当前位置:首页>文档>第21练函数y=Asin(ωx+φ)的图象性质及其应用(精练:基础+重难点)一轮复习讲义2024年高考数学高频考点题型归纳与方法总结(新高考通用)原卷版_新高考复习资料_2024年新高考资料

第21练函数y=Asin(ωx+φ)的图象性质及其应用(精练:基础+重难点)一轮复习讲义2024年高考数学高频考点题型归纳与方法总结(新高考通用)原卷版_新高考复习资料_2024年新高考资料

  • 2026-04-23 17:00:35 2026-04-23 17:00:35

文档预览

第21练函数y=Asin(ωx+φ)的图象性质及其应用(精练:基础+重难点)一轮复习讲义2024年高考数学高频考点题型归纳与方法总结(新高考通用)原卷版_新高考复习资料_2024年新高考资料
第21练函数y=Asin(ωx+φ)的图象性质及其应用(精练:基础+重难点)一轮复习讲义2024年高考数学高频考点题型归纳与方法总结(新高考通用)原卷版_新高考复习资料_2024年新高考资料
第21练函数y=Asin(ωx+φ)的图象性质及其应用(精练:基础+重难点)一轮复习讲义2024年高考数学高频考点题型归纳与方法总结(新高考通用)原卷版_新高考复习资料_2024年新高考资料
第21练函数y=Asin(ωx+φ)的图象性质及其应用(精练:基础+重难点)一轮复习讲义2024年高考数学高频考点题型归纳与方法总结(新高考通用)原卷版_新高考复习资料_2024年新高考资料
第21练函数y=Asin(ωx+φ)的图象性质及其应用(精练:基础+重难点)一轮复习讲义2024年高考数学高频考点题型归纳与方法总结(新高考通用)原卷版_新高考复习资料_2024年新高考资料
第21练函数y=Asin(ωx+φ)的图象性质及其应用(精练:基础+重难点)一轮复习讲义2024年高考数学高频考点题型归纳与方法总结(新高考通用)原卷版_新高考复习资料_2024年新高考资料
第21练函数y=Asin(ωx+φ)的图象性质及其应用(精练:基础+重难点)一轮复习讲义2024年高考数学高频考点题型归纳与方法总结(新高考通用)原卷版_新高考复习资料_2024年新高考资料
第21练函数y=Asin(ωx+φ)的图象性质及其应用(精练:基础+重难点)一轮复习讲义2024年高考数学高频考点题型归纳与方法总结(新高考通用)原卷版_新高考复习资料_2024年新高考资料
第21练函数y=Asin(ωx+φ)的图象性质及其应用(精练:基础+重难点)一轮复习讲义2024年高考数学高频考点题型归纳与方法总结(新高考通用)原卷版_新高考复习资料_2024年新高考资料
第21练函数y=Asin(ωx+φ)的图象性质及其应用(精练:基础+重难点)一轮复习讲义2024年高考数学高频考点题型归纳与方法总结(新高考通用)原卷版_新高考复习资料_2024年新高考资料
第21练函数y=Asin(ωx+φ)的图象性质及其应用(精练:基础+重难点)一轮复习讲义2024年高考数学高频考点题型归纳与方法总结(新高考通用)原卷版_新高考复习资料_2024年新高考资料
第21练函数y=Asin(ωx+φ)的图象性质及其应用(精练:基础+重难点)一轮复习讲义2024年高考数学高频考点题型归纳与方法总结(新高考通用)原卷版_新高考复习资料_2024年新高考资料
第21练函数y=Asin(ωx+φ)的图象性质及其应用(精练:基础+重难点)一轮复习讲义2024年高考数学高频考点题型归纳与方法总结(新高考通用)原卷版_新高考复习资料_2024年新高考资料
第21练函数y=Asin(ωx+φ)的图象性质及其应用(精练:基础+重难点)一轮复习讲义2024年高考数学高频考点题型归纳与方法总结(新高考通用)原卷版_新高考复习资料_2024年新高考资料
第21练函数y=Asin(ωx+φ)的图象性质及其应用(精练:基础+重难点)一轮复习讲义2024年高考数学高频考点题型归纳与方法总结(新高考通用)原卷版_新高考复习资料_2024年新高考资料
第21练函数y=Asin(ωx+φ)的图象性质及其应用(精练:基础+重难点)一轮复习讲义2024年高考数学高频考点题型归纳与方法总结(新高考通用)原卷版_新高考复习资料_2024年新高考资料
第21练函数y=Asin(ωx+φ)的图象性质及其应用(精练:基础+重难点)一轮复习讲义2024年高考数学高频考点题型归纳与方法总结(新高考通用)原卷版_新高考复习资料_2024年新高考资料
第21练函数y=Asin(ωx+φ)的图象性质及其应用(精练:基础+重难点)一轮复习讲义2024年高考数学高频考点题型归纳与方法总结(新高考通用)原卷版_新高考复习资料_2024年新高考资料
第21练函数y=Asin(ωx+φ)的图象性质及其应用(精练:基础+重难点)一轮复习讲义2024年高考数学高频考点题型归纳与方法总结(新高考通用)原卷版_新高考复习资料_2024年新高考资料

文档信息

文档格式
docx
文档大小
1.539 MB
文档页数
15 页
上传时间
2026-04-23 17:00:35

文档内容

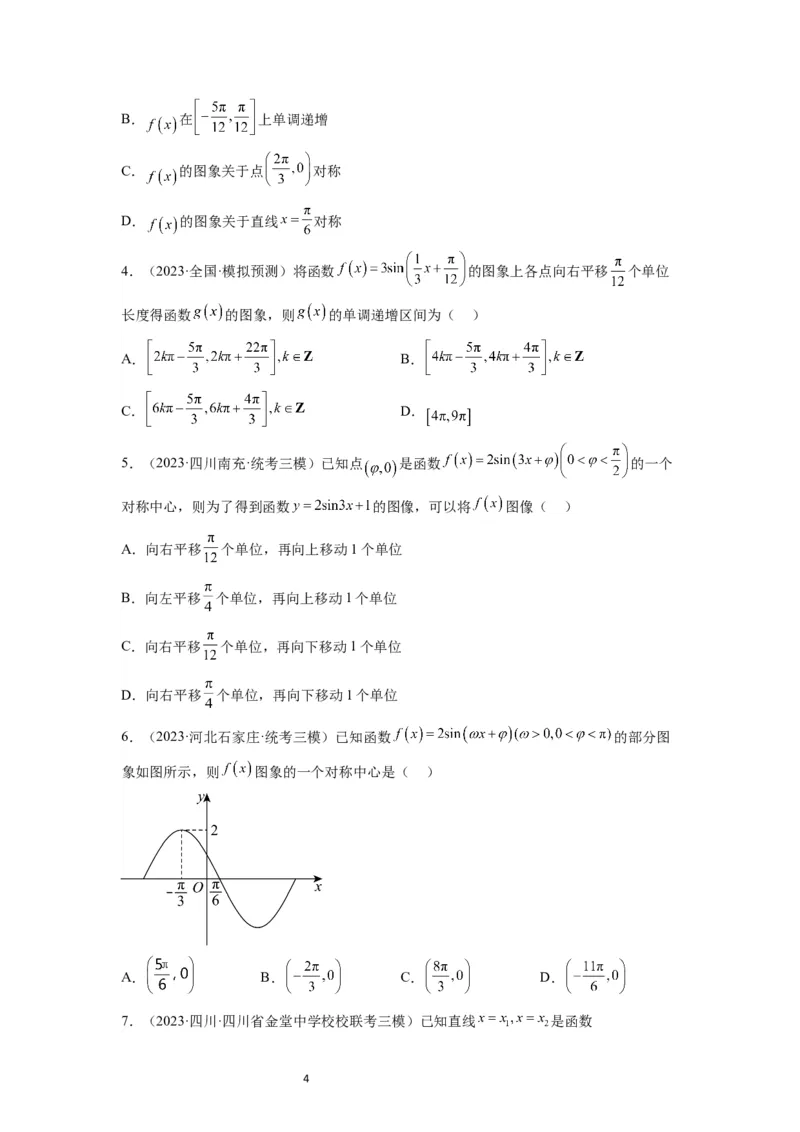
【一轮复习讲义】2024年高考数学高频考点题型归纳与方法总结(新高考通 用) 第 21 练 函数 y=Asin(ωx+φ)的图象性质及其应用 (精练) 刷真题 明导向 一、单选题 1.(2022·浙江·统考高考真题)为了得到函数 的图象,只要把函数 图象上所有的点( ) A.向左平移 个单位长度 B.向右平移 个单位长度 C.向左平移 个单位长度 D.向右平移 个单位长度 2.(2021·全国·统考高考真题)把函数 图像上所有点的横坐标缩短到原来的 倍, 纵坐标不变,再把所得曲线向右平移 个单位长度,得到函数 的图像,则 ( ) A. B. C. D. 3.(2022·全国·统考高考真题)将函数 的图像向左平移 个单 位长度后得到曲线C,若C关于y轴对称,则 的最小值是( ) A. B. C. D. 4.(2022·全国·统考高考真题)记函数 的最小正周期为T. 若 ,且 的图象关于点 中心对称,则 ( ) A.1 B. C. D.3 5.(2023·全国·统考高考真题)已知 为函数 向左平移 个单位所得 1函数,则 与 的交点个数为( ) A.1 B.2 C.3 D.4 6.(2023·全国·统考高考真题)已知函数 在区间 单调递增,直 线 和 为函数 的图像的两条对称轴,则 ( ) A. B. C. D. 7.(2023·天津·统考高考真题)已知函数 的一条对称轴为直线 ,一个周期为4, 则 的解析式可能为( ) A. B. C. D. 二、填空题 8.(2021·全国·高考真题)已知函数 的部分图像如图所示,则 _______________. 9.(2023·全国·统考高考真题)已知函数 ,如图A,B是直线 与 曲线 的两个交点,若 ,则 ______. 2三、解答题 10.(2021·浙江·统考高考真题)设函数 . (1)求函数 的最小正周期; (2)求函数 在 上的最大值. 【A组 在基础中考查功底】 一、单选题 1.(2023·安徽蚌埠·统考三模)已知函数 ,则要得到函数 的图象,只需将函数 的图象( ) A.向左平移 个单位 B.向右平移 个单位 C.向左平移 个单位 D.向右平移 个单位 2.(2023·河南郑州·模拟预测)把函数 图象上所有点的纵坐标不变,横坐标伸长 到原来的2倍,再把所得曲线向右平移 个单位长度,得到函数 的图象,则 ( ) A. B. C. D. 3.(2023·福建南平·统考模拟预测)已知函数 的图象的相邻两 条对称轴间的距离为 ,则( ) A. 的周期为 3B. 在 上单调递增 C. 的图象关于点 对称 D. 的图象关于直线 对称 4.(2023·全国·模拟预测)将函数 的图象上各点向右平移 个单位 长度得函数 的图象,则 的单调递增区间为( ) A. B. C. D. 5.(2023·四川南充·统考三模)已知点 是函数 的一个 对称中心,则为了得到函数 的图像,可以将 图像( ) A.向右平移 个单位,再向上移动1个单位 B.向左平移 个单位,再向上移动1个单位 C.向右平移 个单位,再向下移动1个单位 D.向右平移 个单位,再向下移动1个单位 6.(2023·河北石家庄·统考三模)已知函数 的部分图 象如图所示,则 图象的一个对称中心是( ) A. B. C. D. 7.(2023·四川·四川省金堂中学校校联考三模)已知直线 是函数 4图象的任意两条对称轴,且 的最小值为 ,则 的单 调递增区间是( ) A. B. C. D. 8.(2023·浙江绍兴·统考模拟预测)若函数 的周期为 ,其图象由函数 的图象向左平移 个单位得到,则 的一个单调递增区 间是( ) A. B. C. D. 9.(2023·四川遂宁·统考三模)已知函数 , , ,且 的最小值为 ,则 的值为( ) A. B. C.1 D.2 10.(2023·山东烟台·统考二模)已知函数 在 上单 调递增,则 的取值范围为( ). A. B. C. D. 11.(2023·河北沧州·统考模拟预测)已知函数 的图象关于 对称,当 的最小正周期取得最大值时,距离原点最近的对称中心为( ) A. B. C. D. 12.(2023·河南鹤壁·鹤壁高中校考模拟预测)已知函数 ,则下列 说法正确的为( ) 5A. 的最小正周期为 B. 的最大值为 C. 的图像关于直线 对称 D.将 的图像向右平移 个单位长度,再向上平移 个单位长度后所得图像对应的函 数为奇函数 13.(2023·重庆·统考三模)将函数 的图象向右平移 个单位 得到函数 的图象,则“ ”是“函数 为偶函数”的( ) A.充分不必要条件 B.必要不充分条件 C.充要条件 D.既不充分也不必要条件 14.(2023·云南·高三校联考阶段练习)函数 的部分 图象如图所示,则下列叙述正确的是( ) A. B. , 恒成立 C.对任意 D.若 ,则 的最小值为 二、多选题 15.(2023·全国·高三专题练习)已知函数 ,则( ) A. 6B. 的最小正周期为 C.把 向左平移 可以得到函数 D. 在 上单调递增 16.(2023·全国·高三专题练习)已知函数 的图像关于直 线 对称,则ω的取值可以为( ) A.2 B.4 C.6 D.8 17.(2023·云南大理·统考模拟预测)设函数 在区间 上单调递增,则下列说法正确的是( ) A. B.存在 ,使得函数 为奇函数 C.函数 的最大值为2 D.存在 ,使得函数 的图像关于点 对称 18.(2023秋·江苏苏州·高三苏州中学校考阶段练习)关于函数 的描述正确的是( ) A. 图象可由 的图象向左平移 个单位得到 B. 在 单调递减 C. 的图象关于直线 对称 D. 的图象关于点 对称 三、填空题 19.(2023·福建厦门·统考二模)将函数 的图象向左平移 个单位长度.得到函数g(x)的图象,若g(x)是奇函数,则φ=_______. 20.(2023·全国·高三专题练习)已知函数 的图象关于点 对称, 那么 的最小值为__________. 21.(2023春·上海闵行·高三上海市七宝中学校考阶段练习)函数 7的部分图象如图,若 ,且 ,则 __________. 22.(2023·陕西宝鸡·校考模拟预测)已知函数 在区间 单调,其中 为正整数, ,且 .则 图像的一条对称轴__________. 四、解答题 23.(2023·安徽安庆·安庆一中校考三模)已知函数 . (1)求函数 的单调递增区间; (2)求 在区间[0, ]上的最值. 24.(2023·全国·高三专题练习)已知向量 , ,设 (1)求函数 的最小正周期和单调递增区间; (2)已知角 为锐角, , , ,求 的值. 25.(2023·全国·高三专题练习)已知函数 ,若 __________. 条件①: ,且 在 时的最大值为 ; 8条件②: . 请写出你选择的条件,并求函数 在区间 上的最大值和最小值. 注:如果选择条件①和条件②分别解答,按第一个解答计分. 【B组 在综合中考查能力】 一、单选题 1.(2023·河南·校联考模拟预测)已知函数 的 图象在 内有且仅有一条对称轴,则 的最小值为( ) A.0 B. C.1 D. 2.(2023·湖南衡阳·校考模拟预测)已知函数 的导函数 的图像如图所示,记 ,则下列说法正确的是( ) A. 的最小正周期为2π B. C. D. 在 上单调递增 3.(2023春·陕西安康·高三陕西省安康中学校考阶段练习)已知函数 ,若 ,则( ) A.将 的图象向右平移 个单位长度后,可得到一个偶函数的图象 B. 图象的对称中心的坐标为 9C.直线 是 图象的一条对称轴 D. 的一个单调递增区间为 4.(2023·全国·高三专题练习)将函数 的图像向右平移 个单位长度,得到函数 的图像,则下列说法正确的是( ) A.若 ,则 是奇函数 B.若 ,则 在区间 上单调递 减 C.若 ,则 的图像关于点 对称 D.若 ,则 在区间 上单 调递增 5.(2023·全国·模拟预测)已知函数 的部分图象 如图所示,则下列说法正确的是( ) A. B. C.不等式 的解集为 D.将 的图象向右平移 个单位长度后所得函数的图象在 上单调递增 6.(2023·重庆·校联考三模)已知 同时满足下列三个条件: ①当 时, 的最小值为 ; ② 是偶函数; ③ . 若 在 上有两个零点,则实数m的取值范围是( ) 10A. B. C. D. 二、多选题 7.(2023·全国·高三专题练习)已知 ,下列结论错误的是( ) A.函数 在区间 上是减函数 B.点 是函数 图象的一个对称中心 C.函数 的图象可以由函数 的图象向左平移 个单位长度得到 D.若 ,则 的值域为 8.(2023·山东潍坊·统考二模)已知函数 (其中 )的部分图象如图所示,则( ) A. B.函数 为偶函数 C. D.曲线 在 处的切线斜率为 三、填空题 9.(2023·新疆·校联考二模)已知函数 满足下列条件: ① 是 经过图象变换得到的; ②对于 ,均满足 成立; ③ 的函数图象过点 . 11请写出符合上述条件的一个函数解析式__________________. 10.(2023·全国·高三专题练习)将函数 的图象向左平移 个单位,得到函数 的图象,若函数 在区间 上单调递增,则 的取值范 围______. 11.(2023·宁夏吴忠·统考模拟预测)已知函数 ,如图是 的部分图象,则 在区间 上的值域是___________. 12.(2023·四川凉山·二模)已知函数 ,则下列说 法中正确的是________ ① 一条对称轴为 ; ②将 图象向右平移 个单位,再向下平移1个单位得到的新函数为奇函数; ③若 ,则 ; ④若 且 ,则 的最小值为 . 四、解答题 13.(2023·山东济南·统考三模)已知 ,其图象相邻对称轴间的距离为 ,若将其图象向左平移 个单位得到函数 的图象. (1)求函数 的解析式及图象的对称中心; (2)在钝角 中,内角 的对边分别是 ,若 ,求 的取值范围. 1214.(2023·黑龙江齐齐哈尔·齐齐哈尔市实验中学校考三模)已知函数 在区间 上单调,其中 , ,且 . (1)求 的图象的一个对称中心的坐标; (2)若点 在函数 的图象上,求函数 的表达式. 【C组 在创新中考查思维】 一、单选题 1.(2023·天津和平·统考二模)函数 的部分图象如图 所示, ,则下列四个选项中正确的个数为( ) ① ②函数 在 上单调递减; ③函数 在 上的值域为 ; ④曲线 在 处的切线斜率为 . A.0个 B.1个 C.2个 D.3个 2.(2023春·广西防城港·高三统考阶段练习)函数 ,则关于函数 有下列四个结论: ① 的一个周期为 ;② 的最小值为 ;③ 图像的一个对称中心为 ;④ 在区间 内为增函数. 其中所有正确结论的编号为( ) A.①②③ B.①② C.①②④ D.②③ 133.(2023·全国·高三专题练习)已知函数 满足 , 若 ,且 ,则 的值为( ) A. B. C. D. 4.(2023秋·河北石家庄·高三校联考期末)已知函数 ,则 ( ) A. 的最小正周期是 B. 的图象关于直线 对称 C. 在 上有4个极值点 D. 在 上单调递减 二、多选题 5.(2023·重庆沙坪坝·重庆一中校考模拟预测)设函数 ,如图是函数 及其导函数 的部分图像, 则( ) A. B. C. 与y轴交点坐标为 D. 与 的所有交点中横坐标绝对值的最小值为 6.(2023·湖北·荆门市龙泉中学校联考模拟预测)已知函数 在 上有最大值,则( ) 14A. 的取值范围为 B. 在区间 上有零点 C. 在区间 上单调递减 D.存在两个 ,使得 三、填空题 7.(2023·河北衡水·模拟预测)已知函数 ,若 ,对于任意的 都有 ,且 在区间 上 单调,则 的最大值为_________. 8.(2023·全国·高三专题练习)已知函数 的部分图象如 图所示,则满足条件 的最小正偶数x为___________. 四、解答题 9.(2023春·重庆渝中·高三重庆巴蜀中学校考阶段练习)已知 . (1)若 ,求 的值; (2)将函数 的图象向右平移 个单位得到函数 的图象,若函数 在 上有4个零点,求实数 的取值范围. 15