当前位置:首页>文档>九上物理第十二单元测试基础卷(考试版A4)_9上-初中物理苏科版(4)_03习题试卷_单元测试(齐全)_第十二章机械能和内能(单元测试·基础卷)物理苏科版2024九年级上册

九上物理第十二单元测试基础卷(考试版A4)_9上-初中物理苏科版(4)_03习题试卷_单元测试(齐全)_第十二章机械能和内能(单元测试·基础卷)物理苏科版2024九年级上册

  • 2026-04-22 16:20:26 2026-04-22 16:20:26

文档预览

九上物理第十二单元测试基础卷(考试版A4)_9上-初中物理苏科版(4)_03习题试卷_单元测试(齐全)_第十二章机械能和内能(单元测试·基础卷)物理苏科版2024九年级上册
九上物理第十二单元测试基础卷(考试版A4)_9上-初中物理苏科版(4)_03习题试卷_单元测试(齐全)_第十二章机械能和内能(单元测试·基础卷)物理苏科版2024九年级上册
九上物理第十二单元测试基础卷(考试版A4)_9上-初中物理苏科版(4)_03习题试卷_单元测试(齐全)_第十二章机械能和内能(单元测试·基础卷)物理苏科版2024九年级上册
九上物理第十二单元测试基础卷(考试版A4)_9上-初中物理苏科版(4)_03习题试卷_单元测试(齐全)_第十二章机械能和内能(单元测试·基础卷)物理苏科版2024九年级上册
九上物理第十二单元测试基础卷(考试版A4)_9上-初中物理苏科版(4)_03习题试卷_单元测试(齐全)_第十二章机械能和内能(单元测试·基础卷)物理苏科版2024九年级上册
九上物理第十二单元测试基础卷(考试版A4)_9上-初中物理苏科版(4)_03习题试卷_单元测试(齐全)_第十二章机械能和内能(单元测试·基础卷)物理苏科版2024九年级上册
九上物理第十二单元测试基础卷(考试版A4)_9上-初中物理苏科版(4)_03习题试卷_单元测试(齐全)_第十二章机械能和内能(单元测试·基础卷)物理苏科版2024九年级上册
九上物理第十二单元测试基础卷(考试版A4)_9上-初中物理苏科版(4)_03习题试卷_单元测试(齐全)_第十二章机械能和内能(单元测试·基础卷)物理苏科版2024九年级上册
九上物理第十二单元测试基础卷(考试版A4)_9上-初中物理苏科版(4)_03习题试卷_单元测试(齐全)_第十二章机械能和内能(单元测试·基础卷)物理苏科版2024九年级上册
九上物理第十二单元测试基础卷(考试版A4)_9上-初中物理苏科版(4)_03习题试卷_单元测试(齐全)_第十二章机械能和内能(单元测试·基础卷)物理苏科版2024九年级上册
九上物理第十二单元测试基础卷(考试版A4)_9上-初中物理苏科版(4)_03习题试卷_单元测试(齐全)_第十二章机械能和内能(单元测试·基础卷)物理苏科版2024九年级上册
九上物理第十二单元测试基础卷(考试版A4)_9上-初中物理苏科版(4)_03习题试卷_单元测试(齐全)_第十二章机械能和内能(单元测试·基础卷)物理苏科版2024九年级上册
九上物理第十二单元测试基础卷(考试版A4)_9上-初中物理苏科版(4)_03习题试卷_单元测试(齐全)_第十二章机械能和内能(单元测试·基础卷)物理苏科版2024九年级上册

文档信息

文档格式
docx
文档大小
8.745 MB
文档页数
9 页
上传时间
2026-04-22 16:20:26

文档内容

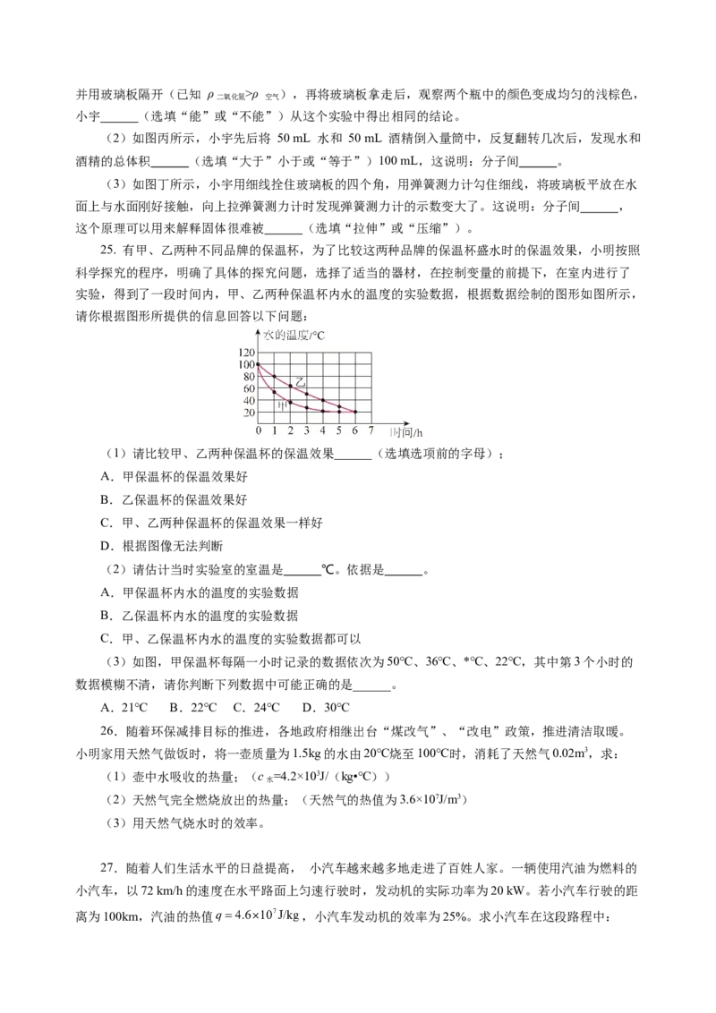
2025-2026 学年九年级上册物理单元检测卷 第十二单元 基础卷 建议用时:90分钟,满分:100分 一、选择题 (每题2分,共24分,每小题给出的四个选项中只有一个正确) 1.如图所示,2025年5月3日,陈芋汐在跳水世界杯女子10米台的比赛中,以出色的成绩获得 冠军。她在空中加速下落的过程中( ) A.动能不变 B.动能变大 C.重力势能变大 D.机械能变大 2. 在试管内装些水,用橡胶塞塞住管口,将水加热一段时间,橡胶塞被推出,管口出现大量“白 气”,如图所示。下列说法正确的是( ) A.水变热的过程,其内能是通过做功的方式改变的 B.橡胶塞被推出的过程中,水的内能全部转化为塞子的机械能 C.水蒸气推出橡胶塞的过程中,水蒸气的内能减小 D.管口出现的“白气”是试管内的水直接汽化形成的 3. 下列事例中,利用水的比热容大这一特性的是( ) A.在北方冬天,菜窖里放几桶水可以防止菜被冻坏 B.发热病人用沾水的湿毛巾擦身降温 C.汽车的发动机用水降温 D.长期不下雨时,环卫部门会在马路上进行撒水和喷水 4.低空经济时代已经正式拉开序幕。如图为正在运输货物的无人机,下列关于无人机运输货物时 的说法正确的是( )A.无人机上升过程中,货物的重力势能可能减小 B.无人机在某一高度悬停时,货物的机械能一定为零 C.无人机水平匀速飞行时,货物的机械能保持不变 D.无人机下降过程中,货物的动能一定增大 5. 扬州“运河十二景”之一的瓜洲古渡公园内铸有一镇水铁牛,造型生动,体格威武,与两侧江 水相映生辉,下列说法正确的是( ) A.春光明媚,铁牛表面因做功温度升高 B.炎炎夏日,铁牛升温比江水快 C.秋风萧瑟,铁牛含有的热量变小 D.凛冽寒冬,铁牛内能可能等于零 6. 如图是单缸四冲程汽油机工作循环中的一个冲程,它是( ) A.吸气冲程 B.压缩冲程 C.做功冲程 D.排气冲程 7. 如图所示,用热水壶在天然气灶上烧水的过程中( ) A.水的温度越高,含有的热量越多 B.通过热传递的方式改变水的内能 C.“白气”是从壶嘴冒出的水蒸气 D.天然气燃烧越充分,热值越大 8.运载火箭采用液态氢作为火箭的燃料,原因是液态氢具有( ) A.较大的热值 B.较低的沸点 C.较大的比热容 D.较高的凝固点 9. 古代原始人在生活中学会了钻木取火.以下四个事例中能量转化与之相同的是( )A.甲、丙 B.甲、丁 C.乙、丙 D.乙、丁 10.2024年4月20日,我国研制的全球首款本体热效率达53.09%的柴油机正式亮相世界内燃机大 会,刷新了柴油机热效率的世界纪录。下列有关内燃机的说法中正确的是( ) A.随着技术越来越先进,内燃机的效率可以达到100% B.汽油机在做功冲程中将内能转化为机械能 C.尾气的柴油味越浓说明柴油燃烧越充分 D.用水作为发动机的冷却液,主要原因是水的流动性好,容易发生热交换 11. 如图所示是一个香薰炉,点燃炉内蜡烛加热香薰液,一会儿,房间内充满了香气。对该过程分 析正确的是( ) A.蜡烛燃烧将内能转化为化学能 B.加热香薰液使其热量增大 C.炉内蜡烛加热香薰液减慢了分子热运动 D.香气弥漫是扩散现象 12.如图所示,从A点沿水平桌面自由滚落的小球运动轨迹如虚线所示,C、F两处等高,D为球 与水平地面的接触点。关于小球下列说法正确的是( ) A.小球在C点的动能等于在F点的动能 B.小球在C点的动能大于在F点的动能 C.小球从B点到E点的过程中,机械能不变 D.小球在E点动能为零 二、填空题(每空1分,共30分) 13.用如图装置探究不同物质吸热升温的现象。将相等质量的沙子和水分别装入瓷盘中,用温度计测出它们的初始 ,用红外灯均匀照射两个瓷盘。红外热成像仪显示出沙子升温比水快。由此 推得,质量相等的沙子和水,升高相同的温度, 吸收的热量多。 14. 如图所示是一台单缸四冲程汽油机的某一冲程,该冲程发生的能量转化是 能转化为 能。若它每秒对外做功20次,则该汽油机的飞轮转速为 r/min。若该汽油机的效率为30%,完 全燃烧10kg汽油放出的热量可以对外做功 J。(汽油的热值为4.6×107J/ kg) 15. 比热容是物质的一种属性,一些物质的比热容见下表: 物质 水 煤油 砂石 比热容c/J(kg·℃)-1 4.2×103 2.4×103 0.92×103 1kg的砂石温度升高1℃,需吸收 J的热量。相同质量的水和砂石,若吸收或放出同样多热 量,温度变化较大的是 ,据此可解释在沿海地区,白天的风通常从 (选填“大海吹向陆 地”或“陆地吹向大海”)。 16. 如图所示是运动员松手将箭射出的图片。射箭比赛使用的弓和弓弦要具有很好的 ,箭 的箭头要具有很强的 (填物理属性)。通过此图片说明发生弹性形变的弓弦具有 能。 17. 在盛有冷水和热水的两个烧杯中各滴入一滴红墨水,发现 水中的墨水扩散得快,由此可 说明分子热运动的剧烈程度与 有关,物体内所有分子的动能的总和随温度的升高而 (增 大/不变/减小)。18. 如图所示是一款3D打印笔。在打印笔中装入塑料条,接通电源加热一段时间后即可挤出热熔 的胶条,胶条在空气中迅速冷却变成特定的形态。加热时,会闻到熔胶的气味是一种 现象。温 度越高,气味越浓烈,是因为温度越高,分子 ,胶条被挤出后可以“粘”在一起,说明分子 间存在 。 19.如图甲所示,将热汤放在冷水中,图乙反映了两者的温度变化,其中图线 (选填“a” 或“b”)反映了冷水的温度变化情况,由图乙 (选填“能”或“不能”)判断水的比热容比热 汤的比热容大,理由是 。 20. 如图所示是同学们在体育课进行实心球投掷训练,A→B表示实心球离开手之前的运动轨迹, B→C→D表示实心球离开手之后的运动轨迹,空气阻力忽略不计。则在 过程(选填 “A→B”、“B→C”或“C→D”)人对球做了功;实心球到达最高点C时,它将处于 (选填 “平衡”或“非平衡”)状态;B→C→D过程实心球的动能 ,机械能 。(后两空填能 的变化情况) 21. 明朝时期,万户利用火药制作了一个由47支火箭推动的装置,如图甲,进行了“飞天”尝试, 成为人类飞行史的先驱。(1)万户的火箭原理与现代火箭发动机相似,通过点燃火药产生的高温气体从后端喷出,从而获 得前进的动力,此过程把燃料燃烧的内能转化为 箭的 能,此过程类似于内燃机的 冲程; (2)如图乙所示是现代液体火箭喷气发动机的工作原理图。火箭发射时选用液态氢作燃料是因为 氢具有较大的 ,火箭喷气发动机 (能/不能)在月球表面工作; (3)在火箭发射架下方的池子里储存大量的水,原因是水的 大,汽化时能吸收较多的热量, 保护火箭发射架不被高温毁坏。 三、解答题(共46分。26、27题每题8分,其余每空1分。计算题第26、27题要求写出必要的文 字说明、公式和演算过程) 22. 如图所示,物理实验小组“探究影响动能大小的因素”,虚线位置为木块滑动一段距离后停止 的位置。 (1)实验所探究的是 (选填“木块”或“钢球”)的动能,并通过观察 比较其动 能的大小。不用木块,在桌面上铺一条毛巾, (选填“可以”或“不可以”)用钢球在毛 巾表面滚动的距离来比较木块的动能大小; (2)比较甲、乙两图探究的是动能与 的关系。由甲、丙可知高速公路限速牌上标明 “120”和“100”字样, (选填“大客车”或“小轿车”)的限速应该是100km/h; (3)实验中,设碰撞前一瞬间小球的动能为E,木块滑动过程克服摩擦力所做的功为W,则E 0 0 W(>/</=); (4)若小球在图丁的光滑轨道由A点静止开始滑下,沿轨道到达B点后离开,不计空气阻力,离 开B点后最符合题意的运动轨迹是 (a/b/c/d/)。23.小明利用如图装置,完成以下两个课本实验: 实验一:探究不同物质吸热升温的现象; 实验二:比较质量相等的不同燃料燃烧放出的热量。 (1)在探究实验一时:除了图示的器材外,还需要的测量工具有 和 ;实验中 通过 来反映物质吸收的热量; (2)在探究实验二时:应选用 (选填“甲”、“乙”或“丙”)两组器材。实验中液体温 度随时间的变化如图丁所示,设实验中燃料完全燃烧、且放出的热量全部被液体吸收,则燃料1和2的 热值之比是 ; (3)关于这两个实验,下列说法正确的是______(填序号) A.燃料的质量都要相等 B.被加热液体的质量都要相等 C.都可以根据温度计上升示数得出正确结论 24. 在学习了“分子动理论”后,小宇进行了以下几个小实验。 (1)如图甲所示,小宇在一个圆柱形深筒中依次倒入蓝色的硫酸铜溶液和无色的水,放置 30 天 后,液体变为均匀的淡蓝色,这说明:分子 ;小宇想,气体之间能否发生类似的现象呢,于 是进行了如图乙所示的实验,他在上、下两个集气瓶中分别装入红棕色二氧化氮气体和透明的空气,并用玻璃板隔开(已知 ρ >ρ ),再将玻璃板拿走后,观察两个瓶中的颜色变成均匀的浅棕色, 二氧化氮 空气 小宇 (选填“能”或“不能”)从这个实验中得出相同的结论。 (2)如图丙所示,小宇先后将 50 mL 水和 50 mL 酒精倒入量筒中,反复翻转几次后,发现水和 酒精的总体积 (选填“大于”小于或“等于”)100 mL,这说明:分子间 。 (3)如图丁所示,小宇用细线拴住玻璃板的四个角,用弹簧测力计勾住细线,将玻璃板平放在水 面上与水面刚好接触,向上拉弹簧测力计时发现弹簧测力计的示数变大了。这说明:分子间 , 这个原理可以用来解释固体很难被 (选填“拉伸”或“压缩”)。 25. 有甲、乙两种不同品牌的保温杯,为了比较这两种品牌的保温杯盛水时的保温效果,小明按照 科学探究的程序,明确了具体的探究问题,选择了适当的器材,在控制变量的前提下,在室内进行了 实验,得到了一段时间内,甲、乙两种保温杯内水的温度的实验数据,根据数据绘制的图形如图所示, 请你根据图形所提供的信息回答以下问题: (1)请比较甲、乙两种保温杯的保温效果______(选填选项前的字母); A.甲保温杯的保温效果好 B.乙保温杯的保温效果好 C.甲、乙两种保温杯的保温效果一样好 D.根据图像无法判断 (2)请估计当时实验室的室温是 ℃。依据是 。 A.甲保温杯内水的温度的实验数据 B.乙保温杯内水的温度的实验数据 C.甲、乙保温杯内水的温度的实验数据都可以 (3)如图,甲保温杯每隔一小时记录的数据依次为50℃、36℃、*℃、22℃,其中第3个小时的 数据模糊不清,请你判断下列数据中可能正确的是______。 A.21℃ B.22℃ C.24℃ D.30℃ 26.随着环保减排目标的推进,各地政府相继出台“煤改气”、“改电”政策,推进清洁取暖。 小明家用天然气做饭时,将一壶质量为1.5kg的水由20℃烧至100℃时,消耗了天然气0.02m3,求: (1)壶中水吸收的热量;(c =4.2×103J/(kg•℃)) 水 (2)天然气完全燃烧放出的热量;(天然气的热值为3.6×107J/m3) (3)用天然气烧水时的效率。 27.随着人们生活水平的日益提高, 小汽车越来越多地走进了百姓人家。一辆使用汽油为燃料的 小汽车,以72 km/h的速度在水平路面上匀速行驶时,发动机的实际功率为20 kW。若小汽车行驶的距 离为100km,汽油的热值 ,小汽车发动机的效率为25%。求小汽车在这段路程中:(1)运动的时间; (2)发动机所做的功; (3)消耗汽油的质量(保留一位小数)。 28. 打气后的可乐瓶可制成“水火箭”。研究表明:水火箭射程与瓶内液体占总体积比例、瓶内气 压和瓶内液体质量等因素有关。为研究水火箭射程与瓶内液体质量的关系,某兴趣小组通过只改变液 体的密度来改变其质量,并用图甲装置和有关测量工具进行如下实验。 ①取一可乐瓶作为水火箭内胆,瓶内装入体积为V的水,将其放置在已固定好的发射架上; ②用打气筒给水火箭打气,当瓶内气压为p时,打开开关发射; ③测出水火箭的射程,多次实验取平均值; ④用食盐和水配制A、B、C三种密度不同的溶液,均取体积为V的溶液替换水,重复上述步骤 ①②③实验结果如图乙所示。 (1)打气时,瓶内气体内能 ,打开开关,水火箭发射,此过程能量转化关系类似于汽油机 中 冲程; (2)一定温度下,用足量的食盐和水配制溶液,若充分溶解后观察到有食盐沉淀在下方,则溶液 密度达到 ,在体积相同时, 也最大; (3)本实验结论:相同条件下,瓶内液体质量越 ,水火箭射程越远; (4)某同学认为本实验用相同装置,可只用水进行实验,通过改变水的体积来改变质量更方便。 该同学的观点 (正确/错误),理由: 。