增. 因为 , ,所以当 时, , 即当 时, , 所以当 时, 且 , 即 且 , 即对任意的 , ,都有 . 【点睛】关键点点睛:(1)关键是求出函数 的导数及其零点,并判断原函数在求得零点附近的单调 性,从而确定最值; (2)关键是通过计算 和 的值构造函数 ,最终构造不等式 ,从而得出 , ,从而得证. 12.(2024·四川·模拟预测)已知函数 ( , )在点 处的切线方程为 . (1)求函数 的极值; (2)设 ( ),若 恒成立,求 的取值范围. 【答案】(1)极小值为 ,无极大值 (2)【分析】(1)根据题意结合导数的几何意义可得 ,进而利用导数判断 的单调性和极值; (2)根据题意分析可知:原题意等价于 在 内恒成立,令设 , 利用导数求 的单调性和最值,结合恒成立问题分析求解. 【解析】(1)由题 , , 由题意可得 ,解得 , 所以 , . 令 ,解得 ,令 ,解得 , 可知 在 上单调递增,在 上单调递减, 所以当 时, 有极小值,极小值为 ,无极大值. (2)由题意可知: ,且 , 整理得 ,原题意等价于 在 内恒成立, 设 ,则 , 设 ,则 . 当 时, ;当 时, , 可知 在 内单调递增,在 内单调递减, 则 ,即当 时, 恒成立, 当 时, ;当 时, ;可知 在 内单调递增,在 内单调递减,则 , 由 恒成立,可得 , 所以 的取值范围为 . 【点睛】方法点睛:两招破解不等式的恒成立问题 (1)分离参数法 第一步:将原不等式分离参数,转化为不含参数的函数的最值问题; 第二步:利用导数求该函数的最值; 第三步:根据要求得所求范围. (2)函数思想法 第一步:将不等式转化为含待求参数的函数的最值问题; 第二步:利用导数求该函数的极值; 第三步:构建不等式求解. 13.(2024·湖北武汉·模拟预测)已知函数 , .(注: 是自然对数的 底数) (1)若 无极值点,求实数 的取值范围; (2)当 时, 恒成立,求实数 的取值范围. 【答案】(1) (2) . 【分析】(1)法一,易知 ,无变号零点,考虑 后参变分离为 ,原问题等价 于 的图像与 无相交交点;法二,构建 ,分 , , 结合根的存在性 定理即可求解;(2)法一,式子转化为 ,即证 即可,易知 ,则 ,分 , , 讨论即可;法二,转化为 ,求 的最大值即可. 【解析】(1)(方法一)易知 ,由 无极值点可知, 无变号零点,令 (*), 显然 时,(*)无零点,此时 无极值点,满足题意; 故当(*)可变形得 , 令 ,原问题等价于 的图像与 无相交交点, 又 ,则 , , 单调递增; , , 单调递减; 又 趋于 , 趋于 ; 趋于 , 趋于 ; . 可得 的图象如图:由图可知 ,解得 , 综上, (方法二)构建 ,则 ①当 时, 当 时恒成立, 在 上单调递增, 因为 , , 所以 有一个零点,即为 的一个极值点; ②当 时, 当 时恒成立,即 无极值点; ③当 时,当 , ;当 , , 所以 在 单调递减,在 上单调递增, 故 , 若 ,则 即 . 当 时, ,当 时, , 设 , ,故 , 故 在 上为增函数, 故 , 故 , 故当 时, 有两个零点,此时 有两个极值点. 当 时, 当 时恒成立,即 无极值点; 综上所述: (2)(方法一)由 可知, , 即 , 令 ,即证 , 易知 , 则 , 若 ,即 时, 则 , , 单调递增, ,不符合题意; 若 ,即 时, 则 , , 单调递减, , , 单调递增,, , 单调递减, 又 ,故令 , 解得 ,即 , 若 ,即 时, 则 , , 单调递减, , , 单调递增, , , 单调递减, 故令 , 记 ,则 恒成立, 所以 在 上单调递减, 所以 ,即 , 即对于任意 , 恒成立, 综上所述, (方法二)①当 时,不等式恒成立,可得 ; ②当 时,可得 恒成立,设 , 则. 可设 ,可得 , 设 , , 由 ,可得 恒成立,可得 在 上单调递增, 在 上单调递增,所以 , 即 恒成立,即 在 上单调递增,所以 , 再令 ,可得 , 当 时, , 在 上单调递增; 时, , 在 上单调递减, 所以 , 所以 ,综上可得 的取值范围是 . 【点睛】思路点睛:利用导数证明不等式,可通过构造函数,结合导数求得所构造函数的单调性、极值、 最值. 14.(2024·广西贵港·模拟预测)已知函数 . (1)当 时,请判断 的极值点的个数并说明理由; (2)若 恒成立,求实数a的取值范围. 【答案】(1)有一个极值点,理由见解析 (2) 【分析】(1)先求 ,得 ,再设 ,通过对 符号的分析,得到的单调性,再判断 的解的情况,分析函数 的极值点的情况. (2)先把原不等式化成 恒成立,利用换元法,设 ,则 ,问题 转化为 恒成立.再设 ,利用(1)的结论求 的最小值. 【解析】(1)当 时, , , 所以 , 令 ,则 , 当 时, , 在 上单调递增, 又 , , 存在唯一零点 ,且 , 当 时, , 在 上单调递减, 当 时, , 在 单调递增. 有一个极小值点 ,无极大值点. (2) 恒成立, 恒成立, 恒成立. 令 ,则 , 恒成立. 设 ,由(1)可知 的最小值为 . 又 , .(﹡) 设 ,当 时, , 在 上单调递增, , , ,由(﹡)知 , ,即 . , , ,又 , a的取值范围为 . 【点睛】关键点点睛:该题第二问的关键是求函数 的最小值,由(1)得 的极小值是 ,而 的值不能准确的表示出来,所以根据 进行代入计算. 15.(2024·山东滨州·二模)定义:函数 满足对于任意不同的 ,都有 ,则称 为 上的“ 类函数”. (1)若 ,判断 是否为 上的“2类函数”; (2)若 为 上的“3类函数”,求实数a的取值范围; (3)若 为 上的“2类函数”,且 ,证明: , , . 【答案】(1) 为 上的“2类函数” (2) (3)证明见详解 【分析】(1)根据题意结合“ 类函数”定义分析判断; (2)根据题意分析可知 , 均恒成立,根据函数单调性结合 导数可知 在 内恒成立,利用参变分类结合恒成立问题分析求解;(3)分类讨论 的大小关系,根据“ 类函数”定义结合绝对值不等式分析证明. 【解析】(1)对于任意不同的 ,不妨设 ,即 , 则 , 所以 为 上的“2类函数”. (2)因为 为 上的“3类函数”, 对于任意不同的 ,不妨设 , 则 恒成立, 可得 , 即 , 均恒成立, 构建 , ,则 , 由 可知 在 内单调递增, 可知 在 内恒成立,即 在 内恒成立; 同理可得: 内恒成立; 即 在 内恒成立, 又因为 ,即 , 整理得 ,可得 , 即 在 内恒成立, 令 ,因为 在 内单调递增,则 在 内单调递增, 当 , ;当 , ;可知 , 可得 在 内恒成立, 构建 ,则 , 当 时, ;当 时, ; 可知 在 内单调递增,在 内单调递减,则 , 构建 ,则 在 内恒成立, 可知 在 内单调递减,则 ; 可得 ,所以实数a的取值范围为 . (3)(i)当 ,可得 ,符合题意; (ⅱ)当 ,因为 为 上的“2类函数”,不妨设 , ①若 ,则 ; ②若 ,则 ; 综上所述: , , . 【点睛】方法点睛:两招破解不等式的恒成立问题 (1)分离参数法 第一步:将原不等式分离参数,转化为不含参数的函数的最值问题; 第二步:利用导数求该函数的最值;第三步:根据要求得所求范围. (2)函数思想法 第一步:将不等式转化为含待求参数的函数的最值问题; 第二步:利用导数求该函数的极值; 第三步:构建不等式求解. 16.(2024·山东菏泽·模拟预测)如果三个互不相同的函数 , , 在区间 上恒 有 或 ,则称 为 与 在区间 上的“分割函 数”. (1)证明:函数 为函数 与 在 上的分割函数; (2)若函数 为函数 与 在 上的“分割函数”,求实数 的取值 范围; (3)若 ,且存在实数 ,使得函数 为函数 与 在区间 上的“分割函数”,求 的最大值. 【答案】(1)证明见解析; (2) ; (3) . 【分析】(1)根据给定的定义,利用导数证明不等式 和 恒成立即可. (2)由“分割函数”定义得 恒成立,借助导数及二次函数性质求解即得. (3)利用导数求出函数 的极值,再利用“分割函数”的定义确定 图象的切线及切 点横坐标范围,然后求出直线 被函数 图象所截弦长,利用不等式性质及导数求出最 大值即得. 【解析】(1)设 ,则 ,当 时, 在 上单调递增, 当 时, 在 单调递减,则 在 处取得极大值,即为最大值, 即 ,则当 时, ; 设 ,则 ,当 时, 在 上单调递咸, 当 时, 在 上单调递增,则 在 处取得极小值,即为最小值, 即 ,则当 时, , 于是当 时, , 所以函数 为函数 与 在 上的“分割函数”. (2)因为函数 为函数 与 在 上的“分割函数”, 则对 , 恒成立, 而 ,于是函数 在 处的切线方程为 , 因此函数 的图象在 处的切线方程也为 ,又 , 则 ,解得 , 于是 对 恒成立, 即 对 恒成立, 因此 ,解得 , 所以实数 的取值范围是 . (3)对于函数 ,当 和 时, ,当 和 时, , 则 为 的极小值点, 为极大值点, 函数 的图象如图, 由函数 为函数 与 在区间 上的“分割函数”, 得存在 ,使得直线 与函数 的图象相切, 且切点的横坐标 , 此时切线方程为 ,即 , 设直线 与 的图象交于点 , 则 消去y得 ,则 , 于是 令 ,则 ,当且仅当 时, ,所以 在 上单调递减, , 因此 的最大值为 ,所以 的最大值为 . 【点睛】关键点点睛:涉及不等式恒成立问题,将给定不等式等价转化,构造函数,利用导数探求函数单 调性、最值是解决问题的关键.