当前位置:首页>文档>第21讲双曲线(教师版)_新高考复习资料_2023年新高考资料_二轮复习_备战2023年高考数学二轮复习对点题型探究重点突破(新高考专用)_第21讲双曲线

第21讲双曲线(教师版)_新高考复习资料_2023年新高考资料_二轮复习_备战2023年高考数学二轮复习对点题型探究重点突破(新高考专用)_第21讲双曲线

  • 2026-04-23 17:03:26 2026-04-23 17:03:26

文档预览

第21讲双曲线(教师版)_新高考复习资料_2023年新高考资料_二轮复习_备战2023年高考数学二轮复习对点题型探究重点突破(新高考专用)_第21讲双曲线
第21讲双曲线(教师版)_新高考复习资料_2023年新高考资料_二轮复习_备战2023年高考数学二轮复习对点题型探究重点突破(新高考专用)_第21讲双曲线
第21讲双曲线(教师版)_新高考复习资料_2023年新高考资料_二轮复习_备战2023年高考数学二轮复习对点题型探究重点突破(新高考专用)_第21讲双曲线
第21讲双曲线(教师版)_新高考复习资料_2023年新高考资料_二轮复习_备战2023年高考数学二轮复习对点题型探究重点突破(新高考专用)_第21讲双曲线
第21讲双曲线(教师版)_新高考复习资料_2023年新高考资料_二轮复习_备战2023年高考数学二轮复习对点题型探究重点突破(新高考专用)_第21讲双曲线
第21讲双曲线(教师版)_新高考复习资料_2023年新高考资料_二轮复习_备战2023年高考数学二轮复习对点题型探究重点突破(新高考专用)_第21讲双曲线
第21讲双曲线(教师版)_新高考复习资料_2023年新高考资料_二轮复习_备战2023年高考数学二轮复习对点题型探究重点突破(新高考专用)_第21讲双曲线
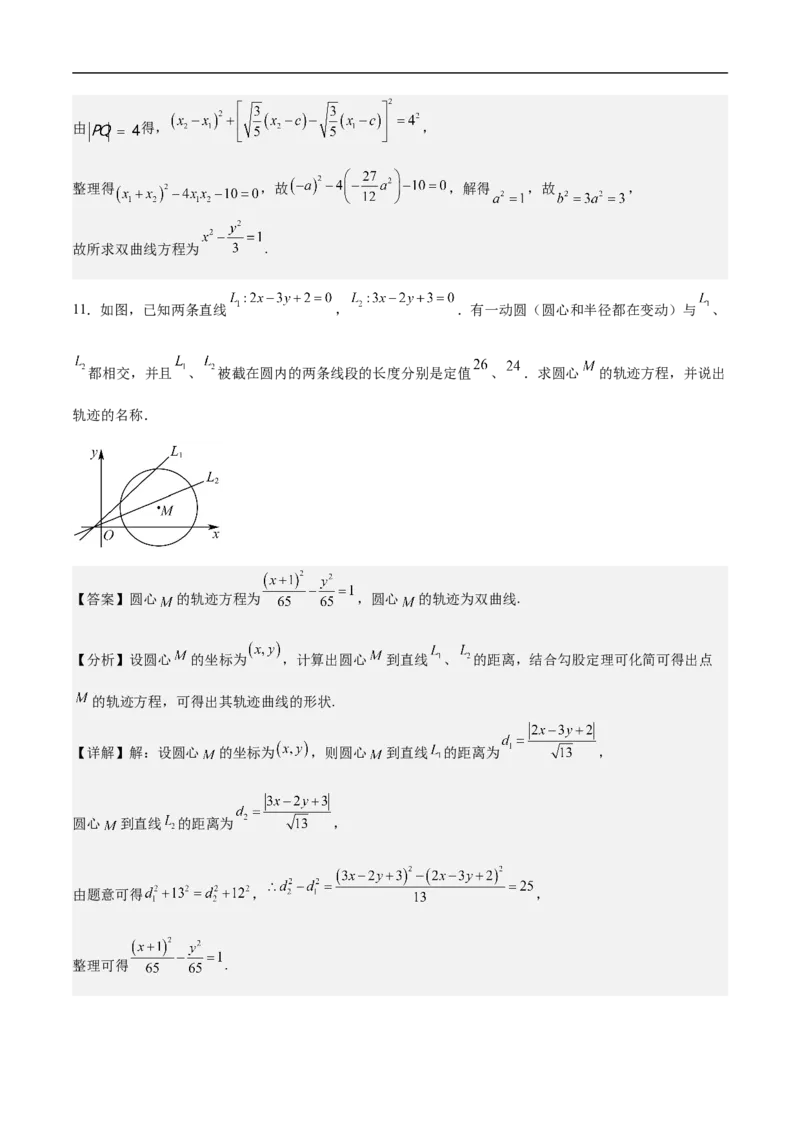
第21讲双曲线(教师版)_新高考复习资料_2023年新高考资料_二轮复习_备战2023年高考数学二轮复习对点题型探究重点突破(新高考专用)_第21讲双曲线
第21讲双曲线(教师版)_新高考复习资料_2023年新高考资料_二轮复习_备战2023年高考数学二轮复习对点题型探究重点突破(新高考专用)_第21讲双曲线
第21讲双曲线(教师版)_新高考复习资料_2023年新高考资料_二轮复习_备战2023年高考数学二轮复习对点题型探究重点突破(新高考专用)_第21讲双曲线
第21讲双曲线(教师版)_新高考复习资料_2023年新高考资料_二轮复习_备战2023年高考数学二轮复习对点题型探究重点突破(新高考专用)_第21讲双曲线
第21讲双曲线(教师版)_新高考复习资料_2023年新高考资料_二轮复习_备战2023年高考数学二轮复习对点题型探究重点突破(新高考专用)_第21讲双曲线
第21讲双曲线(教师版)_新高考复习资料_2023年新高考资料_二轮复习_备战2023年高考数学二轮复习对点题型探究重点突破(新高考专用)_第21讲双曲线
第21讲双曲线(教师版)_新高考复习资料_2023年新高考资料_二轮复习_备战2023年高考数学二轮复习对点题型探究重点突破(新高考专用)_第21讲双曲线
第21讲双曲线(教师版)_新高考复习资料_2023年新高考资料_二轮复习_备战2023年高考数学二轮复习对点题型探究重点突破(新高考专用)_第21讲双曲线
第21讲双曲线(教师版)_新高考复习资料_2023年新高考资料_二轮复习_备战2023年高考数学二轮复习对点题型探究重点突破(新高考专用)_第21讲双曲线
第21讲双曲线(教师版)_新高考复习资料_2023年新高考资料_二轮复习_备战2023年高考数学二轮复习对点题型探究重点突破(新高考专用)_第21讲双曲线
第21讲双曲线(教师版)_新高考复习资料_2023年新高考资料_二轮复习_备战2023年高考数学二轮复习对点题型探究重点突破(新高考专用)_第21讲双曲线
第21讲双曲线(教师版)_新高考复习资料_2023年新高考资料_二轮复习_备战2023年高考数学二轮复习对点题型探究重点突破(新高考专用)_第21讲双曲线
第21讲双曲线(教师版)_新高考复习资料_2023年新高考资料_二轮复习_备战2023年高考数学二轮复习对点题型探究重点突破(新高考专用)_第21讲双曲线
第21讲双曲线(教师版)_新高考复习资料_2023年新高考资料_二轮复习_备战2023年高考数学二轮复习对点题型探究重点突破(新高考专用)_第21讲双曲线
第21讲双曲线(教师版)_新高考复习资料_2023年新高考资料_二轮复习_备战2023年高考数学二轮复习对点题型探究重点突破(新高考专用)_第21讲双曲线
第21讲双曲线(教师版)_新高考复习资料_2023年新高考资料_二轮复习_备战2023年高考数学二轮复习对点题型探究重点突破(新高考专用)_第21讲双曲线
第21讲双曲线(教师版)_新高考复习资料_2023年新高考资料_二轮复习_备战2023年高考数学二轮复习对点题型探究重点突破(新高考专用)_第21讲双曲线
第21讲双曲线(教师版)_新高考复习资料_2023年新高考资料_二轮复习_备战2023年高考数学二轮复习对点题型探究重点突破(新高考专用)_第21讲双曲线
第21讲双曲线(教师版)_新高考复习资料_2023年新高考资料_二轮复习_备战2023年高考数学二轮复习对点题型探究重点突破(新高考专用)_第21讲双曲线
第21讲双曲线(教师版)_新高考复习资料_2023年新高考资料_二轮复习_备战2023年高考数学二轮复习对点题型探究重点突破(新高考专用)_第21讲双曲线
第21讲双曲线(教师版)_新高考复习资料_2023年新高考资料_二轮复习_备战2023年高考数学二轮复习对点题型探究重点突破(新高考专用)_第21讲双曲线
第21讲双曲线(教师版)_新高考复习资料_2023年新高考资料_二轮复习_备战2023年高考数学二轮复习对点题型探究重点突破(新高考专用)_第21讲双曲线
第21讲双曲线(教师版)_新高考复习资料_2023年新高考资料_二轮复习_备战2023年高考数学二轮复习对点题型探究重点突破(新高考专用)_第21讲双曲线
第21讲双曲线(教师版)_新高考复习资料_2023年新高考资料_二轮复习_备战2023年高考数学二轮复习对点题型探究重点突破(新高考专用)_第21讲双曲线
第21讲双曲线(教师版)_新高考复习资料_2023年新高考资料_二轮复习_备战2023年高考数学二轮复习对点题型探究重点突破(新高考专用)_第21讲双曲线
第21讲双曲线(教师版)_新高考复习资料_2023年新高考资料_二轮复习_备战2023年高考数学二轮复习对点题型探究重点突破(新高考专用)_第21讲双曲线
第21讲双曲线(教师版)_新高考复习资料_2023年新高考资料_二轮复习_备战2023年高考数学二轮复习对点题型探究重点突破(新高考专用)_第21讲双曲线
第21讲双曲线(教师版)_新高考复习资料_2023年新高考资料_二轮复习_备战2023年高考数学二轮复习对点题型探究重点突破(新高考专用)_第21讲双曲线
第21讲双曲线(教师版)_新高考复习资料_2023年新高考资料_二轮复习_备战2023年高考数学二轮复习对点题型探究重点突破(新高考专用)_第21讲双曲线
第21讲双曲线(教师版)_新高考复习资料_2023年新高考资料_二轮复习_备战2023年高考数学二轮复习对点题型探究重点突破(新高考专用)_第21讲双曲线
第21讲双曲线(教师版)_新高考复习资料_2023年新高考资料_二轮复习_备战2023年高考数学二轮复习对点题型探究重点突破(新高考专用)_第21讲双曲线
第21讲双曲线(教师版)_新高考复习资料_2023年新高考资料_二轮复习_备战2023年高考数学二轮复习对点题型探究重点突破(新高考专用)_第21讲双曲线
第21讲双曲线(教师版)_新高考复习资料_2023年新高考资料_二轮复习_备战2023年高考数学二轮复习对点题型探究重点突破(新高考专用)_第21讲双曲线
第21讲双曲线(教师版)_新高考复习资料_2023年新高考资料_二轮复习_备战2023年高考数学二轮复习对点题型探究重点突破(新高考专用)_第21讲双曲线
第21讲双曲线(教师版)_新高考复习资料_2023年新高考资料_二轮复习_备战2023年高考数学二轮复习对点题型探究重点突破(新高考专用)_第21讲双曲线
第21讲双曲线(教师版)_新高考复习资料_2023年新高考资料_二轮复习_备战2023年高考数学二轮复习对点题型探究重点突破(新高考专用)_第21讲双曲线
第21讲双曲线(教师版)_新高考复习资料_2023年新高考资料_二轮复习_备战2023年高考数学二轮复习对点题型探究重点突破(新高考专用)_第21讲双曲线
第21讲双曲线(教师版)_新高考复习资料_2023年新高考资料_二轮复习_备战2023年高考数学二轮复习对点题型探究重点突破(新高考专用)_第21讲双曲线
第21讲双曲线(教师版)_新高考复习资料_2023年新高考资料_二轮复习_备战2023年高考数学二轮复习对点题型探究重点突破(新高考专用)_第21讲双曲线
第21讲双曲线(教师版)_新高考复习资料_2023年新高考资料_二轮复习_备战2023年高考数学二轮复习对点题型探究重点突破(新高考专用)_第21讲双曲线
第21讲双曲线(教师版)_新高考复习资料_2023年新高考资料_二轮复习_备战2023年高考数学二轮复习对点题型探究重点突破(新高考专用)_第21讲双曲线
第21讲双曲线(教师版)_新高考复习资料_2023年新高考资料_二轮复习_备战2023年高考数学二轮复习对点题型探究重点突破(新高考专用)_第21讲双曲线
第21讲双曲线(教师版)_新高考复习资料_2023年新高考资料_二轮复习_备战2023年高考数学二轮复习对点题型探究重点突破(新高考专用)_第21讲双曲线
第21讲双曲线(教师版)_新高考复习资料_2023年新高考资料_二轮复习_备战2023年高考数学二轮复习对点题型探究重点突破(新高考专用)_第21讲双曲线

文档信息

文档格式
docx
文档大小
3.341 MB
文档页数
47 页
上传时间
2026-04-23 17:03:26

文档内容

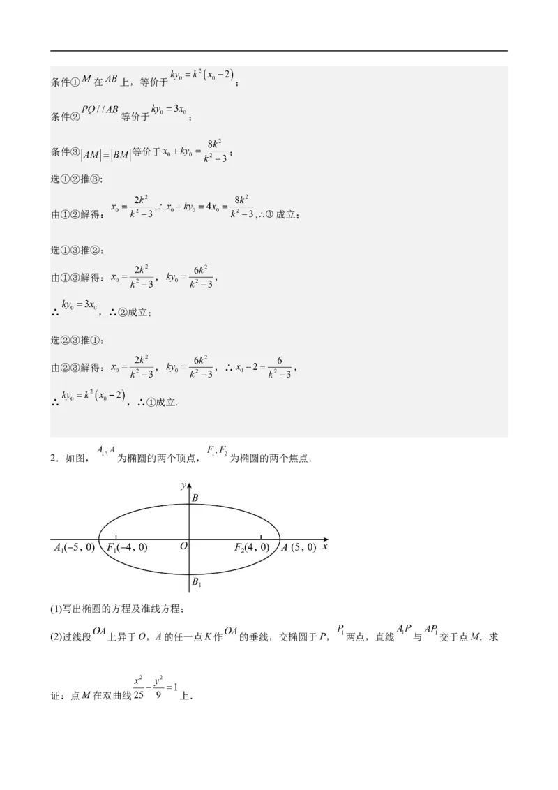
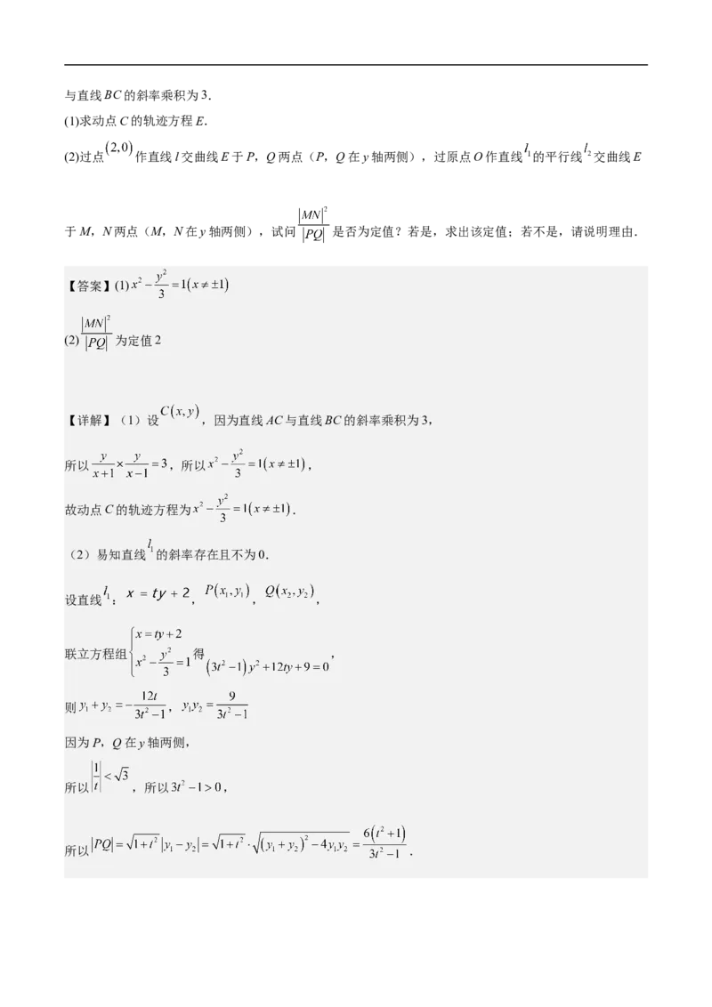
第 21 讲 双曲线 真题展示 2022 新高考一卷第 21 题 已知点 在双曲线 上,直线 交 于 , 两点,直线 , 的斜率之和为0. (1)求 的斜率; (2)若 ,求 的面积. 【思路分析】(1)将点 代入双曲线方程得 ,由题显然直线 的斜率存 在,设 ,与双曲线联立后,根据直线 , 的斜率之和为 0,求解即 可;(2)设直线 的倾斜角为 ,由 ,得 ,联立 ,及 ,根据三角形面积公式即可求解. 【解析】(1)【解法一】(常规设法):将点 代入双曲线方程得 , 化简得 , ,故双曲线方程为 , 由题显然直线 的斜率存在,设 ,设 , , , 则联立双曲线得: , 故 , , , 化简得: , 故 , 即 ,当 m+2k−1=0 时,直线 l:y=kx−2k+1 过点 A,不合题意, 舍去.,故 ; 【解法二】解法二(平移变换+齐次化): 利用坐标平移变换 将坐标原点平移到 , 设新坐标系下直线 的方程为 ,即 , 双曲线的方程为: 则化齐次联立,得 即 , 两边同时除以 ,得 , 方程的两根即为直线 的斜率, 即 ,故直线 的斜率为 . 【解法三】(齐次化): 仿法一得双曲线方程为 ,设 , ∵AP,AQ的斜率之和为0,∴ , 故将双曲线方程为 变形为: , 且设直线 , 由 式有: ,(两边同除以 ), 即 ,而 是此方程的两根。 ∴ ,故直线 斜率为−1. (2)【解法一】(计算 AP、AQ):设直线 的倾斜角为 ,则∠PAQ=2α 或 2α−π, 由 , ,得 或− , 当 时, ∵ , ,得 ,即 , 联立 ,及 得 ,代入直线 得 ,故 , 而 , 由 ,得 , 故 . 当 时,∠PAQ=2α,得 ,仿上得 , 代入直线 得 ,故 , 而 , 由 ,得 , 故 . 【解法二】法二(计算弦长和高) 设 AP 的倾斜角为 α,则 AQ 的倾斜角为 π−α, ∠PAQ=2α或2α−π, 由tan∠PAQ=2 有 ,解得 tanα= 或 (舍去,因为此时直 线 AP//双曲线渐近线,P 不存在),取 k = ,k = ,则 AP:y−1= AP AQ (x−2),AQ:y−1= (x−2), 由 有 由 有 PQ:y=−x+ ,PQ= = ,A 到 PQ 的距离 h= = ,故△PAQ 的面 积为 h= . 【解法三】(面积坐标公式):仿法二得P,Q坐标, 所以 , 故 。【试题评价】本题考查了直线与双曲线的综合,属于中档题. 知识要点整理 知识点一 双曲线的定义 1.定义:平面内与两个定点F,F 的距离的差的绝对值等于非零常数(小于|FF|)的点的轨迹. 1 2 1 2 2.定义的集合表示:{M|||MF |-|MF ||=2a,0<2a<|FF|}. 1 2 1 2 3.焦点:两个 定点 F , F . 1 2 4.焦距:两焦点间的距离,表示为|FF|. 1 2 知识点二 双曲线标准方程 焦点位置 焦点在x轴上 焦点在y轴上 图形 标准方程 -=1 ( a >0 , b >0) -=1 ( a >0 , b >0) 焦点 ( - c , 0) , ( c , 0) (0 ,- c ) , (0 , c ) a,b,c的关系 c2= a 2 + b 2 知识点三 双曲线的性质 标准方程 -=1(a>0,b>0) -=1(a>0,b>0) 图形 范围 x ≥ a 或 x ≤ - a y ≤ - a 或 y ≥ a 对称性 对称轴:坐标轴;对称中心:原点 性质 顶点坐标 A(-a,0),A(a,0) A(0,-a),A(0,a) 1 2 1 2 渐近线 y=±x y=±x 离心率 e=,e∈(1,+∞),其中c= a,b,c间的关系 c2= a 2 + b 2 (c>a>0,c>b>0)知识点四 等轴双曲线 实轴和虚轴等长的双曲线,它的渐近线方程是 y = ± x ,离心率为. 知识点五 直线与双曲线的位置关系 设直线l:y=kx+m(m≠0),① 双曲线C:-=1(a>0,b>0),② 把①代入②得(b2-a2k2)x2-2a2mkx-a2m2-a2b2=0. (1)当b2-a2k2=0,即k=±时,直线l与双曲线C的渐近线平行,直线与双曲线相交于一点. (2)当b2-a2k2≠0,即k≠±时,Δ=(-2a2mk)2-4(b2-a2k2)(-a2m2-a2b2). Δ>0⇒直线与双曲线有两个公共点; Δ=0⇒直线与双曲线有一个公共点; Δ<0⇒直线与双曲线有0 个公共点. 知识点六 弦长公式 若斜率为k(k≠0)的直线与双曲线相交于A(x,y),B(x,y)两点,则|AB|=. 1 1 2 2 试题亮点 圆锥曲线是高中数学中重要且基本的学习内容,同时也是高考考查的重点. 试题分步设问,逐步推进,注重对基本概念、基本方法的考查,考查内容由浅 入深,层次分明,重点突出,能很好地引导中学数学教学回归教材,试题对考 生的逻辑推理、直观想象等数学核心素养,以及灵活地应用解析几何的基本方 法将问题合理转化的能力有一定的要求.因此,试题不仅有利于高校选拔人才, 也有利于中学教学创新,对培养学生数学学科核心素养有积极的引导作用. 三年真题 1.已知双曲线 的右焦点为 ,渐近线方程为 . (1)求C的方程; (2)过F的直线与C的两条渐近线分别交于A,B两点,点 在C上,且 . 过P且斜率为 的直线与过Q且斜率为 的直线交于点M.从下面①②③中选取两个作为条件,证明另外一个成立: ①M在 上;② ;③ . 注:若选择不同的组合分别解答,则按第一个解答计分. 【答案】(1) (2)见解析 【详解】(1)右焦点为 ,∴ ,∵渐近线方程为 ,∴ ,∴ ,∴ ,∴ ,∴ . ∴C的方程为: ; (2)由已知得直线 的斜率存在且不为零,直线 的斜率不为零, 若选由①②推③或选由②③推①:由②成立可知直线 的斜率存在且不为零; 若选①③推②,则 为线段 的中点,假若直线 的斜率不存在,则由双曲线的对称性可知 在 轴 上,即为焦点 ,此时由对称性可知 、 关于 轴对称,与从而 ,已知不符; 总之,直线 的斜率存在且不为零. 设直线 的斜率为 ,直线 方程为 , 则条件① 在 上,等价于 ; 两渐近线的方程合并为 , 联立消去y并化简整理得: 设 ,线段中点为 ,则 , 设 , 则条件③ 等价于 ,移项并利用平方差公式整理得: , ,即 , 即 ; 由题意知直线 的斜率为 , 直线 的斜率为 , ∴由 , ∴ , 所以直线 的斜率 , 直线 ,即 , 代入双曲线的方程 ,即 中, 得: , 解得 的横坐标: , 同理: , ∴ ∴ , ∴条件② 等价于 , 综上所述:条件① 在 上,等价于 ; 条件② 等价于 ; 条件③ 等价于 ; 选①②推③: 由①②解得: ,∴③成立; 选①③推②: 由①③解得: , , ∴ ,∴②成立; 选②③推①: 由②③解得: , ,∴ , ∴ ,∴①成立. 2.如图, 为椭圆的两个顶点, 为椭圆的两个焦点. (1)写出椭圆的方程及准线方程; (2)过线段 上异于O,A的任一点K作 的垂线,交椭圆于P, 两点,直线 与 交于点M.求 证:点M在双曲线 上.【答案】(1)椭圆的方程为 ,准线方程为 ; (2)详见解析. 【详解】(1)由题可设椭圆的方程为 , 则 , ∴ , 所以椭圆的方程为 ,准线方程为 ; (2)设 ,点 ,其中 , 则 , 直线 的方程为 , 直线 的方程为 , 由 ,可得 , 所以 ,又 , 因为 , 所以直线 与 交于点M 在双曲线 上.3.如图, 和 是平面上的两点,动点P满足: . (1)求点P的轨迹方程; (2)若 ,求点P的坐标. 【答案】(1) (2) , , , 【详解】(1)由已知, 和 是平面上的两点, 动点P满足: , 所以由椭圆的定义可知,点P的轨迹是以 和 为焦点,长轴为 的椭圆, 设椭圆方程为: , 由已知可得:半焦距 ,长半轴 ,所以 , 所以点P的轨迹方程为: . (2)由 ,得 ,① 又因为 ,所以点P不为椭圆长轴的顶点, 故点P、点M、点N三点组成三角形,在 中, , , 由余弦定理可知: ,② 将①代入②得: , 所以 ,即 , 故点P的轨迹是以 和 为焦点,实轴为 的双曲线, 设双曲线方程为: , 由已知可得: , , 所以点P的轨迹方程为: . 又因为点P又满足椭圆方程: , 所以由方程组: 解得: , 所以点P的坐标为: , , , . 4.设动点P到两定点 和 的距离分别为 和 , ,且存在常数 ,使 得 .(1)证明:动点P的轨迹C为双曲线,并求出C的方程; (2)如图,过点 的直线与双曲线C的右支交于 两点.问:是否存在 ,使 是以点B为直角顶 点的等腰直角三角形?若存在,求出 的值;若不存在,说明理由. 【答案】(1)证明见解析; . (2)存在; . 【详解】(1)证明:在 中, , 因为存在常数 ,使得 ,故 , ∴ (小于2的常数), 故动点P的轨迹C是以 为焦点,实轴长 的双曲线, , 双曲线方程为 . (2)在 中,设 ,假设 为等腰直角三角形,则 , 由②与③得 ,则 , 由⑤得 ,即 ,又 , , 故 , 故存在 满足题设条件. 5.已知中心在原点的双曲线 的一个焦点是 ,一条渐近线的方程是 . (1)求双曲线 的方程; (2)若以 为斜率的直线 与双曲线 相交于两个不同的点M,N,线段MN的垂直平分线与两坐标轴 围成的三角形的面积为 ,求k的取值范围. 【答案】(1) (2) 的取值范围是 【详解】(1)解:设双曲线 的方程为 . 由题设得 ,解得 ,所以双曲线方程为 . (2)解:设直线 的方程为 .点 , , , 的坐标满足方程组 将①式代入②式,得 ,整理得 . 此方程有两个不等实根,于是 ,且△ . 整理得 . ③ 由根与系数的关系可知线段 的中点坐标 , 满足 , . 从而线段 的垂直平分线方程为 . 此直线与 轴, 轴的交点坐标分别为 , . 由题设可得 . 整理得 , . 将上式代入③式得 ,整理得 , . 解得 或 . 所以 的取值范围是 . 6.如图,直线 与直线 之间的阴影区域(不含边界)记为 ,其左半部分记为 , 右半部分记为 .(1)分别用不等式组表示 和 ; (2)若区域 中的动点 到 的距离之积等于 ,求点 的轨迹 的方程; (3)设不过原点 的直线 与(2)中的曲线 相交于 两点,且与 分别交于 两点.求证 的重心与 的重心重合. 【答案】(1) , (2) (3)证明见解析 【详解】(1) , . (2)直线 ,直线 ,由题意得 , 即 , ,知 ,所以 , 即 ,所以动点 的轨迹 的方程为 . (3)当直线 与 轴垂直时,可设直线 的方程为 . 由于直线 ,曲线 关于 轴对称,且 与 关于 轴对称, 于是 的中点坐标都为 ,所以 的重心坐标都为 ,即它们的重心重合; 当直线 与 轴不垂直时,设直线 的方程为 . 由 ,得 . 由直线 与曲线 有两个不同交点, 可知 且 . 设 的坐标分别为 , 则 . 设 的坐标分别为 , 由 及 得 , 从而 , 所以 , 所以 , 于是 的重心与 的重心也重合. 综上所述: 的重心与 的重心重合. 7.如图,双曲线 的离心率为 , 分别为左、右焦点,M为左准线与渐近线在 第二象限内的交点,且 .(1)求双曲线的方程; (2)设 和 是x轴上的两点过点A作斜率不为0的直线l,使得l交双曲线于C、D两 点,作直线 交双曲线于另一点E.证明:直线 垂直于x轴. 【答案】(1) ; (2)证明岁月解析. 【详解】(1)依题意,令 ,由双曲线离心率为 得: ,即有 , 直线 ,而点M在直线 ,于是得点 , , ,解得 , 所以所求双曲线方程为 . (2)设点 , , ,则直线 的方程为 , 由 消去y得: 而 ,即有 ,显然 ,于是 ,又 ,因此 , 直线BC: ,同理可得 , 即有 ,所以直线 垂直于 轴. 【点睛】易错点睛:双曲线 (a>0,b>0)的渐近线方程为 ,而双曲线 (a>0,b>0) 的渐近线方程为 (即 ),应注意其区别与联系. 8.已知 是过点 的两条互相垂直的直线,且 与双曲线 各有两个交点,分别为 和 . (1)求 的斜率 的取值范围; (2)若 , ,求 的方程. 【答案】(1) (2) 方程为 , 方程为 , 或 方程为 , 方程为 , 【详解】(1)显然 斜率均存在, 则 方程为 ,与 联立得 ,则 且 , 互相垂直,则 的斜率为 ,同理得 且 , 解得 (2)由弦长公式得 , , 而 ,化简得 ,解得 , 故 方程为 , 方程为 , 或 方程为 , 方程为 , 9.已知双曲线C的实半轴长与虚半轴的乘积为 ,C的两个焦点分别为 ,直线l过 且与直线 的夹角为 ,l与线段 的垂直平分线的交点是P,线段 与双曲线C的交点为Q,且 ,求双曲线C的方程. 【答案】 【分析】如图,以 所在的直线为 轴,线段 的垂直平分线为 轴建立直角坐标系.设双曲线的方 程为 ,可得直线 的方程为 ,得到点 的坐标,根据 求得点 的坐标,代入双曲线的方程即可得到 ,又 ,联立即可得出.【详解】解:如图,以 所在的直线为 轴,线段 的垂直平分线为 轴建立直角坐标系, 设双曲线的方程为 , 直线 的方程为 ,则 , 因为 ,所以 ,即 , ∴ , , , 代入双曲线的方程得 ,整理得 , 解得 ,或 (舍去), ,又 , , , 故所求的双曲线方程为 . 10.双曲线的中心在坐标原点O,焦点在x轴上,双曲线右焦点且斜率为 的直线交双曲线于 两点,若 ,求双曲线的方程. 【答案】 【详解】依题意,设双曲线的方程为 , ,则双曲线右焦点为 ,过 且斜率为 的直线 为 , 联立 ,消去 ,整理得 , 若 ,则 ,所以双曲线的渐近线为 , 则直线 与双曲线的其中一条渐近线平行,故与双曲线只能有一个交点,与题设矛盾,故 , 所以 , 由于 在直线 上,故可记为 , 由 得 ,整理得 , 所以 ,整理得 , 代入 整理得 ,即 , 因为 ,所以 ,所以 , 故 ,由 得, , 整理得 ,故 ,解得 ,故 , 故所求双曲线方程为 . 11.如图,已知两条直线 , .有一动圆(圆心和半径都在变动)与 、 都相交,并且 、 被截在圆内的两条线段的长度分别是定值 、 .求圆心 的轨迹方程,并说出 轨迹的名称. 【答案】圆心 的轨迹方程为 ,圆心 的轨迹为双曲线. 【分析】设圆心 的坐标为 ,计算出圆心 到直线 、 的距离,结合勾股定理可化简可得出点 的轨迹方程,可得出其轨迹曲线的形状. 【详解】解:设圆心 的坐标为 ,则圆心 到直线 的距离为 , 圆心 到直线 的距离为 , 由题意可得 , , 整理可得 .所以,圆心 的轨迹方程为 ,且圆心 的轨迹为双曲线. 12.设 分别为椭圆 的左、右两个焦点. (1)若椭圆C上的点 到 两点的距离之和等于4,写出椭圆C的方程; (2)设K是(1)中所得椭圆上的动点,求线段 的中点的轨迹方程; (3)已知椭圆具有性质:若M、N是椭圆C上关于原点对称的两个点,点P是椭圆上任意一点,当直线 的斜率都存在,并记为 、 时,那么 与 之积是与点P位置无关的定值.试对双曲线 写出具有类似特性的性质,并加以证明. 【答案】(1) ; (2) ; (3)见解析 【详解】(1)点 在椭圆C上,且到 两点的距离之和等于4,则 , ,解得 ,椭圆C的方程为 ; (2) ,则有 ,设 ,线段 的中点为 ,则有 ,又K是椭圆上的动点,则有 ,即 ,即 . 故线段 的中点的轨迹方程为 (3)类似特性的性质为:若M、N是双曲线 上关于原点对称的两个点,点P是双曲线上任意一 点,当直线 的斜率都存在,并记为 、 时,那么 与 之积是与点P位置无关的定值. 证明:设 , ,则 , , , 又 ,则 三年模拟 1.(2022·陕西·咸阳市高新一中模拟预测(文))已知焦点在 轴上的双曲线 经过点 . (1)求双曲线 的标准方程; (2)若直线 与双曲线 交于 两点,求弦长 . 【答案】(1)(2)8 【详解】(1)设双曲线 的方程为 .将 代入, 得 ,解得 . 所以 ,双曲线 的方程为 ; (2)由(1)得双曲线 的方程为 ,设 . 由 ,得 ,由韦达定理得 . 所以 , 故弦长 为8. 2.(2022·全国·模拟预测)已知 为坐标原点, , 分别是双曲线 : ( , )的左, 右 焦点, ,若直线 与双曲线 点的右支有公共点 . (1)求 的离心率的最小值; (2)当双曲线 的离心率最小时,直线 与 交于 , 两点,求 的值. 【答案】(1) (2)【详解】(1)解:由题知 , , 设 关于直线 的对称点为 , 则 , 解得 , 故 , 连接 , , , , 则 , 则 , 故 最大值为 , , 故双曲线 的离心率的最小值为 ;(2)由(1)知双曲线 的离心率的最小值为 , 此时 , 双曲线方程为 , 联立得 , 消去 并整理得 , 则有 且 , 即 且 , 设 , , 则 , , 则, . 3.(2022·全国·模拟预测)已知双曲线C: 的离心率为 ,A,B分别是C的左、 右顶点,点 在C上,点 ,直线AD,BD与C的另一个交点分别为P,Q. (1)求双曲线C的标准方程; (2)证明:直线PQ经过定点. 【答案】(1) (2)证明见解析 【详解】(1)解:由题意得 , , , ∵ 点 在C上, , , 解得 , , ∴ 双曲线方程为 .(2)解:由(1)知 , , 直线AD的方程为 , 设 , ,将直线AD的方程与C的方程联立, 消去y得 ① , , . 当 时,方程① 的两根为 , , , , , 即 , 直线BD的方程为 ,与C的方程联立,消去y得 ② , , . 当 时,方程② 的两根为 ,2, , , , 即 .当直线PQ的斜率存在时, . ∴直线PQ的方程为 , 整理得 . 此时直线PQ过定点 . ②当直线PQ的斜率不存在时, ,此时 , 则直线PQ的方程为 , 直线PQ过点 . 综上,直线PQ经过定点 . 4.(2022·全国·模拟预测)在平面直角坐标系 中,已知点 , ,点 到 的距离比到 的距离大2,点 的轨迹为曲线 . (1)求 的方程; (2)过点 且斜率不为0的直线 与 交于 两点, 与点 关于原点对称,求直线 与 斜率 的比值. 【答案】(1) (2) 【详解】(1)由已知可得 ,所以曲线 是以点 , 为焦点的双曲线 的左支, 设 的方程为 ( , , ),根据题意得 ,得 ,所以 方程为 . (2)由题意可得 ,设直线 , 的斜率分别为 , , ①当 的斜率不存在时,易知 的坐标分别为 , 或 , , 当 , 时, , ,所以 . 当 , 时, , ,所以 . 所以当l的斜率不存在时, ; ②当 的斜率存在时,设 , , 的方程为 , 将直线 代入 的方程得 , 所以 , ,所以 , 所以 , 因为 , 所以 ,即 , 综上,直线 与 斜率的比值为 . 5.(2022·河南新乡·一模(理))在平面直角坐标系xOy中,已知 , ,动点C满足直线AC与直线BC的斜率乘积为3. (1)求动点C的轨迹方程E. (2)过点 作直线l交曲线E于P,Q两点(P,Q在y轴两侧),过原点O作直线 的平行线 交曲线E 于M,N两点(M,N在y轴两侧),试问 是否为定值?若是,求出该定值;若不是,请说明理由. 【答案】(1) (2) 为定值2 【详解】(1)设 ,因为直线AC与直线BC的斜率乘积为3, 所以 ,所以 , 故动点C的轨迹方程为 . (2)易知直线 的斜率存在且不为0. 设直线 : , , , 联立方程组 得 , 则 , 因为P,Q在y轴两侧, 所以 ,所以 , 所以 .因为 ,所以 的方程为 . 设 ,则 , 联立方程组 ,得 . 所以 , , 所以 , 所以 ,即 为定值2. 6.(2022·全国·安阳市第二中学模拟预测(理))已知双曲线C: 与x轴的正半轴交于点M, 动直线l与双曲线C交于A,B两点,当l过双曲线C的右焦点且垂直于x轴时, ,O为坐标原 点. (1)求双曲线C的方程; (2)若 ,求点M到直线l距离的最大值. 【答案】(1) ; (2)2 【详解】(1)由曲线为双曲线得 ,双曲线标准形式为 ,故 ,右 焦点 , , 当 时,代入双曲线方程得 ,故 ,由 得 , 故双曲线C的方程为 ; (2)由 得 , i.当直线斜率不存在时,设为 ,联立 得 ,故当 才有两个交点,此时 , ,解得 或 (舍). 故点M到直线l距离为2; ii.当直线斜率存在时,设为 ,联立 得 , 故当 (*)才有两个交点, 设 ,则 , 故 ,即 , 即 ,整理得 ,得 或 . ①当 时,直线l为 过 与M重合,不合题意; ②当 时,代入(*)可得 时有两个交点, ∴点M到直线l距离为 . 综上,点M到直线l距离的最大值为2. 7.(2023·江苏·苏州中学模拟预测)已知动圆 与圆 及圆 中的一个外切,另一个内切. (1)求动圆圆心 的轨迹 的方程; (2)若直线 与轨迹 相交于 、 两点,以线段 为直径的圆经过轨迹 与 轴正半轴的交点 ,证明直 线 经过一个不在轨迹 上的定点,并求出该定点的坐标. 【答案】(1) ; (2)证明见解析, . 【详解】(1)依题意, , , 当动圆 与圆A外切且与圆 内切时,有 ,即 , 当动圆 与圆A内切且与圆 外切时,有 ,即 , 即 , 动圆的圆心 的轨迹 是以A、 为焦点的双曲线,其中 , , 轨迹 的方程为 ; (2)证明:当直线 的斜率存在时,设直线 的方程为 , , , , , 由 得 , 由 ,得 , 且 , 依题意,以 为直径的圆经过点 , ,且 ,, , 即 , , 化简,得 ,即 , 或 ,且均满足 , 当 时,直线 的方程为 ,直线 过定点 即是点 ,不符题意,舍, 当 时,直线 的方程为 ,直线 过定点 ,符合题意, 当直线 的斜率不存在时,设 的方程为 , 由 解得 , 依题意,以 为直径的圆经过点 , ,即 , ,即 , 解得 (舍 或 , 的方程为 ,直线 过点 , 故直线 经过一个不在轨迹 上的定点,定点的坐标为 . 8.(2022·江苏·苏州中学模拟预测)已知 , ,点 满足 ,记点 的轨迹为 , (1)求轨迹 的方程; (2)若直线 过点 且法向量为 ,直线与轨迹 交于 、 两点. ①过 、 作 轴的垂线 、 ,垂足分别为 、 ,记 ,试确定 的取值范围;②在 轴上是否存在定点 ,无论直线 绕点 怎样转动,使 恒成立?如果存在,求出定点 ;如果不存在,请说明理由. 【答案】(1) (2)① ;②存在, 【详解】(1)由 ,知,点 的轨迹是以 , 为焦点的双曲线的右支. , , ,故 ,轨迹方程为 . (2)直线 的方程为 , , 得 ,设 , , , , 由条件得 , 解得 ,即 . ① , 由条件 ,故 ,故 , 因为 ,因此 . ②设存在点 满足条件,由 , 得 对任意 恒成立,所以 , 解得 , 因此存在定点 满足条件. 9.(2022·云南云南·模拟预测)己知双曲线 与双曲线 有相同的渐近线, A,F分别为双曲线C的左顶点和右焦点,过F且垂直于x轴的直线与双曲线交于第一象限的点B, 的面积为 (1)求双曲线C的方程; (2)若直线 与双曲线的左、右两支分别交于M,N两点,与双曲线的两条渐近线分别交于P,Q两点, ,求实数 的取值范围. 【答案】(1) (2) 【详解】(1)解:如图,其中 ,双曲线 与双曲线 有相同的渐近线,所以 则 ,由题知 ,所以 则 ,解得 所以双曲线C的方程为 . (2)解: 设 , 则 所以 ,则 ,且 所以设 ,由 得 ,同理, 所以 , 所以 ,其中, , 因为 ,故 的取值范围是 10.(2022·浙江绍兴·一模)已知双曲线 : ( , )的左焦点 为 ,点 是双曲线 上的一点. (1)求 的方程; (2)已知过坐标原点且斜率为 ( )的直线 交 于 , 两点,连接 交 于另一点 ,连接 交 于另一点 ,若直线 经过点 ,求直线 的斜率 . 【答案】(1) (2) 【详解】(1)易知 , , 故 , . 故双曲线 的标准方程 . (2)方法一:令A为 ,则 为 ,直线 为 ,直线 为, 由 , 设 ,得 , 即 , , , , 同理可得, , , 直线 经过点 ,则 , , 三点共线, 即 ,则有 , 化简得, , 即 ,故 . 方法二:令A为 ,则 为 ,直线 为 ,直线 为 ,由 , 设 ,得 , 即 , ,同理可得, . 令直线 为 , 由 ,则 , 即 ,化简得 ,解得 , ,故 . 11.(2022·上海崇明·二模)已知双曲线 ,双曲线 的右焦点为F,圆C的圆心在y轴正半 轴上,且经过坐标原点O,圆C与双曲线Γ的右支交于A、B两点. (1)当 OFA是以F为直角顶点的直角三角形,求 OFA的面积; △ △ (2)若点A的坐标是 ,求直线AB的方程; (3)求证:直线AB与圆x2+y2=2相切. 【答案】(1) (2)(3)证明见解析 【详解】(1)(1)由题意 OFA是以F为直角顶点的直角三角形, , △ 所以点A在直线 处,设A ,代入 ,解得 ,取 则 ,所以 OFA的面积 ; △ (2)设圆C圆心坐标为 ,因其过原点,则 . 故圆C方程为: . 代入点A ,得 ,解得 . 将圆C方程与 联立得 ,消去 得: 解得 .又B点在双曲线右支,故B . 则AB方程为: . 化简为 即 . (3)证明:由题直线AB斜率必存在, 故设直线AB的方程为 ,A(x,y),B(x,y), 1 1 2 2 圆C的方程为 , 由 ,消去y得: 由题意,得: ,且 ,由 ,消去x化简得: ,所以 . 所以 , 即 得原点O到直线AB的距离 ,所以直线AB与圆 相切. 12.(2023·浙江温州·模拟预测)已知双曲线 的左右焦点分别为 , ,P是直线 上不同于原点O的一个动点,斜率为 的直线 与双曲线 交于A,B两点,斜率为 的直线 与双曲 线 交于C,D两点. (1)求 的值; (2)若直线 , , , 的斜率分别为 , , , ,问是否存在点P,满足 ,若存在,求出P点坐标;若不存在,说明理由. 【答案】(1) ; (2)存在 或 满足题意. 【详解】(1)由已知 , ,设 , , ∴ , , ; (2)设 ,( ),∴ ,∴直线 的方程是 ,设 , , 代入双曲线方程得 , 即 , , , , 同理 的方程为 ,设 , , 仿上,直线方程代入双曲线方程整理得: , , , ∴ . 由 得 , 整理得 ,∵ ,∴ , ∴存在 或 满足题意.