当前位置:首页>文档>专题4.10函数y=Asin(ωx+φ)的图象及应用-重难点题型精练(举一反三)(新高考地区专用)(解析版)_2.2025数学总复习_2023年新高考资料_一轮复习

专题4.10函数y=Asin(ωx+φ)的图象及应用-重难点题型精练(举一反三)(新高考地区专用)(解析版)_2.2025数学总复习_2023年新高考资料_一轮复习

  • 2026-04-01 14:13:26 2026-03-18 00:31:58

文档预览

专题4.10函数y=Asin(ωx+φ)的图象及应用-重难点题型精练(举一反三)(新高考地区专用)(解析版)_2.2025数学总复习_2023年新高考资料_一轮复习
专题4.10函数y=Asin(ωx+φ)的图象及应用-重难点题型精练(举一反三)(新高考地区专用)(解析版)_2.2025数学总复习_2023年新高考资料_一轮复习
专题4.10函数y=Asin(ωx+φ)的图象及应用-重难点题型精练(举一反三)(新高考地区专用)(解析版)_2.2025数学总复习_2023年新高考资料_一轮复习
专题4.10函数y=Asin(ωx+φ)的图象及应用-重难点题型精练(举一反三)(新高考地区专用)(解析版)_2.2025数学总复习_2023年新高考资料_一轮复习
专题4.10函数y=Asin(ωx+φ)的图象及应用-重难点题型精练(举一反三)(新高考地区专用)(解析版)_2.2025数学总复习_2023年新高考资料_一轮复习
专题4.10函数y=Asin(ωx+φ)的图象及应用-重难点题型精练(举一反三)(新高考地区专用)(解析版)_2.2025数学总复习_2023年新高考资料_一轮复习
专题4.10函数y=Asin(ωx+φ)的图象及应用-重难点题型精练(举一反三)(新高考地区专用)(解析版)_2.2025数学总复习_2023年新高考资料_一轮复习
专题4.10函数y=Asin(ωx+φ)的图象及应用-重难点题型精练(举一反三)(新高考地区专用)(解析版)_2.2025数学总复习_2023年新高考资料_一轮复习
专题4.10函数y=Asin(ωx+φ)的图象及应用-重难点题型精练(举一反三)(新高考地区专用)(解析版)_2.2025数学总复习_2023年新高考资料_一轮复习
专题4.10函数y=Asin(ωx+φ)的图象及应用-重难点题型精练(举一反三)(新高考地区专用)(解析版)_2.2025数学总复习_2023年新高考资料_一轮复习
专题4.10函数y=Asin(ωx+φ)的图象及应用-重难点题型精练(举一反三)(新高考地区专用)(解析版)_2.2025数学总复习_2023年新高考资料_一轮复习
专题4.10函数y=Asin(ωx+φ)的图象及应用-重难点题型精练(举一反三)(新高考地区专用)(解析版)_2.2025数学总复习_2023年新高考资料_一轮复习
专题4.10函数y=Asin(ωx+φ)的图象及应用-重难点题型精练(举一反三)(新高考地区专用)(解析版)_2.2025数学总复习_2023年新高考资料_一轮复习
专题4.10函数y=Asin(ωx+φ)的图象及应用-重难点题型精练(举一反三)(新高考地区专用)(解析版)_2.2025数学总复习_2023年新高考资料_一轮复习
专题4.10函数y=Asin(ωx+φ)的图象及应用-重难点题型精练(举一反三)(新高考地区专用)(解析版)_2.2025数学总复习_2023年新高考资料_一轮复习
专题4.10函数y=Asin(ωx+φ)的图象及应用-重难点题型精练(举一反三)(新高考地区专用)(解析版)_2.2025数学总复习_2023年新高考资料_一轮复习
专题4.10函数y=Asin(ωx+φ)的图象及应用-重难点题型精练(举一反三)(新高考地区专用)(解析版)_2.2025数学总复习_2023年新高考资料_一轮复习
专题4.10函数y=Asin(ωx+φ)的图象及应用-重难点题型精练(举一反三)(新高考地区专用)(解析版)_2.2025数学总复习_2023年新高考资料_一轮复习
专题4.10函数y=Asin(ωx+φ)的图象及应用-重难点题型精练(举一反三)(新高考地区专用)(解析版)_2.2025数学总复习_2023年新高考资料_一轮复习
专题4.10函数y=Asin(ωx+φ)的图象及应用-重难点题型精练(举一反三)(新高考地区专用)(解析版)_2.2025数学总复习_2023年新高考资料_一轮复习
专题4.10函数y=Asin(ωx+φ)的图象及应用-重难点题型精练(举一反三)(新高考地区专用)(解析版)_2.2025数学总复习_2023年新高考资料_一轮复习
专题4.10函数y=Asin(ωx+φ)的图象及应用-重难点题型精练(举一反三)(新高考地区专用)(解析版)_2.2025数学总复习_2023年新高考资料_一轮复习
专题4.10函数y=Asin(ωx+φ)的图象及应用-重难点题型精练(举一反三)(新高考地区专用)(解析版)_2.2025数学总复习_2023年新高考资料_一轮复习
专题4.10函数y=Asin(ωx+φ)的图象及应用-重难点题型精练(举一反三)(新高考地区专用)(解析版)_2.2025数学总复习_2023年新高考资料_一轮复习
专题4.10函数y=Asin(ωx+φ)的图象及应用-重难点题型精练(举一反三)(新高考地区专用)(解析版)_2.2025数学总复习_2023年新高考资料_一轮复习
专题4.10函数y=Asin(ωx+φ)的图象及应用-重难点题型精练(举一反三)(新高考地区专用)(解析版)_2.2025数学总复习_2023年新高考资料_一轮复习

文档信息

文档格式
docx
文档大小
0.854 MB
文档页数
26 页
上传时间
2026-03-18 00:31:58

文档内容

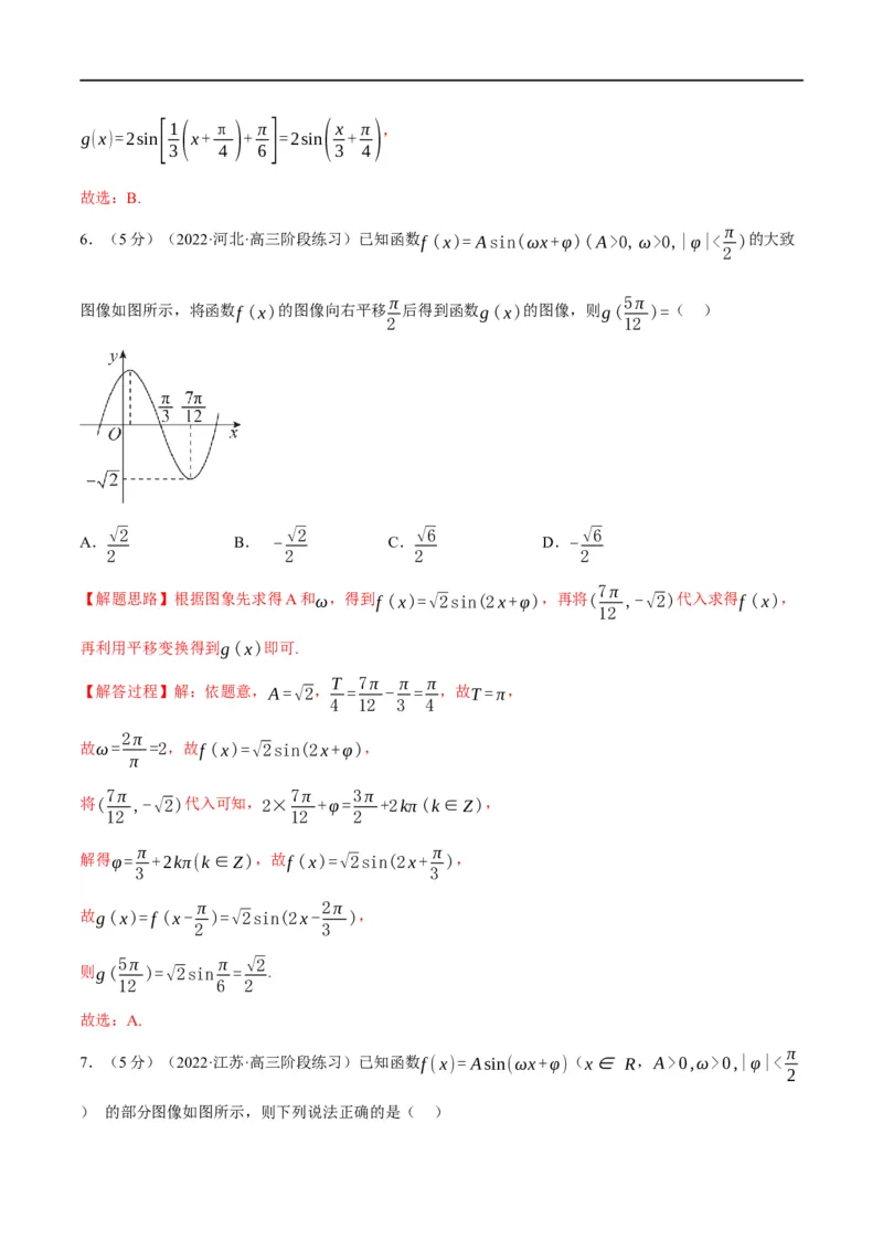
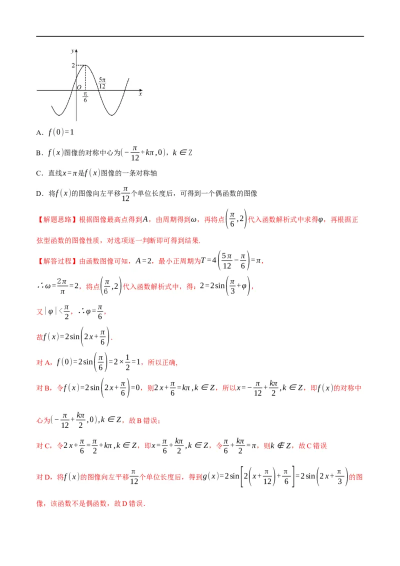
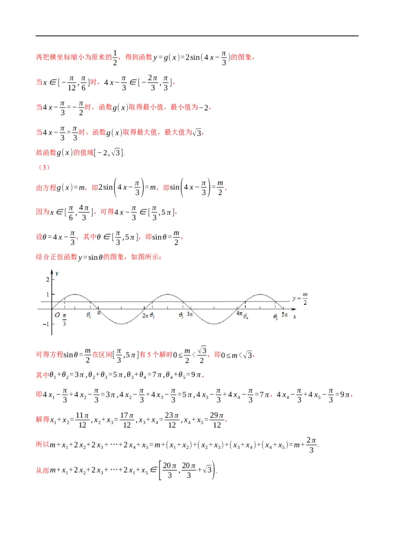
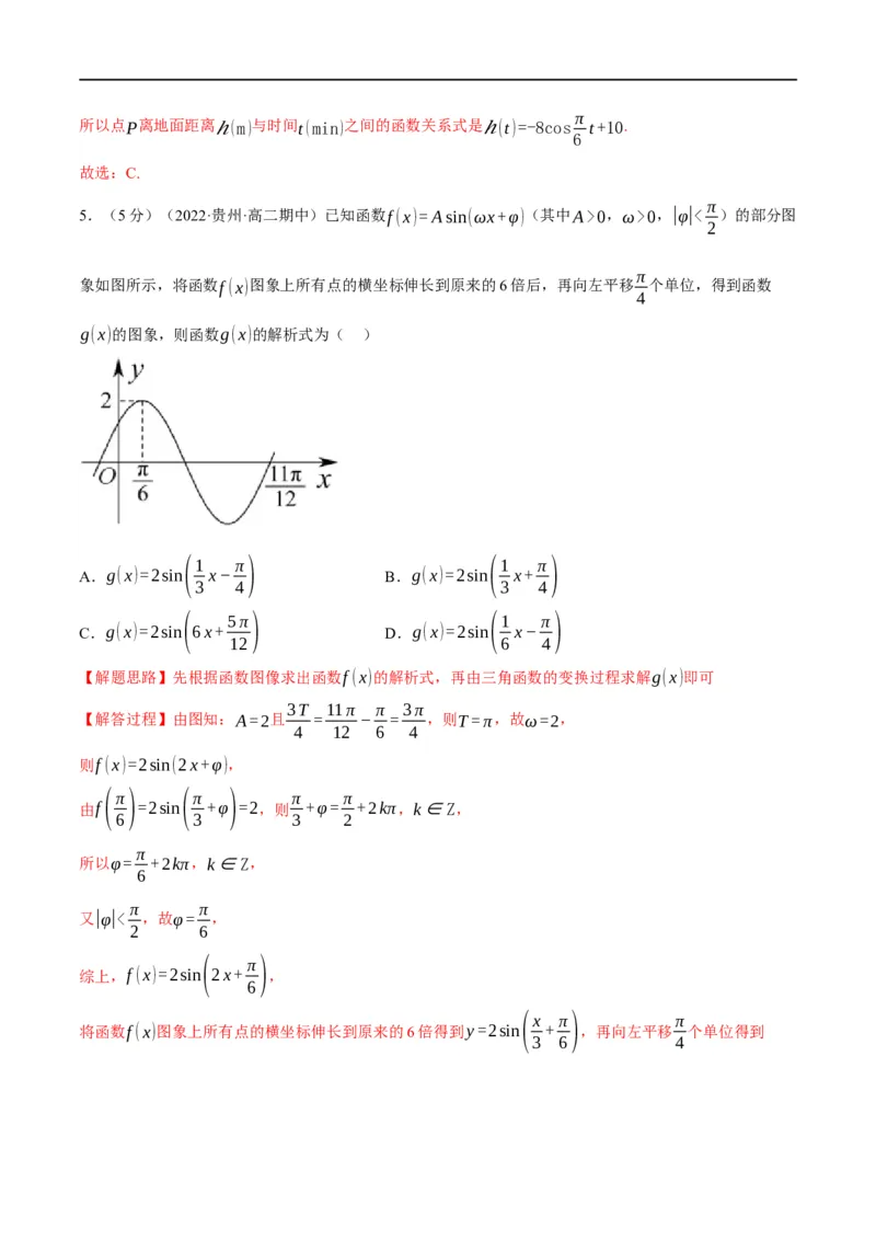
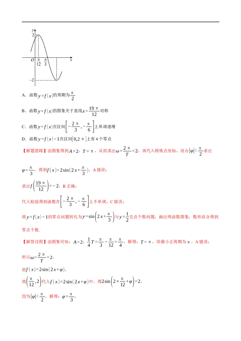
专题4.10函数 的图象及应用-重难点题型精练 参考答案与试题解析 一.选择题(共8小题,满分40分,每小题5分) π π 1.(5分)(2022·天津·高一期末)为了得到函数y=sin ( 2x+ ) 的图像,可以将函数y=sin ( 2x+ ) 6 3 的图像( ) π π A.向左平移 个单位 B.向右平移 个单位 6 6 π π C.向左平移 个单位 D.向右平移 个单位 12 12 【解题思路】先将两函数转化为y=sinω(x+φ)的形式,计算两者φ的差值,利用口诀“左加右减”可知 如何平移. π π π π 【解答过程】因为y=sin ( 2x+ )=sin2 ( x+ ) ,y=sin ( 2x+ )=sin2 ( x+ ) , 3 6 6 12 π π π 且 − = , 6 12 12 π π π 所以由y=sin ( 2x+ ) 的图像转化为y=sin ( 2x+ ) 需要向右平移 个单位. 3 6 12 故选:D. 2.(5分)(2021·全国·高一专题练习)某同学用“五点法”画函数f(x)=Asin(ωx+φ)(ω>0, π |φ|< )在某一个周期内的图象时,列表并填入了部分数据,如下表: 2 π 3π ωx+φ 0 π 2π 2 2 π 5π x 3 6 Asin(ωx+φ)0 5 −5 0 π 根据这些数据,要得到函数y=Asinωx的图象,需要将函数f(x)的图象( )A.向左平移 个单位 12 π B.向右平移 个单位 12π π C.向左平移 个单位 D.向右平移 个单位 6 6 【解题思路】根据表格中的数据,列出关于ω,φ的方程组,解方程组得出函数f(x)的解析式,根据函数 f(x)=Asin(ωx+φ)图象的变换即可得出结果. 【解答过程】由表中的数据可得A=5, π ¿,解得ω=2,φ=− , 6 π 所以f(x)=5sin(2x− ),y= 5sin2x, 6 π π π 将f(x)=5sin(2x− )= 5sin[2(x− )]图象向左平移 单位后 6 12 12 得到y= 5sin2x的图象. 故选:A. 3.(5分)(2022·广东广州·高三阶段练习)已知函数f (x)=sin2ωx-cos2ωx+1(0<ω<1),将f (x)的 π 图像先向右平移 个单位长度,然后再向下平移1个单位长度,得到函数g(x)的图像,若g(x)图像关于 4 (π ) ,0 对称,则ω为( ) 2 1 1 2 3 A. B. C. D. 4 2 3 4 【解题思路】根据辅助角公式将f (x)化简,利用图像变换得到的g(x)解析式,再由对称和ω的范围求得ω 的值. ( π) 【解答过程】由已知f (x)=sin2ωx−cos2ωx+1=√2sin 2ωx− +1. 4 π 将f (x)的图像先向右平移 个单位长度,然后再向下平移1个单位长度. 4 ( ωπ π) (π ) 得到g(x)=√2sin 2ωx- − .若g(x)图像关于 ,0 对称, 2 4 2 ( ωπ π) ωπ π 则sin ωπ- − =0,所以 − =kπ,k∈Z. 2 4 2 4 1 1 故ω=2k+ ,又因为0<ω<1,所以ω= . 2 2 故选:B. 4.(5分)(2022·湖北·高三阶段练习)一个大风车的半径为8m,匀速旋转的速度是每12min旋转一周.它的最低点P 0 离地面2m,风车翼片的一个端点P从P 0 开始按逆时针方向旋转,点P离地面距离 ℎ(m)与时 间t(min)之间的函数关系式是( ) π π A. ℎ(t)=-8sin t+10 B. ℎ(t)=8sin t+2 6 6 π π C. ℎ(t)=-8cos t+10 D. ℎ(t)=8cos t+10 6 6 【解题思路】建立平面直角坐标系,设出函数解析式,再根据给定的条件求解其待定系数作答. 【解答过程】以过风车中心垂直于地面的竖直向上的直线为y轴,该直线与地面的交点为原点,建立坐标 系,如图, 依题意,设函数解析式为 ℎ (t)=Asin(ωx+φ)+B,(A>0,ω>0), ℎ (t) - ℎ (t) ℎ (t) + ℎ (t) 显然 ℎ (t) =2, ℎ (t) =18,则A= max min=8,A= max min=10, min max 2 2 2π π 函数f (x)的周期T=12,则ω= = ,因当t=0时,f (t) =2,即有sinφ=-1,则 T 6 min π φ=2kπ- ,k∈Z, 2 π π π 于是得 ℎ (t)=8sin( t+2kπ- )+10=-8cos t+10,k∈Z, 6 2 6π 所以点P离地面距离 ℎ(m)与时间t(min)之间的函数关系式是 ℎ(t)=-8cos t+10. 6 故选:C. π 5.(5分)(2022·贵州·高二期中)已知函数f (x)=Asin(ωx+φ)(其中A>0,ω>0,|φ|< )的部分图 2 π 象如图所示,将函数f (x)图象上所有点的横坐标伸长到原来的6倍后,再向左平移 个单位,得到函数 4 g(x)的图象,则函数g(x)的解析式为( ) (1 π) (1 π) A.g(x)=2sin x− B.g(x)=2sin x+ 3 4 3 4 ( 5π) (1 π) C.g(x)=2sin 6x+ D.g(x)=2sin x− 12 6 4 【解题思路】先根据函数图像求出函数f (x)的解析式,再由三角函数的变换过程求解g(x)即可 3T 11π π 3π 【解答过程】由图知:A=2且 = − = ,则T=π,故ω=2, 4 12 6 4 则f (x)=2sin(2x+φ), (π) (π ) π π 由f =2sin +φ =2,则 +φ= +2kπ,k∈Z, 6 3 3 2 π 所以φ= +2kπ,k∈Z, 6 π π 又|φ|< ,故φ= , 2 6 ( π) 综上,f (x)=2sin 2x+ , 6 (x π) π 将函数f (x)图象上所有点的横坐标伸长到原来的6倍得到y=2sin + ,再向左平移 个单位得到 3 6 4g(x)=2sin [1 ( x+ π )+ π] =2sin (x + π), 3 4 6 3 4 故选:B. π 6.(5分)(2022·河北·高三阶段练习)已知函数f (x)=Asin(ωx+φ)(A>0,ω>0,|φ|< )的大致 2 π 5π 图像如图所示,将函数f (x)的图像向右平移 后得到函数g(x)的图像,则g( )=( ) 2 12 √2 √2 √6 √6 A. B. - C. D.- 2 2 2 2 7π 【解题思路】根据图象先求得A和ω,得到f (x)=√2sin(2x+φ),再将( ,-√2)代入求得f (x), 12 再利用平移变换得到g(x)即可. T 7π π π 【解答过程】解:依题意,A=√2, = - = ,故T=π, 4 12 3 4 2π 故ω= =2,故f (x)=√2sin(2x+φ), π 7π 7π 3π 将( ,-√2)代入可知,2× +φ= +2kπ(k∈Z), 12 12 2 π π 解得φ= +2kπ(k∈Z),故f (x)=√2sin(2x+ ), 3 3 π 2π 故g(x)=f (x- )=√2sin(2x- ), 2 3 5π π √2 则g( )=√2sin = . 12 6 2 故选:A. π 7.(5分)(2022·江苏·高三阶段练习)已知函数f(x)=Asin(ωx+φ)(x∈ R,A>0,ω>0,|φ|< 2 ) 的部分图像如图所示,则下列说法正确的是( )A.f(0)=1 π B.f(x)图像的对称中心为(− +kπ,0),k∈Z 12 C.直线x=π是f(x)图像的一条对称轴 π D.将f(x)的图像向左平移 个单位长度后,可得到一个偶函数的图像 12 (π ) 【解题思路】根据图像最高点得到A,由周期得到ω,再将点 ,2 代入函数解析式中求得φ,再根据正 6 弦型函数的图像性质,对选项逐一判断即可得到结果. (5π π) 【解答过程】由函数图像可知,A=2,最小正周期为T=4 − =π, 12 6 ∴ω= 2π =2,将点 (π ,2 ) 代入函数解析式中,得:2=2sin (π +φ ) , π 6 3 π π 又|φ|< ,∴φ= , 2 6 ( π) 故f(x)=2sin 2x+ . 6 (π) 1 对A,f(0)=2sin =2× =1,所以正确, 6 2 ( π) π π kπ 对B,令f(x)=2sin 2x+ =0,则2x+ =kπ,k∈Z,所以x=− + ,k∈Z,即f(x)的对称中 6 6 12 2 π kπ 心为(− + ,0),k∈Z,故B错误; 12 2 π π π kπ π kπ 对C,令2x+ = +kπ,k∈Z,即x= + ,k∈Z,令 + =π,则k∉Z,故C错误 6 2 6 2 6 2 对D,将f(x)的图像向左平移 π 个单位长度后,得到g(x)=2sin [ 2 ( x+ π )+ π] =2sin ( 2x+ π ) 的图 12 12 6 3 像,该函数不是偶函数,故D错误.故选:A. π 8.(5分)(2022·黑龙江·高三阶段练习)已知函数f (x)=sin(2ωx+φ) ( ω>0,0<φ< ) 的部分图象如 2 图所示,则下列结论正确的是( ) π A.f (x)的图象关于点 (- ,0) 对称 3 [ π] √3 B.f (x)在区间 0, 的最小值为- 2 2 [ π] C.f (x)在[0,π]上的单调递增区间为 0, 6 1 1 D.将f (x)图象的横坐标变为原来的 (t>0)倍,纵坐标不变得到函数g(x),若g(x)= 在[0,π]上有且只 t 2 4 有三个不等实根,则1≤t< 3 【解题思路】由图象求出f (x)的解析式,再结合三角函数的性质与图像逐项分析即得. 1 【解答过程】由图可知,f (0)=sinφ= , 2 π π 又0<φ< ,所以φ= , 2 6 4π π 3π 所以由五点作图法可知ω⋅ + = , 3 6 2 得ω=1, π 所以f (x)=sin(2x+ ) , 6 π 2π π 对于A,由f (- )=sin(- + )=-1,所以A错误; 3 3 6对于B,当x∈ [ 0, π ] 时,2x+ π ∈ [π , 7π ] ,所以- 1 ≤sin(2x+ π )≤1, 2 6 6 6 2 6 [ π ] 1 所以f (x)在区间 0, 的最小值为- ,所以B错误; 2 2 π [π 13π ] 对于C,当x∈[0,π],则2x+ ∈ , , 6 6 6 π [π π ] [ π ] π [ 13π ] [11π ] 由2x+ ∈ , ,可得x∈ 0, ,由2x+ ∈ 2π, ,可得x∈ ,π , 6 6 2 6 6 6 12 [ π ] [11π ] 所以f (x)在[0,π]上的单调递增区间为 0, , ,π ,故C错误; 6 12 π 1 对于D,由题可得g(x)=sin(2tx+ ) ,因为g(x)= 在[0,π]上有且只有三个不等实根, 6 2 π 1 所以sin(2tx+ )= 在[0,π]上有且只有三个不等实根, 6 2 π [π π ] 由x∈[0,π],可得2tx+ ∈ ,2tπ+ , 6 6 6 作出正弦函数的图象, π π 5π 4 由图象可知2π+ ≤2tπ+ <2π+ ,即1≤t< ,故D正确. 6 6 6 3 故选:D. 二.多选题(共4小题,满分20分,每小题5分) 1 9.(5分)(2022·湖南·高三阶段练习)已知函数f(x)=cosωπx(ω>0),将f(x)的图象向右平移 个 3ω 单位长度后得到函数g(x)的图象,点A,B,C是f(x)与g(x)图象的连续相邻的三个交点,若△ABC是 锐角三角形,则ω的值可能为( ) 2 1 √3 A. B. C. D.√3 3 4 3 ( 1 ) ( π) 【解题思路】先由平移变换得到g(x)=cosωπ x− =cos ωπx− ,再同一坐标系中作出f(x)和 3ω 3g(x)的图象,求得两图象的相邻交点A,B,C的纵坐标,根据△ABC是锐角三角形求解. 1 【解答过程】解:f(x)=cosωπx(ω>0)向右平移 个单位长度后得到, 3ω ( 1 ) ( π) 函数g(x)=cosωπ x− =cos ωπx− , 3ω 3 如图所示: 2π 2 AC=T= = , ωπ ω ( π) 1 √3 由cosωπx=cos ωπx− = cosωπx+ sinωπx, 3 2 2 √3 得cosωπx=√3sinωπx,解得cosωπx=± , 2 √3 √3 则y = y = ,y =− , A C 2 B 2 又BD=2|y |=√3,且△ABC是锐角三角形, B BD √3ω 所以tan∠ACB= = >1, DC 1 √3 则ω> , 3 故选:AD. 1 π 10.(5分)(2022·山东·高三阶段练习)将函数f (x)= sinx图象向右平移 个单位长度,然后纵坐标不 2 3 1 变,横坐标变为原来的 倍,得到g(x)的图象,则下列四个结论中正确的是( ) 2 [ π π] [ 1 √3] A.函数g(x)在 , 上的值域为 − , 12 2 4 4 (π ) B.函数g(x)的图象关于点 ,0 中心对称 6[ π π] C.函数g(x)在区间 − , 上为增函数 3 6 (π) 1 D.g = 4 4 1 π 【解题思路】由图像平移伸缩变换可得g(x)= sin(2x− ),根据换元法求值域可判断A,根据整体代 2 3 入法可判断BC,根据三角函数求值可判断D. 1 π 【解答过程】函数f (x)= sinx图象向右平移 个单位长度, 2 3 ( π) 1 π 1 得到f x− = sin(x− ),然后纵坐标不变,横坐标变为原来的 倍, 3 2 3 2 1 π 得到g(x)= sin(2x− ). 2 3 [ π π] π π 2π π π 1 对于A,x∈ , ,则2x− ∈[− , ],当2x− = 时,g(x)有最大值 , 12 2 3 6 3 3 2 2 π π 1 1 1 当2x− =− ,g(x)有最小值− ,故g(x)的值域为[− , ],A错误; 3 6 4 4 2 π (π ) 对于B,有g( )=0,所以函数g(x)的图象关于点 ,0 中心对称,B正确; 6 6 π π π π 5π 对于C,令2kπ− ≤2x− ≤2kπ+ ,得kπ− ≤x≤kπ+ ,k∈Z, 2 3 2 12 12 π 5π 当k=0时,g(x)在[− , ]上单调递增,C错误; 12 12 (π) 1 π 1 对于D,g = sin = ,D正确. 4 2 6 4 故选:BD. π 11.(5分)(2022·江苏省高三阶段练习)已知函数f(x)=Asin(ωx+φ) ( A>0,ω>0,|φ|< ) 的部分 2 图象如图所示,下列说法正确的是( )π A.函数y=f (x)的周期为 2 19π B.函数y=f (x)的图象关于直线x= 对称 12 [ 2π π] C.函数y=f (x)在区间 − ,− 上单调递增 3 6 D.函数y=f (x)−1在区间[0,2π]上有4个零点 2π π 【解题思路】由图象得到A=2,T=π,从而求出ω= =2,再代入特殊点坐标,结合|φ|< 求出 T 2 π π φ= ,得到f(x)=2sin(2x+ ),A错误; 3 3 (19π ) 求出f =−2,B正确; 12 [ 2π π] 代入检验得到函数在 − ,− 上不单调,C错误; 3 6 π 1 将y=f (x)−1的零点问题转化为y=sin ( 2x+ ) 与y= 交点个数问题,画出两函数图象,数形结合得到 3 2 零点个数. 1 π π π 【解答过程】由图象可知:A=2, T= − = ,解得:T=π,即最小正周期为π,A错误; 4 3 12 4 2π 所以ω= =2, T 故f(x)=2sin(2x+φ), π π 将 ( ,2 ) 代入f(x)=2sin(2x+φ)中,得2sin ( 2× +φ )=2, 12 12 π π 因为|φ|< ,解得:φ= , 2 3π 所以f(x)=2sin(2x+ ), 3 19π (19π ) ( 19π π) 当x= 时,f =2sin 2× + =−2, 12 12 12 3 19π 故函数y=f (x)的图象关于直线x= 对称,B正确; 12 [ 2π π] π 当x∈ − ,− 时,z=2x+ ∈[−π,0],由于y=sinz在[−π,0]上不单调, 3 6 3 [ 2π π] 所以y=f (x)在区间 − ,− 上不单调,C错误; 3 6 π 1 令f (x)−1=0,得sin ( 2x+ )= , 3 2 π 1 故f (x)−1=0的零点为y=sin ( 2x+ ) 与y= 交点个数问题, 3 2 π [π 13π] 当x∈[0,2π]时,z=2x+ ∈ , , 3 3 3 1 画出y=sinz与y= 的图象,如下: 2 1 与y= 有4个交点,故函数在区间[0,2π]上有4个零点,D正确. 2 故选:BD. 12.(5分)(2022·湖北·高三期中)水车是我国劳动人民创造发明的一种灌溉工具,作为中国农耕文化的 组成部分,充分体现了中华民族的创造力,见证了中国农业文明.水车的外形酷似车轮,在轮的边缘装有 若干个水斗,借助水势的运动惯性冲动水车缓缓旋转,将水斗内的水逐级提升.如图,某水车轮的半径为 6米,圆心距水面的高度为4米,水车按逆时针方向匀速转动,每分钟转动2圈,当其中的一个水斗A到达 最高点时开始计时,设水车转动t(分钟)时水斗A距离水面的高度(水面以上为正,水面以下为负)为 f (t)(米),下列选项正确的是( )π A.f (t)=6cos4πt+4(t≥0) B.f (t)=6sin (πt+ )+4(t≥0) 2 1 C.若水车的转速减半,则其周期变为原来的 D.在旋转一周的过程中,水斗A距离水面高度不低于7 2 米的时间为10秒 【解题思路】根据余弦函数,结合三角函数的性质依次判断选项即可. 【解答过程】由题意得,如图,BE⊥x轴,BE⊥CD, 点A经过t分钟后到达点B,则BE为点B到水面的距离,且BE=BD+4, 60s 2π 因为每分钟转2圈,所以T= =0.5min,得角速度ω= =4π, 2 T BD 故∠ACB=4πt,又cos∠ACB=cos∠CBD= , CB 所以BD=6cos4πt,所以BE=BD+4 =6cos4πt+4, 即f(t)=6cos4πt+4 (t≥0).故A正确,B错误; 若水车的转速减半,则每分钟转动1圈,所以周期变为原来的2倍,因此C错误; 1 令f(t)=6cos4πt+4=7,得cos4πt= , 2 π 5π 解得4πt= +2kπ或4πt= +2kπ,k∈Z, 3 3 1 5 当k=0时,t= min=5s或t= min=25s, 12 12 即旋转一周的过程中(30s),有25−5=20s,水斗A距离水面高度低于7米, 所以有30−20=10s的时间不低于7米,故D正确. 故选:AD.三.填空题(共4小题,满分20分,每小题5分) π π 5π 13.(5分)(2021·全国·高一课时练习)用五点法画出y=2sin(2x+ )在[− , ]内的图象时,应 3 6 6 π π π 7π 5π 取的五个点为 (− ,0)、( ,2)、( ,0)、( ,−2)、( ,0) . 6 12 3 12 6 【解题思路】利用正弦函数的五点法作函数y=Asin(ωx+φ)的图象. π 1 π π 5π 【解答过程】由题意可知,令X=2x+ ,则x= (X− ),x∈[− , ],列表,描点. 3 2 3 6 6 π x − π π 7π 5π 6 12 3 12 6 0 π π 3π X 2π 2 2 y 0 2 0 ﹣2 0 作图:π π π 7π 5π 由列表可得,应取的五个点为 (− ,0)、( ,2)、( ,0)、( ,−2)、( ,0), 6 12 3 12 6 π π π 7π 5π 故答案为:(− ,0)、( ,2)、( ,0)、( ,−2)、( ,0). 6 12 3 12 6 ( π) 14.(5分)(2022·北京市高一阶段练习)函数f (x)=Asin(ωx+φ), A>0,ω>0,|φ|< 的部分 2 ( π) 图象如图所示,则函数f (x)的解析式为 f (x)=2sin 2x- . 6 T π (π ) 【解题思路】由图可得A=2, = ,即可求出ω,再根据函数过点 ,2 求出φ,即可求出函数解析式; 2 2 3 T π ( π) π 【解答过程】解:由图可知A=2, = - - = ,所以T=π, 2 3 6 2 2π 又T= ,所以ω=2, ω(π ) (π) ( 2π ) 所以f (x)=2sin(2x+φ),又函数过点 ,2 ,所以f =2sin +φ =2, 3 3 3 2π π π π 所以 +φ= +2kπ,k∈Z,解得φ=- +2kπ,k∈Z,因为|φ|< , 3 2 6 2 π ( π) 所以φ=- ,所以f (x)=2sin 2x- ; 6 6 ( π) 故答案为:f (x)=2sin 2x- . 6 15.(5分)(2022·全国·高一单元测试)一半径为4m的水车,水车圆心O距离水面2m,已知水车每分钟 转动(按逆时针方向)3圈,当水车上P点从水中浮现时开始计时,即从图中P 点开始计算时间,当t=10 0 秒时,点P离水面的高度是 4 m. 【解题思路】根据匀速圆周运动的数学模型进行求解. 【解答过程】因为OP =4,圆心O到水面的距离为2, 0 所以P 到x轴的距离为2, 0 π 所以x轴与OP 所成角为 , 0 6 6π π 由题知水车转动的角速度为 = rad/s 60 10 因为水车的半径为4,设P点到水面的距离为y, 根据匀速圆周运动的数学模型有: π π y=4sin( t− )+2 10 6 当t=10秒时,y=4,所以点P离水面的高度是4m. 故答案为:4. π 16.(5分)(2022·全国·高三专题练习)将函数f (x)=2cosx的图象先向左平移 个单位长度,再把所得 61 (π 3π) 函数图象的横坐标变为原来的 (ω>0)倍,纵坐标不变,得到函数g(x)的图象.若g(x)在 , 上没 2ω 4 4 ( 2] [2 8] 有零点,则ω的取值范围 0, ∪ , . 9 3 9 【解题思路】先根据图象的变换求出g(x),进而结合三角函数的图象和性质求得答案. ( π) 【解答过程】解:由题意,g(x)=2cos 2ωx+ (ω>0), 6 (π 3π) T π 3π π π 因为g(x)在 , 上没有零点,所以半周期 = ≥ − = ,即0<ω≤1, 4 4 2 2ω 4 4 2 (π 3π) π (π π 3π π) π π (π 2π) 因为x∈ , ,所以2ωx+ ∈ ω+ , ω+ , ω+ ∈ , , 4 4 6 2 6 2 6 2 6 6 3 所以, ¿或¿, 2 2 8 解得:0<ω≤ 或 ≤ω≤ 9 3 9 ( 2] [2 8] 所以,ω的取值范围是 0, ∪ , 9 3 9 ( 2] [2 8] 故答案为: 0, ∪ , . 9 3 9 四.解答题(共6小题,满分70分) π 17.(10分)(2022·全国·高一单元测试)已知函数f (x)=2sin ( 2x+ ) . 6(1)用“五点法”在给定的坐标系中,画出函数f (x)在[0,π]上的大致图像,并写出y=f (x)图像的对称中 心; π (2)先将函数y=f (x)的图像向右平移 个单位长度后,再将得到的图像上各点的横坐标伸长为原来的4倍, 6 纵坐标不变,得到函数y=g(x)的图像,求g(x)在[0,π]上的值域. 【解题思路】(1)通过列表得函数f (x)在[0,π]内的关键点以及端点值,在所给的坐标系中,描点连线画 出草图,并写出其对称中心; (2)根据函数图像变换规则,求出函数y=g(x)的表达式,通过整体代换法,求出其在[0,π]上的值域. 【解答过程】(1) 列表: π 5π 2π 11π x 0 π 6 12 3 12 π π π 3π 13π 2x+ π 2π 6 6 2 2 6 y 1 2 0 −2 0 1 描点,连线,画出f (x)在[0,π]上的大致图像如图:(kπ 5π ) 由图可知函数y=f (x)图像的对称中心为 + ,0 (k∈Z); 2 12 (2) π 将函数y=f (x)的图像向右平移 个单位长度后, 6 得到 y=2sin [ 2 ( x− π )+ π] =2sin ( 2x− π )的图像, 6 6 6 再将得到的图像上各点的横坐标伸长为原来的4倍,纵坐标不变,得到函数y=g(x)的图像, (1 π) 所以,g(x)=2sin x− , 2 6 π 1 π π 当x∈[0,π]时,− ≤ x− ≤ , 6 2 6 3 函数g(x)单调递增,而g(0)=−1,g(π)=√3, 所以函数g(x)在[0,π]上的值域为[−1,√3]. 18.(12分)(2022·福建省高三阶段练习)已知函数y= √2 sin( π -x )+ √6 cos( π -x )的图象向右 4 12 4 12 π 平移 个单位后得到函数y=f (x)的图象. 6 [π 3π ] (1)求函数f (x)在区间 , 上的最值; 4 2 4 3π π (2)若cosθ= ,θ∈( ,2π),求f (2θ+ )的值. 5 2 3 【解题思路】(1)利用辅助角公式进行化简,然后结合正弦函数的性质即可求解; (2)由已知结合同角三角函数的基本关系式及三角恒等变换公式进行化简即可求解. 【解答过程】(1) ∵y= √2 sin( π -x )+ √6 cos( π -x )= √2[1 sin( π -x )+ √3 cos( π -x )] 4 12 4 12 2 2 12 2 12 = √2 sin( π -x+ π )=- √2 sin( x- 5π ) 2 12 3 2 12 ∴函数y= √2 sin( π -x )+ √6 cos( π -x ) 的图象向右平移 π 个单位后得到函数 4 12 4 12 6 y=f (x)=- √2 sin( x- π - 5π ) ,即f (x)=- √2 sin( x- 7π ) , 2 6 12 2 12[π 3π ] 7π [ π 11π ] 又x∈ , ,所以x- ∈ - , , 4 2 12 3 12 故sin( x- 7π )∈ [ - √3 ,1 ] ,所以- √2 sin( x- 7π )∈ [ - √2 , √6] , 12 2 2 12 2 4 [π 3π ] √6 √2 所以函数f (x)在区间 , 上的最大值为 ,最小值为- ; 4 2 4 2 (2) 4 3π 3 因为cosθ= ,θ∈( ,2π) ,所以sinθ=-√1-cos2θ=- , 5 2 5 24 16 9 7 所以sin2θ=2sinθcosθ=- ,cos2θ=cos2θ-sin2θ= - = , 25 25 25 25 所以f (2θ+ π )=- √2 sin(2θ+ π - 7π )=- √2 sin(2θ- π ) 3 2 3 12 2 4 =- √2 (sin2θcos π -cos2θsin π )= √2 × √2 (cos2θ-sin2θ) = 1 ( 7 + 24 )= 31 . 2 4 4 2 2 2 25 25 50 π 19.(12分)(2022·新疆·高三阶段练习(文))已知函数f(x)=Asin(ωx+φ) ( A>0,ω>0,|φ|< ) 2 的部分图象如图所示. (1)求函数f(x)的解析式; (2)若先将函数f(x)图象上所有点的横坐标伸长到原来的4倍(纵坐标不变),得到函数m(x)的图象;再 π [ 2π] 把图象m(x)上所有点向左平行移动 个单位长度,得到函数g(x)的图象.求函数g(x)在 −π, 上 3 3 的值域. 【解题思路】(1)根据图像信息结合A、ω、 φ的范围,分别求出A、ω、 φ,即可得到函数f(x)的解 析式; [ 2π] (2)先根据平移伸缩变换得到g(x)的表达式,再求函数g(x)在区间 −π, 的最小值,即可得到实 3 数m的取值范围.【解答过程】(1)由f (x)的部分图象可知A=2, T 5π π π 2π = − = ,可得T=π,所以ω= =2, 4 12 6 4 T π π π 由五点作图法可得2× +φ= ,解得φ= , 6 2 6 π 所以函数f (x)的解析式为f (x)=2sin ( 2x+ ) . 6 (2)若先将函数f (x)图象上所有点的横坐标伸长到原来的4倍(纵坐标不变),得到函数 (1 π) π m(x)=2sin x+ 的图象,再把后者图象上所有点向左平行移动 个单位长度, 2 6 3 (1 1 π π) (1 π) 得到函数g(x)=2sin x+ × + =2sin x+ 的图象. 2 2 3 6 2 3 [ 2π] 1 π [ π 2π] (1 π) [ 1 ] 当x∈ −π, 时, x+ ∈ − , ,sin x+ ∈ − ,1 , 3 2 3 6 3 2 3 2 [ 2π] 所以g(x)∈[−1,2].所以函数g(x)在 −π, 上的值域为[−1,2]. 3 20.(12分)(2022·全国·高一)我国明朝科学家宋应星所著《天工开物》中记载了水车,水车是古代中 国劳动人民发明的灌溉工具,体现了中华民族的创造力.如图是水车示意图,其半径为6m,中心O距水 面3m,一水斗从水面处的点P 处出发,逆时针匀速旋转,80s转动一周,经t秒后,水斗旋转到点P处, 0 此时水斗距离水面高度为h. (1)以O为坐标原点,以过点O且与水面垂直的直线为y轴,建立如图所示的直角坐标系,试将点P距离水 面的高度h(单位:m)表示为时间t(单位:s)的函数; (2)此水斗经过多长时间后再次到达水面?在旋转一周的过程中,水斗位于水下的时间是多少? 【解题思路】(1)求出ts时刻对应的以x轴非负半轴为始边,OP为终边的角,再利用三角函数定义求解 作答. (2)由(1)的结论,求 ℎ =0的解即可推理作答. 【解答过程】(1)π 依题意,当t=0时,以x轴非负半轴为始边,OP 为终边的角是− , 0 6 2π π 因80s转动一周,则水斗转动的角速度为ω= = , 80 40 π π π 因此,水斗转动ts到点P时的角为ωt= t,以x轴非负半轴为始边,OP为终边的角是 t− , 40 40 6 π π π π 于是得点P的纵坐标为6sin( t− ),则 ℎ =6sin( t− )+3, 40 6 40 6 π π 所以所求函数关系为:ℎ =6sin( t− )+3(t≥0). 40 6 (2) π π π π 1 由(1)令 ℎ =6sin( t− )+3=0,即sin( t− )=− ,当再次到达水面时,00,ω>0,|φ|< )的部分图象如图所示, 2 (1)求函数f (x)的解析式和单调递减区间; [ π π] (2)若函数g(x)=f (x)-m在 - , 上有两个不同的零点x ,x ,求实数m的取值范围,并计算 4 4 1 2 cos(x +x )的值. 1 2 π 【解题思路】(1)根据函数图象先确定A的值,将点(0,1)代入函数解析式求得φ= ,利用点 611π ( ,0)结合五点法求得ω=2,可得函数解析式,利用正弦函数的单调性求得函数单调减区间; 12 [ π π ] [ π π ] (2)作出函数y=f (x)在 - , 上的图象,数形结合,根据y=f (x),x∈ - , 和y=m 的 4 4 4 4 图象有两个不同交点,确定m的范围,结合函数对称性,求得x +x 的值,即得cos(x +x )的值. 1 2 1 2 【解答过程】(1) 1 由函数图象可知A=2,由图象过(0,1)点,可得f (0)=2sinφ=1,∴sinφ= , 2 π π 因为|φ|< ,故φ= , 2 6 11π 由函数图象过点( ,0)结合五点法可知,该点对应函数y=sinx的图象中的点(2π,0), 12 11π π 故ω⋅ + =2π,∴ω=2, 12 6 π 故函数f (x)的解析式为f (x)=2sin(2x+ ); 6 π π 3π π 2π 令 +2kπ≤2x+ ≤ +2kπ,k∈Z,即得 +kπ≤x≤ +kπ,k∈Z, 2 6 2 6 3 π 2π 即函数单调递减区间为[ +kπ, +kπ],k∈Z; 6 3 (2) [ π π] 作出函数y=f (x)在 - , 上的图象, 4 4 π π π 当x= 时,f ( )=√3,且f ( )=2, 4 4 6 [ π π] 函数g(x)=f (x)-m在 - , 上有两个不同的零点x ,x , 4 4 1 2 [ π π] 即y=f (x),x∈ - , 和y=m 的图象有两个不同交点, 4 4π 由图象可知√3≤m<2 ,不妨设x 0)的相邻两对称轴间的距离为 π . 6 2 12 2 (1)求f(x)的解析式. π 1 (2)将函数f(x)的图象向右平移 个单位长度,再把横坐标缩小为原来的 (纵坐标变),得到函数 6 2 π π y=g(x)的图象,当x∈[− , ]时,求函数g(x)的值域. 12 6 π 4π (3)对于第(2)问中的函数g(x),记方程g(x)=m(m∈R)在x∈[ , ]上的根从小到依次为 6 3 x