当前位置:首页>文档>2020数学三解析公众号,西米研考_27考研真题_考研数学一、二、三历年真题+考研数学资料(1994-2026)_考研数学真题(1987-2026)_考研数学历年真题(1987-2024)_考研数学三真题1987-2024

2020数学三解析公众号,西米研考_27考研真题_考研数学一、二、三历年真题+考研数学资料(1994-2026)_考研数学真题(1987-2026)_考研数学历年真题(1987-2024)_考研数学三真题1987-2024

  • 2026-04-16 18:08:44 2026-04-16 13:55:34

文档预览

2020数学三解析公众号,西米研考_27考研真题_考研数学一、二、三历年真题+考研数学资料(1994-2026)_考研数学真题(1987-2026)_考研数学历年真题(1987-2024)_考研数学三真题1987-2024
2020数学三解析公众号,西米研考_27考研真题_考研数学一、二、三历年真题+考研数学资料(1994-2026)_考研数学真题(1987-2026)_考研数学历年真题(1987-2024)_考研数学三真题1987-2024
2020数学三解析公众号,西米研考_27考研真题_考研数学一、二、三历年真题+考研数学资料(1994-2026)_考研数学真题(1987-2026)_考研数学历年真题(1987-2024)_考研数学三真题1987-2024
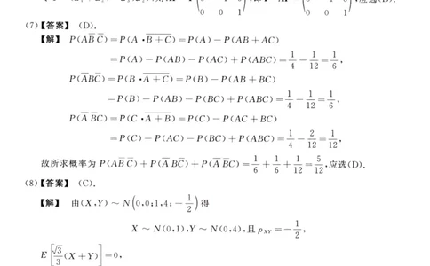
2020数学三解析公众号,西米研考_27考研真题_考研数学一、二、三历年真题+考研数学资料(1994-2026)_考研数学真题(1987-2026)_考研数学历年真题(1987-2024)_考研数学三真题1987-2024
2020数学三解析公众号,西米研考_27考研真题_考研数学一、二、三历年真题+考研数学资料(1994-2026)_考研数学真题(1987-2026)_考研数学历年真题(1987-2024)_考研数学三真题1987-2024
2020数学三解析公众号,西米研考_27考研真题_考研数学一、二、三历年真题+考研数学资料(1994-2026)_考研数学真题(1987-2026)_考研数学历年真题(1987-2024)_考研数学三真题1987-2024
2020数学三解析公众号,西米研考_27考研真题_考研数学一、二、三历年真题+考研数学资料(1994-2026)_考研数学真题(1987-2026)_考研数学历年真题(1987-2024)_考研数学三真题1987-2024
2020数学三解析公众号,西米研考_27考研真题_考研数学一、二、三历年真题+考研数学资料(1994-2026)_考研数学真题(1987-2026)_考研数学历年真题(1987-2024)_考研数学三真题1987-2024
2020数学三解析公众号,西米研考_27考研真题_考研数学一、二、三历年真题+考研数学资料(1994-2026)_考研数学真题(1987-2026)_考研数学历年真题(1987-2024)_考研数学三真题1987-2024
2020数学三解析公众号,西米研考_27考研真题_考研数学一、二、三历年真题+考研数学资料(1994-2026)_考研数学真题(1987-2026)_考研数学历年真题(1987-2024)_考研数学三真题1987-2024
2020数学三解析公众号,西米研考_27考研真题_考研数学一、二、三历年真题+考研数学资料(1994-2026)_考研数学真题(1987-2026)_考研数学历年真题(1987-2024)_考研数学三真题1987-2024
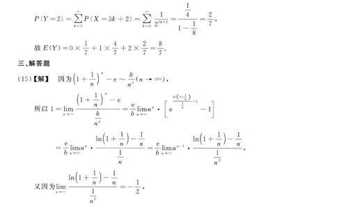
2020数学三解析公众号,西米研考_27考研真题_考研数学一、二、三历年真题+考研数学资料(1994-2026)_考研数学真题(1987-2026)_考研数学历年真题(1987-2024)_考研数学三真题1987-2024
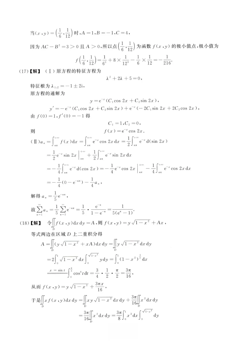
2020数学三解析公众号,西米研考_27考研真题_考研数学一、二、三历年真题+考研数学资料(1994-2026)_考研数学真题(1987-2026)_考研数学历年真题(1987-2024)_考研数学三真题1987-2024

文档信息

文档格式
pdf
文档大小
4.756 MB
文档页数
9 页
上传时间
2026-04-16 13:55:34

文档内容

2020年数学(三)真题解析 一、选择题 (1) 【答案】(B). 【解】 由lim ---- =b得lim/Crr ) =<2 ,又 工〜a 工十a JC CL sin ) — sin a — cos g • [/"(J—a],其中 W 介于 f (x)与 a 之间, 贝虹血si") —血a =皿遇$ .心)一。=6cos a,应选(E). •*r- a X Cl x^a X, CL (2) 【答案】(C). 【解】 显然工=—l,z = 0,z =1,h = 2为/(jt )的间断点, 由lim fa )= —00得z= — l为第二类间断点; X*~- 1 ] ]n( 1 + ) ] 由lim/Xz) = lim------- •—;------=——得x =0为第一类间断点中的可去间断点; x—o x->o x 一 Z e 一 1 Ze 由/(I + 0) = —OO得攵=1为第二类间断点; 由Iim/(J?) =00得鼻=2为第二类间断点,应选(C). ■Z f 2 (3) 【答案】(A). 【解】 因为于(工)为奇函数,所以十(工)为偶函数, 又因为cos y(/)+ /'(/)为偶函数,所以[[cos /■(/)+ y'(t)]d/为奇函数,应选(A). J 0 方法点评:关于函数、函数的导数、函数的原函数奇偶性之间的关系如下: (1) 设/•©)可导且为奇函数(或偶函数),则_f'Q)为偶函数(或奇函数); (2) 设yCr)为奇函数,则fd 的任何一个原函数都是偶函数; (3) 若/'(e)为偶函数,则f O 的原函数不一定是奇函数,但F(z)= [ f(t)dt 一定为 J 0 奇函数. (4) 【答案】(B). 【解】 由工力”(工一2)"的收敛区间为(一2,6)得其收敛半径为R =4, n = 1 再由(工+1)"的收敛半径与 —2)"相同得工a”Q +1)"的收敛半径为 n=1 n=1 n=1 R =4,从而工a”(z+l)2"的收敛半径为R。=2,故 »”(工+1)2"的收敛区间为 n=l n=l —2 Vh +1 V 2,即(一3,1),应选(E). (5)【答案】(C). a 11 a 12 a 13 a 14 a 21 a 22 a 23 a 24 【解】令人= a 31 a 32 a 33 a 34 041 a 42 a 43 a 44,a 11 a 13 a 14 严 21 a 23 ^24 因为A】? HO,所以 a 3i a 33 a 34 可逆,从而 a 21 a 23 a 24 的秩为3,即«1?«3,«4线性 a 3i a 33 a 34 Si S3 Q44 0 41 a 43 Q 44 无关,应选(C). (6)【答案】(D). 【解】 由 Aa =: ua \ 9, AAcat 22 , Aa a 得 1 1 ~~ a 2 3 3 A (a! + a2)=a! + a2 (— a3) = — (— a3) ,Aa2 =a2, I1 I1 0 0\ 0 0\ 令 P = (a! +a2, —a3 ,a2),则 AP =P 0 -1 0 ,即 pT"= 0 -1 0 ,应选(D) '0 J '0 0 1Z 0 (7)【答案】(D). 【解】PCABC) =P(A ・B +C) =P(A) -P(AB +AC) = P(A) — P(AE) -P(AC) +P(ABC)=丄 1 1 4 12 P(ABC) -P(B ・A+C) =P(B)—P(AB+BC) 1 _ 1 = P(B) —P(AB) —P(BC) +P(ABC)=— 4 12 __6 PCABC) =P(C -A +B) =P(C) -P(AC 4-BC) 1 2 1 =P CC) - P (AC) - P (BC) P CABC) - — - — = — , 4 12 12 ----- —— ------ 1 i 1 r 故所求概率为PCABO+PCA BC)+PCA BC) = 士 + 士 +為=爲,应选(D). 6 6 12 12 (8)【答案】(C). 【解】 由(X,Y) N(0,0;l,4;—)得 X 〜N(0,l),Y 〜N(0,4),且 “丫= — E (X +Y) =0, D (X+Y) =y[D(X) +D(Y) +2Cov(X,Y)] =—(1 + 4 + 2 (X) • VD (Y) • pxy)= 19 Cov(x,y(x+Y))= y [Cov(X,X)+Cov(X,Y)] =y [D(x)+0, 应选(C).二、选择题 (9)【答案】 (7t — l)djr — dy. dz y + cos(h + y ) dz X + cos(z + y) 【解】 3x 1 + [工夕 + sin(z + y )丁 1 + [工歹 + sin(_r + y) 了 则J —Tt — L dz = — 19 故血 | (0,K) =(it 一 1)djr 一 dy. OX (0,7t) dy (o, ?t) (10)【答案】 y =g — 1. 【解】工. + y + e2xy =0两边对r求导得 1 + + 2/" • (jy + 尢 =0, ax \ 将工= 0,y= — 1代入得学 =1, 0 故切线方程为 夕 + 1=(工一0),艮卩 y =x — 1. (11)[答案】& 【解】 收益函数为R=pQ =带号—3Q, 利润函数为L-R-C =翳号-3Q- 100 — 13Q =豊号一16Q — 100, 「一、 800(Q + 2) - 800Q “ 1600 — 16(0 + 2)' L *―厂飞------- I"——' (Q + 2)2 令 L'(Q) =0 得 Q =8, 因为当 Q < 8 时,L'(Q) > 0;当 Q > 8 时,L'(Q) V 0, 故当产量Q=8时,利润最大. (12)【答案】TV ln2 — 【解】所求的体积为 ■1 V = Tt 2 x\ Ay + 7t 丄 Z : dy = TT 2 4j/2dj/ + djy 0 4 丄 1 + 7T (in 2---- =7T In 2 — =— 3 TC • 3 (13)[答案】a4 —4a2 ・ a 0 —1 1 1 0 -1 a 1 0 —1 a 0 a 1 -1 —1 a 1 0 0 a 0 a 【解】 -1 1 a 0 0 1 a -1 0 1 a — 1 1 _ 1 0 a a _ 1 0 1 0 -1 a 1 — a2 a 0 a 1 0 1 1 a -1 =—a 1 a _ 1 1 2 -1 a 1 — a -1 a 1 -a2 1 0 1 =一 a 0 a -2 = — 4/ +a4 0 a 2 — ao (14)【答案】〒• 【解】Y的可能取值为0,1,2, 丄 P{Y = 0} = £p{X=3S = £ 占 1 T 7 k=\ k=l 厶 1 s 1_ 7 1 P{Y = l} =》P{X=3b + l} =》 7 23&+1 k = 0 0 丄 T P{Y = 2} =》P{X=3b+2} =》 1 2 怡+ 7 2 3 2 k = 0 k = 0 i——~ 8 1 4 9 8 故 E(Y)=0Xy + lXy + 2Xy = 7 三、解答题 b (15)【解】因为 —e ("f OO), n 3) 1 ----- —e n 所以1 = lim =Y-limna • e -1 b b “f8 n ln(l + 丄 1 ln(1 + 7) 1 \ n 7? e n —=—lim?2at —1 b n*°°- 1 b ”-*8 1 n ~n~2 g) 1 n 1 又因为lim 1 2 ~n2 p 所以1=一冇丘111"「 1 L.V n*°°- e 故「If—曲i解得。i心 T 丄 x '•Z = 0 , (16)【解】由 得 24y2 —工=0 y=0. 1 12 空=6°, 32f _ [ m=48), 2 3x dy ——1 9 当(z,;y) =(090)时 J = 0 ,B = — 1 ,C = 0, 因为AC-B2 VO,所以点(0,0)不是函数的极值点当(工 9夕)=(_ 9 _ )时 9A = 1 = — 1 C = 4 ? \ b 1Z / 因为AC-B2 =3 > 0且A〉0,所以点(*, 言 为函数fCx,y)的极小值点,极小值为 ”丄丄 = £ + 8X古_存岂 2116 八 6 <12 (17)[解】(I )原方程的特征方程为 A2 + 2A + 5 0, 特征根为心.2= —1 士 2i, 原方程的通解为 y = e~x (Ci cos 2力 + C2 sin 2工)9 yf = — e_J (C] cos + C2 sin 2x ) + e,(— 2C)sin 2 由 0E -B P 2 得 、0 0 / 矩阵B的属于入1 =0的特征向量为为=(2】); 由 5E-B = ( 1 _2)-> f1 _2)得 \一2 4 / \0 0 ' 矩阵B的属于入2 =5的特征向量为比=(), 令©卡] ( /— 2 12]\) '则。磁严(/0 0 0 5 \)' 由 Q『AQ1 =Q;BQ2 B = Q2QiAQiQ; 9 所求的正交矩阵为一00=耳 1 /2 ] — 2 1 \ ) ・ 1 貝 /— 2 1 2 1 \ ) =胃 1 /— 3 4 J 3 \ ' (21) [解】(I )方法一(反证法) 设P不可逆,则a,Aa线性相关,即a,Aa成比例, 于是 a —kAa 或 Aa =la , 因为a不是A的特征向量,所以Aa =/a不成立; 若a = kAa,因为a为非零向量,所以怡H0,于是Aa = —a,矛盾, k 故a,Aa线性无关,即P可逆. 方法二(反证法) 设P不可逆,即a ,Aa线性相关,则存在不全为零的常数klfk2,使得 Q a + k2Aa = 0, 显然k2 H 0,因为若k2 =0,则紅a=0,由aHO得厂=0,矛盾,故匕H 0. 由紅a + k2Aa = 0得Aa = — —,矛盾,故P可逆. k 2 /0 6 \ (H )由 AP =A (a ,Aa ) = (Aa ,A2a ) = (Aa ,6a — Aa ) =P ( )得 \ ] 1 / P 1 I]/° _6] )\ • 入 _ 6 由| AE — A | = =(入+ 3)(入一2),得A的特征值为一3:2, -1 A +1 /_ 3 0 \ 故A相似于对角矩阵(° (22) 【解】(I )(X,Y)的联合概率密度为 [―,(z ) C D , fCx,y) =S 兀 [o, (z ) @ D ,(Zi ,Z2)的可能取值为(0,0),(0,1),(1,0),(1,1), p{Zj = o,z2 = 0} =p{x -y< o,x + y < o} =p{x 0} =P{X w Y,X >—Y} =*, P{Z1 =1,Z2 =0} =P{X—Y> 0,X+YW0} =P{X>Y,X <-¥} =0, p{z1=i,z2-i}=p{x-y>o,x+y>o}=p{x > y,x >—y} = 故(Z19Z2)的联合分布律为 Z2 Z| p>. 0 1 0 1 1 3 4 2 4 1 1 1 0 4 4 p; — 1 3 1 4 4 1 /° \ (H )由Zi〜 3 1 得 E(Z])=土,E⑵)= 7 1 陀)=诃 ? ' 4 4 / 由 Z2 〜 丄 ?得 E(Z2)=#,E(Z:)=¥,D(Z2)=^, 't ] /0 1 \ 由乙乙〜h 丄得E(Z]Z2) =t, 则Z],Z2的相关系数为 2 丄_ .員 Cov(Zi ,Z2) 4 4 4 1 Pz'Z2 丿D(ZQ - 7D(Z2) _ 遁.遁 "3 T * T (23)【解】(I )P{T〉/ } =1 — P{T w / } =1 — F&) =「G) P {T >s,T >s+t} P{T > s+t} P{T > s+t | T> s}= P{T >5} P{T > s} _ 1 - P {T < 5 + 门 e-(护)” s'" ($+/〉加 1 -P{T 5} (n)r的概率密度为 (I) “)=F'(/)=」Om 6 ,t > 0, [0, 其他,似然函数为 一厂 L(e)= mn6-mnCt}t2-tnr~1e i=1 *,其中 S >0,i2 >0,•••,?„ >0, 取对数 In L(0) = n In m — mn In 9 + (m — 1)In — 0 mt?, 1=1 :=1 令L(0)=—竽+加-s+i> =0得 de/ (J ; = 1 故e的最大似然估计值为e =