当前位置:首页>文档>1996数学三解析公众号,西米研考_27考研真题_考研数学一、二、三历年真题+考研数学资料(1994-2026)_考研数学真题(1987-2026)_考研数学历年真题(1987-2024)_考研数学三真题1987-2024

1996数学三解析公众号,西米研考_27考研真题_考研数学一、二、三历年真题+考研数学资料(1994-2026)_考研数学真题(1987-2026)_考研数学历年真题(1987-2024)_考研数学三真题1987-2024

  • 2026-04-16 09:24:14 2026-04-16 09:15:25

文档预览

1996数学三解析公众号,西米研考_27考研真题_考研数学一、二、三历年真题+考研数学资料(1994-2026)_考研数学真题(1987-2026)_考研数学历年真题(1987-2024)_考研数学三真题1987-2024
1996数学三解析公众号,西米研考_27考研真题_考研数学一、二、三历年真题+考研数学资料(1994-2026)_考研数学真题(1987-2026)_考研数学历年真题(1987-2024)_考研数学三真题1987-2024
1996数学三解析公众号,西米研考_27考研真题_考研数学一、二、三历年真题+考研数学资料(1994-2026)_考研数学真题(1987-2026)_考研数学历年真题(1987-2024)_考研数学三真题1987-2024
1996数学三解析公众号,西米研考_27考研真题_考研数学一、二、三历年真题+考研数学资料(1994-2026)_考研数学真题(1987-2026)_考研数学历年真题(1987-2024)_考研数学三真题1987-2024
1996数学三解析公众号,西米研考_27考研真题_考研数学一、二、三历年真题+考研数学资料(1994-2026)_考研数学真题(1987-2026)_考研数学历年真题(1987-2024)_考研数学三真题1987-2024
1996数学三解析公众号,西米研考_27考研真题_考研数学一、二、三历年真题+考研数学资料(1994-2026)_考研数学真题(1987-2026)_考研数学历年真题(1987-2024)_考研数学三真题1987-2024
1996数学三解析公众号,西米研考_27考研真题_考研数学一、二、三历年真题+考研数学资料(1994-2026)_考研数学真题(1987-2026)_考研数学历年真题(1987-2024)_考研数学三真题1987-2024
1996数学三解析公众号,西米研考_27考研真题_考研数学一、二、三历年真题+考研数学资料(1994-2026)_考研数学真题(1987-2026)_考研数学历年真题(1987-2024)_考研数学三真题1987-2024
1996数学三解析公众号,西米研考_27考研真题_考研数学一、二、三历年真题+考研数学资料(1994-2026)_考研数学真题(1987-2026)_考研数学历年真题(1987-2024)_考研数学三真题1987-2024
1996数学三解析公众号,西米研考_27考研真题_考研数学一、二、三历年真题+考研数学资料(1994-2026)_考研数学真题(1987-2026)_考研数学历年真题(1987-2024)_考研数学三真题1987-2024

文档信息

文档格式
pdf
文档大小
2.909 MB
文档页数
6 页
上传时间
2026-04-16 09:15:25

文档内容

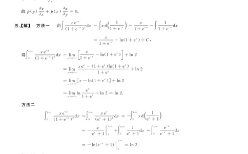
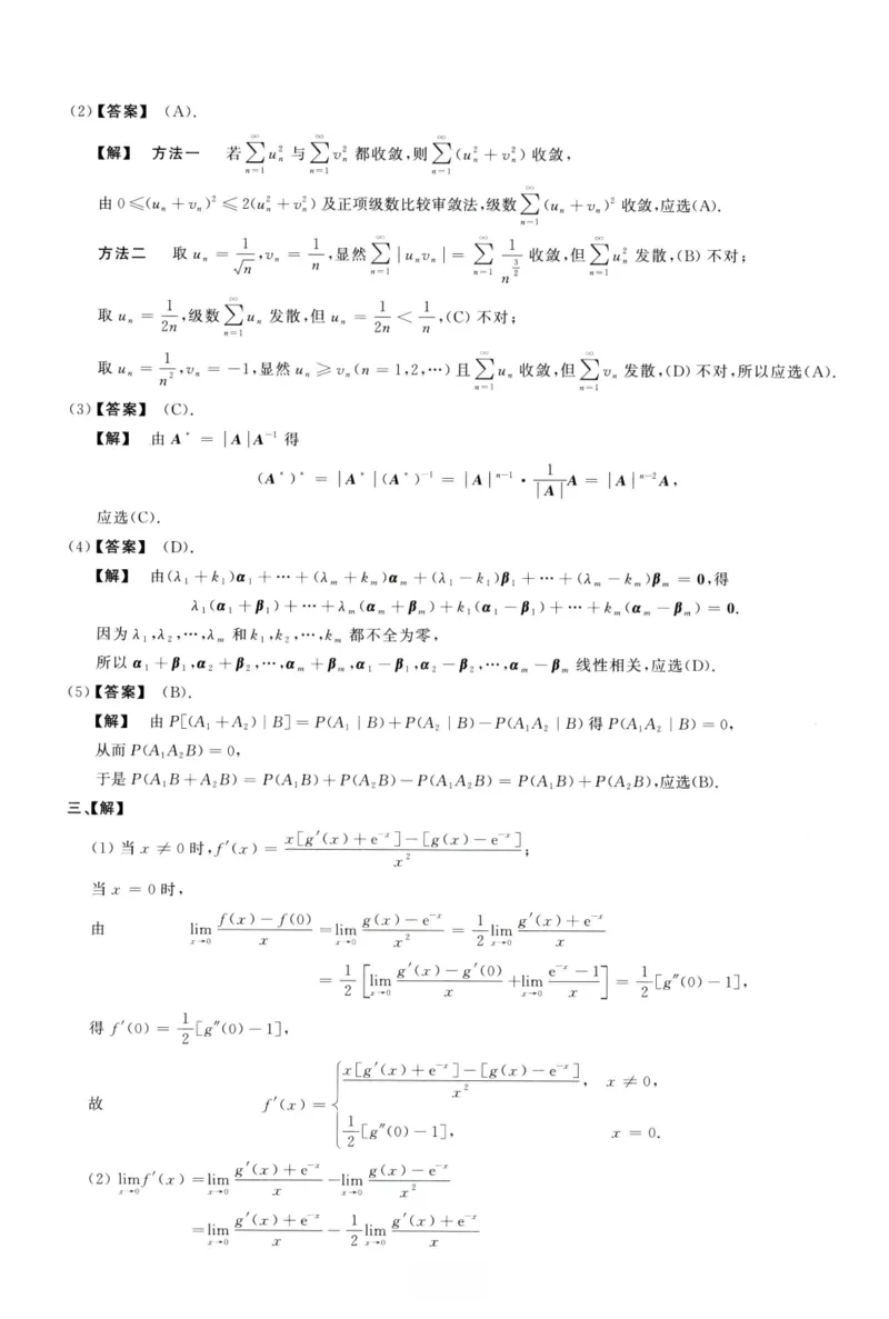
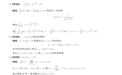
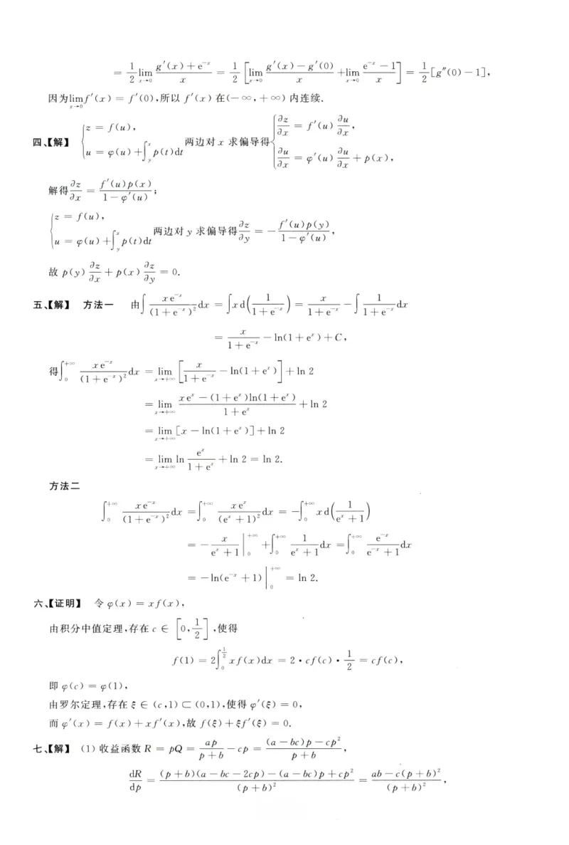
1996年数学(三)真题解析 一、填空题 (1)【答案】 -----------------djr z(l + ln y) 【解】 由工=yy得In工=y\n y ,两边对工求导得 解得警=乂(1;1“则七=工(1人异卩 1 1 (2) 【答案】 一 §(1—川严+C. 【解】\xf(工)dj: = arcsin工+ C两边对x求导得 xf ( j:)=— , — x2 解得J:=工 J \ _工2 , j \ jc ) 故] 1)dz = J工 J\ —芒 dx =----J(1 — j:2 ) 2 d(l — x2 ) =-------(1 — xz ) 2 + C・ (3) 【答案】c = ax \ ,b取任意常数. 【解】yf = 2ax + b,曲线在点(工0,夕0)的切线为 y ~ yo = (2ajcQ + b)(«r —工°), 因为该切线过原点,所以Po = +处。, 再由yQ = axl + bx0 + c得c = a式,b取任意常数. (4)【答案】(1,0,0,・・・,0)丁. 【解】|a「|= (乙一勺)工0, Di = | A | ,D2 = 0,…,D” = 0,则 z i =[- 右 =Is = 0,…,z” = 0, 故方程组人丁乂 = B的解为(l,0,0,“・,0)T. (5)【答案】(4.412,5.588). V — u 【解】 取统计量----N(0,l) ,a = 0. 05, “0.025 = 1. 96 , 丁 则参数p的置信度为0. 95的置信区间为(z — • u0.025,工+ ~~ • “0.025 ) =(4. 412,5. 588). 二、选择题 (1)【答案】(D). 【解】变换坐标系,则 应选(D).(2)【答案】(A). 【解】 方法一 若〉与〉2讷都收敛,则)收敛, ” =1 ” = 1 ” = 1 由0=(“” +“)2 £2(讷+谋)及正项级数比较审敛法,级数工(“” +v„)2收敛,应选(A). n = 1 q 1 8 OO OO 方法二 取u„ = —=—,显然艺I Unvn | = X/ ~T收敛,但工发散,(B)不对; d n " ” = i ” = i n ~2 ” = 1 取%” = J■'级数发散,但%” = ^-V丄,(C)不对; 2兀 铝 2n n 取%” = = 一 1,显然%” vn (n = 1,2,・・・)且〉2 %”收敛,但发散,(D)不对,所以应选(A). " ”=1 ”=1 (3) 【答案】(C). 【解】由A* = |A IA-1得 (A * ) • = I A • I (A * )_1 = I A I "T • -r-^-r-A = I A I , I A I 应选(C). (4) 【答案】(D). 【解】 由(小+紅)s + ••• + (入”十為)a” +(右一局)力+ ••• + (心~km)p,n = 0,得 入 1 (a】十 01)+ …+ 入”(a,” + fim ) + Q (a】—+ -■• + km(am — 0,”)= 0. 因为 A ! ,A2,••• U和 k\ ,k2 ,••• ,km 都不全为零, 所以 «] + p, ,a2 +p2,-,am +pm .a, -/?, ,a2 一庆,…,a,” -pm 线性相关,应选(D). (5) 【答案】(B). 【解】 由 P[(4 +A2) I B] = P(A, | B) + P(A2 I B) — P(4A2 | B)得 P(A,A2 | B) = 0, 从而 P(AiA2B) = 0, 于是 P(A1B+A2B) = P(A1B)+ P(A2B)-P(A1A2B) = P(A1B) + P(A2B),应选(B). 三、【解】 (1)当 z H 0 时,/•'(z)= 心 ; 3C 2 当工=0时, 由 li")T(°) limg(J)re'J =1■凹 g'Q) + 亍 o x L ° X X |riim^(j)~g/(o)+iimg— 扣〃(0)-1], L L^fO H T-*0 x 得 r(o)= *[g〃(o)—i], (工[g,(无)+ e_z ] — [g (工)—e-工] •z H 0, 故 厂(工)=) |*[g〃(0)-1], 工=0. (2) lim/"(z) =limg &)+ * -limgQ)「' x-*o x-*0 X T-»0 X i g‘ (工)+ e~x zf 0 X x£lim "士 丄 応<(°2+lim e J ~ 1 I 2 —o X I X—0 X x-*o X 1], 因为lim// (z) = /'(0)9所以厂(工)在(一00 i + °°)内连续. x-*0 du lz = /(%), /(u) a? 四、【解】 仔 两边对工求偏导得 U 卩(u)+ J y pCt)dt (pf (u) J+ 心), ox 解得我=「)((;) OX 1 — cp lu) z = /(%), "+J 曲)畀边对『求偏导碣一泊册 u J y 3 n 3 z 故 P(y)二 + pQ)子=0. dx oy x e 1 X 五、【解】 方法一 由 - ( - l - -- + -- - e -- _ -- J - ) -d 2 x = jc d 1 + e 1 + e - JT ^-^-InCl + e^ + C, °+8 x e ^-lnd + e')! +ln 2 得 djf lim ., 0 (l + e_x)2 -*+°° I_1 + 2 =•咕rf+8 竺二吐摯土 十]沁 l + ex lim \_jc — ln(l + eJ )] + In 2 ex = lim In-------- + In 2 = In 2. 工-*+°° 1 + 方法二 *+°° x e =r C+°o 1 9 Ajc 卡沖 — jc d 0 (l + e_J)2 J o eJ +1 X +°° r+8 + =J< ex +1 0 • o +°° -ln(e_x + 1) =In 2. o 六、【证明】令卩(z) JC f(JC)9 由积分中值定理,存在cW |0,- ,使得 2 f2 xf (x )dj? = 2 • cf (c) /(l) y = cf(c), J 0 即卩(c)=卩(1)9 由罗尔定理,存在f e (c,l) U (0,1),使得/(£)= 0, 而(p\x ) = f{jc ) + jcf\x ) »故 /(£) + f/z(f ) = 0. 七、【解】⑴收益函数“爪二殆" (d — be) p — cp2 p + b dR _ (p + 6) (a — be — 2cp ) — (a — be)p cp2 _ ab — c(p + 6)2 dp — ((pp ++6b))22 — ~{p+bY由,,dR乔 侍— 口〃 =丿la 7 b 一, &.> °c' 当° < ” < 眉_b时,誥> 0,此时单价P越大,销售收入增加; 当p>\fr~b时'篇此时销售单价p越大,销售收入减少. (2)当商品单价p = 腭 _b时,销售额最大,最大销售额是 =(Vo~ — 4bc )2. 八、【解】 dz 令U x ______ 1 ______ 厂 积分得ln(u +丿/ + 1 ) = In-----G,解得弘十丿/ + 1 =—, x JC 再由_ % + +1 =咅得况=*(手_咅),故通解为)=*(c —青) 当 *。时 1+71" 令“ =2,则“+工冀 =“+ /J寸,或—W—= 立, 工 d_z v<7TT 工 积分得 ln(w + 丿/ + 1 ) = In(— jO + lnC,解得 zz + a/zz2 + 1 = —Cz , 再由 一 % + 丿/ + ] = — 得况=(-----Cz ), 故通解为y = *(右一Cd) (C为任意常数). 九、【解】(1)令At = (° 1)加2 =『1),则A = (A* °), 0/ 2/ 、O Aj I AE - A | = | XE-A} | • | XE-A2 | = (A2 - 1)[A2 - (3/+ 2)A + 2j/ - 1], 因为A有一个特征值为3?所以(3? — 1)[3? — 3(夕+ 2) + 2夕一1] = 0,解得,=2. ‘0 1 0 0、 ‘0 1 0 O' A 0 0 O' 1 0 0 0 1 0 0 0 0 1 0 0 (2)AtA = () 0 2 1 () 0 2 1 0 0 5 4 0 0 1 2, L0 0 1 2, () 0 4 5, /5 4 令5 由 | AE — A3 | = A2 — 10A + 9 = 0 得入1 =1,入2 = 9, /I 1\ / _ ] ' 由 E — A3 t■(),得入i = 1对应的线性无关的特征向量为a】=1 、0 0/ \ 1丿 /I _ 1 \ /I 由 9_E — A 3 -- ,得入2 =9对应的线性无关的特征向量为a2 = \o 0 ' 4规范化得 r2 1 0 0 0 0 1 0 0 1 0 0 0 0 1 0 0 故所求的矩阵p = 0 0 ,且(AP)T(AP) = Pt(AtA)P 0 0 I 0 .0 0 0 9 0 0 十、【证明】 因为aI ,a2, •,at为基础解系9所以cc 1 2 9••• «ct,线性无关, 令 k()p k} (p + a 1) + 怡2(0 + a 2) + …+ kt (/J + a/) = 0 9 即 ift i k2u2 + …ktat + (^o + ^i + …+ 匕)0 0, 两边左乘A得(仏+局---- "A卩 0, 因为A0 H 0,所以ko + k! +…+怡 0, 从而 b ‘a、-\- k2o> 2 + …tat 0, 由a| .a2 ,•••,</,线性无关得厂=k2 0, 于是怂=0,故向量组0 ,0 + a( ,j? + a2,••• ./J 4 a(线性无关. 十一、【解】 设X表示一周内机器发生故障的次数,则 X 〜B(5,0. 2), 设一周内所获利润为Y,则 ‘10, X 二二 0, 5, X ==1, Y = < 0, X ==2, -2, 3 £ X £ 5, E(Y) = 10P{X = 0> + 5P{X = 1} — 2P{3 £ X W 5}, 由P{X = 0} =0. 85 = 0. 327 68, P{X = 1 > = 5X0.8" X 0. 2 = 0. 409 6, P{X = 2> = 10 X0. 83 X0. 22 = 0. 204 8, P{X 3} = 1-P{X = 0} - P{X = 1} - P{X = 2} = 0. 057 92, 得 E(Y) = 5. 208 96(万元). 十二、【解】 令儿={方程有实根}, A2 = {方程有重根〉, 则儿={B2 -4C 0} = {B2 4C}, A2 = {B2 -4C = 0} = {B2 = 4C}, 骰子连续扔两次的样本点总数为” =36, B,C 的可能取值为1,2,3,4,5,6, B 1 时,有利于A】 的样本点为0,有利于A2 的样本点为 0 B 2 时,有利于Ai 的样本点为1,有利于人2 的样本点为 1; B 3 时,有利于A】 的样本点为2,有利于人2 的样本点为 0 B 4 时,有利于人 的样本点为4,有利于人2 的样本点为 1; B 5 时,有利于人 的样本点为6,有利于A? 的样本点为 0 B 6 时,有利于A】 的样本点为6,有利于A? 的样本点为0, 0+1 十 2 + 4 + 6 + 6 19 1 + 1 1 故P 36 36' 9 = "ST = IS'十三、【证明】 由X|,X2,…,X”独立同分布,得独立同分布, 由 E(Xf) = a2, D(Xj) = E(X:) —[E(X:)] 2 = s 一 a行得 q __ 2 E (Z”)=—工 E (X ■ ) = ^29 D (Z“)=---------- Z” — a2 由中心极限定理,U 近似服从标准正态分布, I » / _ 2 故近似服从正态分布N仏,屮