当前位置:首页>文档>第21练函数y=Asin(ωx+φ)的图象性质及其应用(精练:基础+重难点)一轮复习讲义2024年高考数学高频考点题型归纳与方法总结(新高考通用)解析版_02高考数学_新高考复习资料

第21练函数y=Asin(ωx+φ)的图象性质及其应用(精练:基础+重难点)一轮复习讲义2024年高考数学高频考点题型归纳与方法总结(新高考通用)解析版_02高考数学_新高考复习资料

  • 2026-04-18 06:06:16 2026-04-18 05:54:28

文档预览

第21练函数y=Asin(ωx+φ)的图象性质及其应用(精练:基础+重难点)一轮复习讲义2024年高考数学高频考点题型归纳与方法总结(新高考通用)解析版_02高考数学_新高考复习资料
第21练函数y=Asin(ωx+φ)的图象性质及其应用(精练:基础+重难点)一轮复习讲义2024年高考数学高频考点题型归纳与方法总结(新高考通用)解析版_02高考数学_新高考复习资料
第21练函数y=Asin(ωx+φ)的图象性质及其应用(精练:基础+重难点)一轮复习讲义2024年高考数学高频考点题型归纳与方法总结(新高考通用)解析版_02高考数学_新高考复习资料
第21练函数y=Asin(ωx+φ)的图象性质及其应用(精练:基础+重难点)一轮复习讲义2024年高考数学高频考点题型归纳与方法总结(新高考通用)解析版_02高考数学_新高考复习资料
第21练函数y=Asin(ωx+φ)的图象性质及其应用(精练:基础+重难点)一轮复习讲义2024年高考数学高频考点题型归纳与方法总结(新高考通用)解析版_02高考数学_新高考复习资料
第21练函数y=Asin(ωx+φ)的图象性质及其应用(精练:基础+重难点)一轮复习讲义2024年高考数学高频考点题型归纳与方法总结(新高考通用)解析版_02高考数学_新高考复习资料
第21练函数y=Asin(ωx+φ)的图象性质及其应用(精练:基础+重难点)一轮复习讲义2024年高考数学高频考点题型归纳与方法总结(新高考通用)解析版_02高考数学_新高考复习资料
第21练函数y=Asin(ωx+φ)的图象性质及其应用(精练:基础+重难点)一轮复习讲义2024年高考数学高频考点题型归纳与方法总结(新高考通用)解析版_02高考数学_新高考复习资料
第21练函数y=Asin(ωx+φ)的图象性质及其应用(精练:基础+重难点)一轮复习讲义2024年高考数学高频考点题型归纳与方法总结(新高考通用)解析版_02高考数学_新高考复习资料
第21练函数y=Asin(ωx+φ)的图象性质及其应用(精练:基础+重难点)一轮复习讲义2024年高考数学高频考点题型归纳与方法总结(新高考通用)解析版_02高考数学_新高考复习资料
第21练函数y=Asin(ωx+φ)的图象性质及其应用(精练:基础+重难点)一轮复习讲义2024年高考数学高频考点题型归纳与方法总结(新高考通用)解析版_02高考数学_新高考复习资料
第21练函数y=Asin(ωx+φ)的图象性质及其应用(精练:基础+重难点)一轮复习讲义2024年高考数学高频考点题型归纳与方法总结(新高考通用)解析版_02高考数学_新高考复习资料
第21练函数y=Asin(ωx+φ)的图象性质及其应用(精练:基础+重难点)一轮复习讲义2024年高考数学高频考点题型归纳与方法总结(新高考通用)解析版_02高考数学_新高考复习资料
第21练函数y=Asin(ωx+φ)的图象性质及其应用(精练:基础+重难点)一轮复习讲义2024年高考数学高频考点题型归纳与方法总结(新高考通用)解析版_02高考数学_新高考复习资料
第21练函数y=Asin(ωx+φ)的图象性质及其应用(精练:基础+重难点)一轮复习讲义2024年高考数学高频考点题型归纳与方法总结(新高考通用)解析版_02高考数学_新高考复习资料
第21练函数y=Asin(ωx+φ)的图象性质及其应用(精练:基础+重难点)一轮复习讲义2024年高考数学高频考点题型归纳与方法总结(新高考通用)解析版_02高考数学_新高考复习资料
第21练函数y=Asin(ωx+φ)的图象性质及其应用(精练:基础+重难点)一轮复习讲义2024年高考数学高频考点题型归纳与方法总结(新高考通用)解析版_02高考数学_新高考复习资料
第21练函数y=Asin(ωx+φ)的图象性质及其应用(精练:基础+重难点)一轮复习讲义2024年高考数学高频考点题型归纳与方法总结(新高考通用)解析版_02高考数学_新高考复习资料
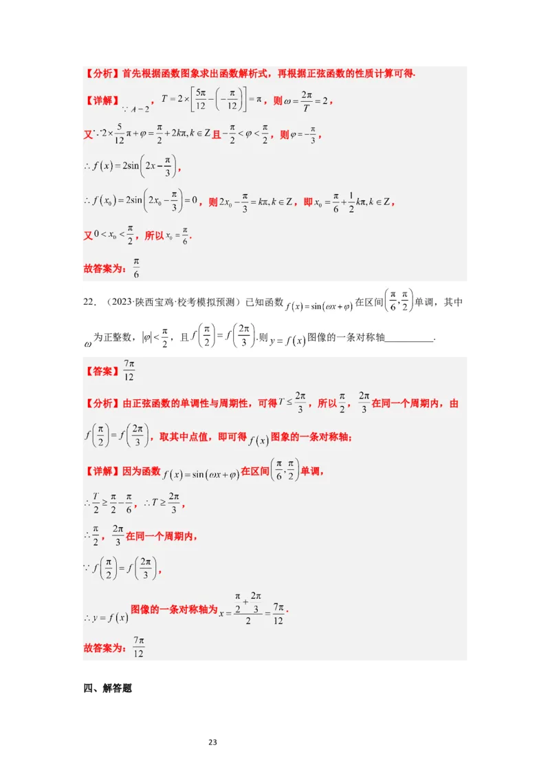
第21练函数y=Asin(ωx+φ)的图象性质及其应用(精练:基础+重难点)一轮复习讲义2024年高考数学高频考点题型归纳与方法总结(新高考通用)解析版_02高考数学_新高考复习资料
第21练函数y=Asin(ωx+φ)的图象性质及其应用(精练:基础+重难点)一轮复习讲义2024年高考数学高频考点题型归纳与方法总结(新高考通用)解析版_02高考数学_新高考复习资料
第21练函数y=Asin(ωx+φ)的图象性质及其应用(精练:基础+重难点)一轮复习讲义2024年高考数学高频考点题型归纳与方法总结(新高考通用)解析版_02高考数学_新高考复习资料
第21练函数y=Asin(ωx+φ)的图象性质及其应用(精练:基础+重难点)一轮复习讲义2024年高考数学高频考点题型归纳与方法总结(新高考通用)解析版_02高考数学_新高考复习资料
第21练函数y=Asin(ωx+φ)的图象性质及其应用(精练:基础+重难点)一轮复习讲义2024年高考数学高频考点题型归纳与方法总结(新高考通用)解析版_02高考数学_新高考复习资料
第21练函数y=Asin(ωx+φ)的图象性质及其应用(精练:基础+重难点)一轮复习讲义2024年高考数学高频考点题型归纳与方法总结(新高考通用)解析版_02高考数学_新高考复习资料
第21练函数y=Asin(ωx+φ)的图象性质及其应用(精练:基础+重难点)一轮复习讲义2024年高考数学高频考点题型归纳与方法总结(新高考通用)解析版_02高考数学_新高考复习资料
第21练函数y=Asin(ωx+φ)的图象性质及其应用(精练:基础+重难点)一轮复习讲义2024年高考数学高频考点题型归纳与方法总结(新高考通用)解析版_02高考数学_新高考复习资料
第21练函数y=Asin(ωx+φ)的图象性质及其应用(精练:基础+重难点)一轮复习讲义2024年高考数学高频考点题型归纳与方法总结(新高考通用)解析版_02高考数学_新高考复习资料
第21练函数y=Asin(ωx+φ)的图象性质及其应用(精练:基础+重难点)一轮复习讲义2024年高考数学高频考点题型归纳与方法总结(新高考通用)解析版_02高考数学_新高考复习资料
第21练函数y=Asin(ωx+φ)的图象性质及其应用(精练:基础+重难点)一轮复习讲义2024年高考数学高频考点题型归纳与方法总结(新高考通用)解析版_02高考数学_新高考复习资料
第21练函数y=Asin(ωx+φ)的图象性质及其应用(精练:基础+重难点)一轮复习讲义2024年高考数学高频考点题型归纳与方法总结(新高考通用)解析版_02高考数学_新高考复习资料
第21练函数y=Asin(ωx+φ)的图象性质及其应用(精练:基础+重难点)一轮复习讲义2024年高考数学高频考点题型归纳与方法总结(新高考通用)解析版_02高考数学_新高考复习资料
第21练函数y=Asin(ωx+φ)的图象性质及其应用(精练:基础+重难点)一轮复习讲义2024年高考数学高频考点题型归纳与方法总结(新高考通用)解析版_02高考数学_新高考复习资料
第21练函数y=Asin(ωx+φ)的图象性质及其应用(精练:基础+重难点)一轮复习讲义2024年高考数学高频考点题型归纳与方法总结(新高考通用)解析版_02高考数学_新高考复习资料
第21练函数y=Asin(ωx+φ)的图象性质及其应用(精练:基础+重难点)一轮复习讲义2024年高考数学高频考点题型归纳与方法总结(新高考通用)解析版_02高考数学_新高考复习资料
第21练函数y=Asin(ωx+φ)的图象性质及其应用(精练:基础+重难点)一轮复习讲义2024年高考数学高频考点题型归纳与方法总结(新高考通用)解析版_02高考数学_新高考复习资料
第21练函数y=Asin(ωx+φ)的图象性质及其应用(精练:基础+重难点)一轮复习讲义2024年高考数学高频考点题型归纳与方法总结(新高考通用)解析版_02高考数学_新高考复习资料
第21练函数y=Asin(ωx+φ)的图象性质及其应用(精练:基础+重难点)一轮复习讲义2024年高考数学高频考点题型归纳与方法总结(新高考通用)解析版_02高考数学_新高考复习资料
第21练函数y=Asin(ωx+φ)的图象性质及其应用(精练:基础+重难点)一轮复习讲义2024年高考数学高频考点题型归纳与方法总结(新高考通用)解析版_02高考数学_新高考复习资料
第21练函数y=Asin(ωx+φ)的图象性质及其应用(精练:基础+重难点)一轮复习讲义2024年高考数学高频考点题型归纳与方法总结(新高考通用)解析版_02高考数学_新高考复习资料
第21练函数y=Asin(ωx+φ)的图象性质及其应用(精练:基础+重难点)一轮复习讲义2024年高考数学高频考点题型归纳与方法总结(新高考通用)解析版_02高考数学_新高考复习资料
第21练函数y=Asin(ωx+φ)的图象性质及其应用(精练:基础+重难点)一轮复习讲义2024年高考数学高频考点题型归纳与方法总结(新高考通用)解析版_02高考数学_新高考复习资料
第21练函数y=Asin(ωx+φ)的图象性质及其应用(精练:基础+重难点)一轮复习讲义2024年高考数学高频考点题型归纳与方法总结(新高考通用)解析版_02高考数学_新高考复习资料
第21练函数y=Asin(ωx+φ)的图象性质及其应用(精练:基础+重难点)一轮复习讲义2024年高考数学高频考点题型归纳与方法总结(新高考通用)解析版_02高考数学_新高考复习资料
第21练函数y=Asin(ωx+φ)的图象性质及其应用(精练:基础+重难点)一轮复习讲义2024年高考数学高频考点题型归纳与方法总结(新高考通用)解析版_02高考数学_新高考复习资料
第21练函数y=Asin(ωx+φ)的图象性质及其应用(精练:基础+重难点)一轮复习讲义2024年高考数学高频考点题型归纳与方法总结(新高考通用)解析版_02高考数学_新高考复习资料
第21练函数y=Asin(ωx+φ)的图象性质及其应用(精练:基础+重难点)一轮复习讲义2024年高考数学高频考点题型归纳与方法总结(新高考通用)解析版_02高考数学_新高考复习资料
第21练函数y=Asin(ωx+φ)的图象性质及其应用(精练:基础+重难点)一轮复习讲义2024年高考数学高频考点题型归纳与方法总结(新高考通用)解析版_02高考数学_新高考复习资料
第21练函数y=Asin(ωx+φ)的图象性质及其应用(精练:基础+重难点)一轮复习讲义2024年高考数学高频考点题型归纳与方法总结(新高考通用)解析版_02高考数学_新高考复习资料
第21练函数y=Asin(ωx+φ)的图象性质及其应用(精练:基础+重难点)一轮复习讲义2024年高考数学高频考点题型归纳与方法总结(新高考通用)解析版_02高考数学_新高考复习资料
第21练函数y=Asin(ωx+φ)的图象性质及其应用(精练:基础+重难点)一轮复习讲义2024年高考数学高频考点题型归纳与方法总结(新高考通用)解析版_02高考数学_新高考复习资料
第21练函数y=Asin(ωx+φ)的图象性质及其应用(精练:基础+重难点)一轮复习讲义2024年高考数学高频考点题型归纳与方法总结(新高考通用)解析版_02高考数学_新高考复习资料
第21练函数y=Asin(ωx+φ)的图象性质及其应用(精练:基础+重难点)一轮复习讲义2024年高考数学高频考点题型归纳与方法总结(新高考通用)解析版_02高考数学_新高考复习资料
第21练函数y=Asin(ωx+φ)的图象性质及其应用(精练:基础+重难点)一轮复习讲义2024年高考数学高频考点题型归纳与方法总结(新高考通用)解析版_02高考数学_新高考复习资料
第21练函数y=Asin(ωx+φ)的图象性质及其应用(精练:基础+重难点)一轮复习讲义2024年高考数学高频考点题型归纳与方法总结(新高考通用)解析版_02高考数学_新高考复习资料
第21练函数y=Asin(ωx+φ)的图象性质及其应用(精练:基础+重难点)一轮复习讲义2024年高考数学高频考点题型归纳与方法总结(新高考通用)解析版_02高考数学_新高考复习资料
第21练函数y=Asin(ωx+φ)的图象性质及其应用(精练:基础+重难点)一轮复习讲义2024年高考数学高频考点题型归纳与方法总结(新高考通用)解析版_02高考数学_新高考复习资料

文档信息

文档格式
docx
文档大小
2.690 MB
文档页数
52 页
上传时间
2026-04-18 05:54:28

文档内容

【一轮复习讲义】2024年高考数学高频考点题型归纳与方法总结(新高考通 用) 第 21 练 函数 y=Asin(ωx+φ)的图象性质及其应用 (精练) 刷真题 明导向 一、单选题 1.(2022·浙江·统考高考真题)为了得到函数 的图象,只要把函数 图象上所有的点( ) A.向左平移 个单位长度 B.向右平移 个单位长度 C.向左平移 个单位长度 D.向右平移 个单位长度 【答案】D 【分析】根据三角函数图象的变换法则即可求出. 【详解】因为 ,所以把函数 图象上的所 有点向右平移 个单位长度即可得到函数 的图象. 故选:D. 2.(2021·全国·统考高考真题)把函数 图像上所有点的横坐标缩短到原来的 倍, 纵坐标不变,再把所得曲线向右平移 个单位长度,得到函数 的图像,则 ( ) A. B. C. D. 【答案】B 【分析】解法一:从函数 的图象出发,按照已知的变换顺序,逐次变换,得到 ,即得 ,再利用换元思想求得 的解析 表达式; 解法二:从函数 出发,逆向实施各步变换,利用平移伸缩变换法则得到 1的解析表达式. 【详解】解法一:函数 图象上所有点的横坐标缩短到原来的 倍,纵坐标不变, 得到 的图象,再把所得曲线向右平移 个单位长度,应当得到 的图象, 根据已知得到了函数 的图象,所以 , 令 ,则 , 所以 ,所以 ; 解法二:由已知的函数 逆向变换, 第一步:向左平移 个单位长度,得到 的图象, 第二步:图象上所有点的横坐标伸长到原来的2倍,纵坐标不变,得到 的 图象, 即为 的图象,所以 . 故选:B. 3.(2022·全国·统考高考真题)将函数 的图像向左平移 个单 位长度后得到曲线C,若C关于y轴对称,则 的最小值是( ) A. B. C. D. 【答案】C 【分析】先由平移求出曲线 的解析式,再结合对称性得 ,即可求 出 的最小值. 【详解】由题意知:曲线 为 ,又 关于 轴对 称,则 , 解得 ,又 ,故当 时, 的最小值为 . 2故选:C. 4.(2022·全国·统考高考真题)记函数 的最小正周期为T. 若 ,且 的图象关于点 中心对称,则 ( ) A.1 B. C. D.3 【答案】A 【分析】由三角函数的图象与性质可求得参数,进而可得函数解析式,代入即可得解. 【详解】由函数的最小正周期T满足 ,得 ,解得 , 又因为函数图象关于点 对称,所以 ,且 , 所以 ,所以 , , 所以 . 故选:A 5.(2023·全国·统考高考真题)已知 为函数 向左平移 个单位所得 函数,则 与 的交点个数为( ) A.1 B.2 C.3 D.4 【答案】C 【分析】先利用三角函数平移的性质求得 ,再作出 与 的部 分大致图像,考虑特殊点处 与 的大小关系,从而精确图像,由此得解. 【详解】因为 向左平移 个单位所得函数为 ,所以 , 而 显然过 与 两点, 作出 与 的部分大致图像如下, 3考虑 ,即 处 与 的大小关 系, 当 时, , ; 当 时, , ; 当 时, , ; 所以由图可知, 与 的交点个数为 . 故选:C. 6.(2023·全国·统考高考真题)已知函数 在区间 单调递增,直 线 和 为函数 的图像的两条对称轴,则 ( ) A. B. C. D. 【答案】D 【分析】根据题意分别求出其周期,再根据其最小值求出初相,代入 即可得到答 案. 【详解】因为 在区间 单调递增, 所以 ,且 ,则 , , 当 时, 取得最小值,则 , , 则 , ,不妨取 ,则 , 4则 , 故选:D. 7.(2023·天津·统考高考真题)已知函数 的一条对称轴为直线 ,一个周期为4, 则 的解析式可能为( ) A. B. C. D. 【答案】B 【分析】由题意分别考查函数的最小正周期和函数在 处的函数值,排除不合题意的选 项即可确定满足题意的函数解析式. 【详解】由函数的解析式考查函数的最小周期性: A选项中 ,B选项中 , C选项中 ,D选项中 , 排除选项CD, 对于A选项,当 时,函数值 ,故 是函数的一个对称中心,排除选 项A, 对于B选项,当 时,函数值 ,故 是函数的一条对称轴, 故选:B. 二、填空题 8.(2021·全国·高考真题)已知函数 的部分图像如图所示,则 _______________. 5【答案】 【分析】首先确定函数的解析式,然后求解 的值即可. 【详解】由题意可得: , 当 时, , 令 可得: , 据此有: . 故答案为: . 【点睛】已知f(x)=Acos(ωx+φ)(A>0,ω>0)的部分图象求其解析式时,A比较容易看图 得出,困难的是求待定系数ω和φ,常用如下两种方法: (1)由ω= 即可求出ω;确定φ时,若能求出离原点最近的右侧图象上升(或下降)的“零 点”横坐标x0,则令ωx0+φ=0(或ωx0+φ=π),即可求出φ. (2)代入点的坐标,利用一些已知点(最高点、最低点或“零点”)坐标代入解析式,再结合 图形解出ω和φ,若对A,ω的符号或对φ的范围有要求,则可用诱导公式变换使其符合 要求. 9.(2023·全国·统考高考真题)已知函数 ,如图A,B是直线 与 曲线 的两个交点,若 ,则 ______. 6【答案】 【分析】设 ,依题可得, ,结合 的解可得, ,从而得到 的值,再根据 以及 ,即可得 ,进而求得 . 【详解】设 ,由 可得 , 由 可知, 或 , ,由图可知, ,即 , . 因为 ,所以 ,即 , . 所以 , 所以 或 , 又因为 ,所以 , . 故答案为: . 【点睛】本题主要考查根据图象求出 以及函数 的表达式,从而解出,熟练掌握三角 函数的有关性质,以及特殊角的三角函数值是解题关键. 三、解答题 10.(2021·浙江·统考高考真题)设函数 . (1)求函数 的最小正周期; 7(2)求函数 在 上的最大值. 【答案】(1) ;(2) . 【分析】(1)由题意结合三角恒等变换可得 ,再由三角函数最小正周期公式即 可得解; (2)由三角恒等变换可得 ,再由三角函数的图象与性质即可得解. 【详解】(1)由辅助角公式得 , 则 , 所以该函数的最小正周期 ; (2)由题意, , 由 可得 , 所以当 即 时,函数取最大值 . 【A组 在基础中考查功底】 一、单选题 1.(2023·安徽蚌埠·统考三模)已知函数 ,则要得到函数 的图象,只需将函数 的图象( ) A.向左平移 个单位 B.向右平移 个单位 C.向左平移 个单位 D.向右平移 个单位 【答案】C 【分析】利用三角函数的平移法则求解即可. 8【详解】因为 , 所以要得到函数 的图象,只需将函数 的图象向左平移 个单位即可, 故选:C. 2.(2023·河南郑州·模拟预测)把函数 图象上所有点的纵坐标不变,横坐标伸长 到原来的2倍,再把所得曲线向右平移 个单位长度,得到函数 的图象,则 ( ) A. B. C. D. 【答案】C 【分析】利用三角函数的图象变换计算即可. 【详解】由题意可设 ,则函数 图象上所有点的纵坐标不变, 横坐标伸长到原来的2倍,得 ,再向右平移 个单位长度,得到函数 则 , 所以 , 故 , 根据选项可知 时, ,故C正确; 故选:C 3.(2023·福建南平·统考模拟预测)已知函数 的图象的相邻两 条对称轴间的距离为 ,则( ) A. 的周期为 B. 在 上单调递增 9C. 的图象关于点 对称 D. 的图象关于直线 对称 【答案】D 【分析】根据题意求得函数周期,判断A;进而确定 ,可得函数解析式,利用正弦函数 单调性判断B;根据正弦函数的对称性可判断C,D. 【详解】由题意函数 的图象的相邻两条对称轴间的距离为 , 故函数周期为 ,A错误; 则 , 当 时, , 因为函数 在 上不单调,故 在 上不单调递增,B错误; 因为 ,此时函数取到最小值, 故 的图象不关于点 对称,C错误; ,此时函数取到最大值, 的图象关于直线 对称,D正确, 故选:D 4.(2023·全国·模拟预测)将函数 的图象上各点向右平移 个单位 长度得函数 的图象,则 的单调递增区间为( ) A. B. C. D. 【答案】C 【分析】先由图象平移变换得到 ,再由正弦函数的性质求出 的单调递增区间. 【详解】将 的图象向右平移 个单位长度后, 10得到 ,即 的图象, 令 , , 解得 , , 所以 的单调递增区间为 , .故选:C. 5.(2023·四川南充·统考三模)已知点 是函数 的一个 对称中心,则为了得到函数 的图像,可以将 图像( ) A.向右平移 个单位,再向上移动1个单位 B.向左平移 个单位,再向上移动1个单位 C.向右平移 个单位,再向下移动1个单位 D.向右平移 个单位,再向下移动1个单位 【答案】A 【分析】利用点 是函数 的一个对称中心,求出 ,在分析图像平移即可. 【详解】因为点 是函数 的一个对称中心, 所以 , 所以 , 又 ,所以 , 所以 所以要得到函数 的图像则只需将 图像: 向右平移 个单位,再向上移动1个单位, 故选:A. 6.(2023·河北石家庄·统考三模)已知函数 的部分图 象如图所示,则 图象的一个对称中心是( ) 11A. B. C. D. 【答案】D 【分析】由图象求出函数解析式,再求其对称中心即可. 【详解】方法一: 设 的最小正周期为 ,由函数图象可知, ,∴ , ∴ ,∴ ,∴ , 又∵当 时, 取最大值, ∴ , ,∴ , , ∵ ,∴ , ∴ . 令 , ,解得 , , ∴ 的对称中心为 , , 当 时, 的一个对称中心为 . 方法二: 设 的最小正周期为 ,由函数图象可知, ,∴ , 由图象可知, 的一个对称中心为 , ∴ 的对称中心为 , , 12当 时, 的一个对称中心为 . 故选:D. 7.(2023·四川·四川省金堂中学校校联考三模)已知直线 是函数 图象的任意两条对称轴,且 的最小值为 ,则 的单 调递增区间是( ) A. B. C. D. 【答案】B 【分析】由题知 ,进而得 ,再求解函数单调区间即可. 【详解】解: 直线 是函数 图象的任意两条对称轴,且 的最小值为 , ,即 , 令 ,解得 , 的单调递增区间是 . 故选:B. 8.(2023·浙江绍兴·统考模拟预测)若函数 的周期为 ,其图象由函数 的图象向左平移 个单位得到,则 的一个单调递增区 间是( ) A. B. C. D. 【答案】A 【分析】根据辅助角公式化简 ,由平移可得 13,进而由周期可得 ,利用整体法可得单调区间即 可求解. 【详解】 ,将 向左平移 个单位得到 , 由 的周期为 ,故 , 所以 , 令 ,解得 , 故 的单调递增区间为 , 所以取 可得一个单增区间为 , 故选:A 9.(2023·四川遂宁·统考三模)已知函数 , , ,且 的最小值为 ,则 的值为( ) A. B. C.1 D.2 【答案】B 【分析】首先化简函数解析式,再结合条件,根据函数的周期公式,即可求解. 【详解】 , 是函数的最大值,由题意可知, 的最小值是 个周期, 所以 ,得 . 故选:B 10.(2023·山东烟台·统考二模)已知函数 在 上单 调递增,则 的取值范围为( ). A. B. 14C. D. 【答案】D 【分析】由 的取值范围求出 的取值范围,结合余弦函数的性质得到不等式组,解 得即可. 【详解】由 ,所以 , 又 ,所以 , 且函数 在 上单调递增, 所以 ,解得 ,即 的取值范围为 . 故选:D 11.(2023·河北沧州·统考模拟预测)已知函数 的图象关于 对称,当 的最小正周期取得最大值时,距离原点最近的对称中心为( ) A. B. C. D. 【答案】D 【分析】根据余弦型函数的对称轴、最小正周期公式可得到函数 的解析式,再根据余 弦型函数的对称中心即可求解. 【详解】由已知得 ,即 , 当 时, 最小,且为 ,则 最大, 此时 ,其对称中心的横坐标为 , 当 时,函数 的图象上距离原点最近的对称中心为 . 故选:D. 12.(2023·河南鹤壁·鹤壁高中校考模拟预测)已知函数 ,则下列 说法正确的为( ) A. 的最小正周期为 15B. 的最大值为 C. 的图像关于直线 对称 D.将 的图像向右平移 个单位长度,再向上平移 个单位长度后所得图像对应的函 数为奇函数 【答案】D 【分析】先对函数 的解析式进行化简,化成 的形式,然后即 可求出周期、最大值和对称轴,从而可判断ABC;对于D项,先根据要求对化简后的 进行变换,然后即可得出结论. 【详解】 , 故 的最小正周期为 ,最大值为 , 对称轴方程满足 , ,即 , ,故ABC皆错误; 对于选项D,将 的图像向右平移 个单位长度后得到 , 然后,将此图像向上平移 个单位长度,得到函数 的图像, 是一个 奇函数,故D正确, 故选:D. 13.(2023·重庆·统考三模)将函数 的图象向右平移 个单位 得到函数 的图象,则“ ”是“函数 为偶函数”的( ) A.充分不必要条件 B.必要不充分条件 C.充要条件 D.既不充分也不必要条件 【答案】A 【分析】根据题意求出函数 的解析式,然后通过函数 是偶函数求出 的取值范围, 最后与 进行对比,即可得出“ ”与“ 为偶函数”之间的关系. 16【详解】因为函数 的图像向右平移 个单位长度后得到函数 的图像, 所以 , 因为 为偶函数, 所以 ,即 , 当 时, 可以推导出函数 为偶函数, 而函数 为偶函数不能推导出 , 所以“ ”是“ 为偶函数”的充分不必要条件. 故选:A 14.(2023·云南·高三校联考阶段练习)函数 的部分 图象如图所示,则下列叙述正确的是( ) A. B. , 恒成立 C.对任意 D.若 ,则 的最小值为 【答案】D 【分析】A选项,根据函数图象的性质得到解析式,A错误;B选项,计算 ,故B错误;C选项求出函数的单调递增区间,得到 ; D选项,根据 得到 , 或 , 17,求出 ,从而得到 的最小值. 【详解】A选项,由图象可知 , , 因为 ,所以 , , 将 代入解析式, , 因为 是函数在 上的第一个零点,所以 , 故 ,故 ,A错误; B选项, , 故 , 不恒成立,B错误; C选项,令 ,解得 , 故函数单调递增区间为 , 要想对任意 ,C错误; D选项,因为函数 的最大值为2,最小值为-2, ,若 ,则 , ,即 ,解得 , ,即 ,解得 , 此时 , 故当 时, 取得最小值,最小值为 ; 若 ,则 ,同理可得 的最小值为 ,故D正确.故选:D 二、多选题 15.(2023·全国·高三专题练习)已知函数 ,则( ) 18A. B. 的最小正周期为 C.把 向左平移 可以得到函数 D. 在 上单调递增 【答案】BD 【分析】由正切函数的性质及图象变换规律逐一判断即可得结论. 【详解】 ,故A错误; 函数 的最小正周期为 ,故B正确; 把 向左平移 可以得到函数 ,故C 错误; 时, ,故 在 上单调递增,故D正确. 故选:BD. 16.(2023·全国·高三专题练习)已知函数 的图像关于直 线 对称,则ω的取值可以为( ) A.2 B.4 C.6 D.8 【答案】AD 【分析】首先将函数 化成一个三角函数,然后根据对称轴公式求得 的表达式,对整 数 赋值求得结果. 【详解】 , 因为函数 的图象关于直线 对称, 所以 , Z,解得 , 因为 ,所以当 时, ;所以当 时, . 故选:AD. 1917.(2023·云南大理·统考模拟预测)设函数 在区间 上单调递增,则下列说法正确的是( ) A. B.存在 ,使得函数 为奇函数 C.函数 的最大值为2 D.存在 ,使得函数 的图像关于点 对称 【答案】AC 【分析】利用三角恒等变换,再由正弦函数的图像和性质逐项判断即可. 【详解】解: 对于选项A: . ∵ 在区间 上单调递增 ∴ ,故选项A正确; 对于选项B: 显然不存在 ,使得函数 为奇函数,故选项B不正 确; 对于选项C: ,最大值为2,故选项C正确; 对于选项C:∵ ∴ ,又 ,得 ,所以不存在 ,选项D 不正确; 故选:AC. 18.(2023秋·江苏苏州·高三苏州中学校考阶段练习)关于函数 的描述正确的是( ) A. 图象可由 的图象向左平移 个单位得到 B. 在 单调递减 C. 的图象关于直线 对称 20D. 的图象关于点 对称 【答案】ACD 【分析】利用三角恒等变换得到 ,根据平移变换判定A正确; 整体法求解出 在 单调递减,判定B错误; 整体法求解出函数的对称轴和对称中心,从而判断CD正确; 【详解】 向左平移 个单位后变为 , 对 ,则 ,所以 在 单调递减, 在 不是单调减函数, 错. ,则 当 时, , 的其中一条对称轴 ,C对 , 则 ,当 时, , 的其中一个对称中心为 ,D对, 故选: . 三、填空题 19.(2023·福建厦门·统考二模)将函数 的图象向左平移 个单位长度.得到函数g(x)的图象,若g(x)是奇函数,则φ=_______. 【答案】 【分析】首先根据平移规律求函数 的解析式,再根据函数是奇函数,求 的值. 【详解】函数 向左平移 个单位长度,得到函数 , 函数 是奇函数,所以 ,则 , , 21则 , ,因为 ,所以 . 故答案为: 20.(2023·全国·高三专题练习)已知函数 的图象关于点 对称, 那么 的最小值为__________. 【答案】 【分析】根据余弦函数图像的性质,整体代入对称中心, 求得 ,由此 最小值即可求解. 【详解】函数 的图象关于点 对称, 则有 ,于是得 , 显然 对于 是单调递增的, 而 或4时, ,所以 的最小值为 . 故答案为: 21.(2023春·上海闵行·高三上海市七宝中学校考阶段练习)函数 的部分图象如图,若 ,且 ,则 __________. 【答案】 22【分析】首先根据函数图象求出函数解析式,再根据正弦函数的性质计算可得. 【详解】 , ,则 , 又 且 ,则 , , ,则 ,即 , 又 ,所以 . 故答案为: 22.(2023·陕西宝鸡·校考模拟预测)已知函数 在区间 单调,其中 为正整数, ,且 .则 图像的一条对称轴__________. 【答案】 【分析】由正弦函数的单调性与周期性,可得 ,所以 , 在同一个周期内,由 ,取其中点值,即可得 图象的一条对称轴; 【详解】因为函数 在区间 单调, , , , 在同一个周期内, , 图像的一条对称轴为 . 故答案为: 四、解答题 2323.(2023·安徽安庆·安庆一中校考三模)已知函数 . (1)求函数 的单调递增区间; (2)求 在区间[0, ]上的最值. 【答案】(1) (k Z) (2)最大值为1,最小值为- . 【分析】(1)由三角函数降幂公式与二倍角公式,根据辅助角公式,化简函数为单角三角 函数,根据正弦函数的单调性,可得答案; (2)利用整体思想,根据正弦函数的图象性质,可得答案. 【详解】(1) = . 因为y=sinx的单调递增区间为 (k Z), 令 (k Z),得 (k Z). 所以 的单调递增区间为 (k Z). (2)因为x∈[0, ],所以2x+ . 当2x+ = ,即x= 时, 最大值为1, 当2x+ = ,即x= 时, 最小值为- . 24.(2023·全国·高三专题练习)已知向量 , ,设 (1)求函数 的最小正周期和单调递增区间; (2)已知角 为锐角, , , ,求 的值. 【答案】(1)最小正周期π;单调递增区间为 (2) 24【分析】(1)结合平面向量数量积的坐标运算以及辅助角公式化简整理,再结合正弦函数 的图像与性质即可求出结果; (2)结合题意分别求出 和 的正余弦的值,进而结合两角和的正弦公式即可求出结 果. 【详解】(1)(1)∵ ∴ ∴ 的最小正周期 ; 由 得 , 所以单调递增区间为 (2)由题意 ,∴ , ∵ ,∴ , ∵ , ,且 ,∴ , ∴ , ∴ . 25.(2023·全国·高三专题练习)已知函数 ,若 __________. 条件①: ,且 在 时的最大值为 ; 条件②: . 请写出你选择的条件,并求函数 在区间 上的最大值和最小值. 注:如果选择条件①和条件②分别解答,按第一个解答计分. 【答案】选①或选②结论相同,最大值为0;最小值为 . 25【分析】(1)根据二倍角的正弦、余弦公式和辅助角公式可得 (其中 ),选条件①或②都算出 ,结合正弦函数的单调性即可求出结果. 【详解】 ,其中 , 若选①, ,解得 ,得 , 所以 , 由 ,得 , 当 时, , 当 时, ; 若选②, ,得 , 所以 , 由 ,得 , 当 时, , 当 时, . 【B组 在综合中考查能力】 一、单选题 1.(2023·河南·校联考模拟预测)已知函数 的 26图象在 内有且仅有一条对称轴,则 的最小值为( ) A.0 B. C.1 D. 【答案】B 【分析】由 ,则 ,再根据题意得到 ,从而 求得 的范围,进而得到 的范围,再利用正弦函数的性质即可求解. 【详解】由 , 又 ,则 , 因为函数 的图象在 内有且仅有一条对称轴, 所以 ,解得 ,则 , 所以 ,故则 的最小值为 . 故选:B. 2.(2023·湖南衡阳·校考模拟预测)已知函数 的导函数 的图像如图所示,记 ,则下列说法正确的是( ) A. 的最小正周期为2π B. C. D. 在 上单调递增 【答案】C 【分析】根据三角函数的图象与性质及复合函数求导法则计算即可逐一判定. 【详解】解:∵ ,由 并结合图像知 ,∴ 27, 又 ,且在 上单调递减, ∴ , 又 ,∴ , , ∴ , ∴ . 故选:C. 3.(2023春·陕西安康·高三陕西省安康中学校考阶段练习)已知函数 ,若 ,则( ) A.将 的图象向右平移 个单位长度后,可得到一个偶函数的图象 B. 图象的对称中心的坐标为 C.直线 是 图象的一条对称轴 D. 的一个单调递增区间为 【答案】D 【分析】先根据题意求出 解析式,选项A由图象平移后得到新的函数解析式并判断奇 偶性即可;选项B、C、D可先考虑 的相关性质整体代换后即可得出判断. 【详解】因为 ,所以 ,则 . 因为 ,所以 .从而 ,所以 . 将 的图象向右平移 个单位长度后, 得到 的图象, 是奇函数,所以A不正确. 由 ,可知 的对称中心为 ,所以B不正确. 28由 ,可知 的对称轴为 . 由 ,得 ,与 矛盾,所以C不正确. 由 得 的单调递增区间为 , 令 ,得 的一个单调递增区间为 ,所以D正确. 故选:D. 4.(2023·全国·高三专题练习)将函数 的图像向右平移 个单位长度,得到函数 的图像,则下列说法正确的是( ) A.若 ,则 是奇函数 B.若 ,则 在区间 上单调递 减 C.若 ,则 的图像关于点 对称 D.若 ,则 在区间 上单 调递增 【答案】C 【分析】由函数平移得 ,讨论 、 ,结合正余弦函数的性质判 断奇偶、对称性以及 上的单调性,即可得答案. 【详解】将函数 的图像向右平移 个单位长度,得到函 , 当 时, 为偶函数, 在 上有 , 递增,故A,B错误; 当 时, , 此时, ,即 关于点 对称, 在 上有 , 不单调,故C正确,D错误. 故选:C 5.(2023·全国·模拟预测)已知函数 的部分图象 如图所示,则下列说法正确的是( ) 29A. B. C.不等式 的解集为 D.将 的图象向右平移 个单位长度后所得函数的图象在 上单调递增 【答案】C 【分析】由图象求出 的表达式后逐一验证选项即可. 【详解】由函数图象可知,最小正周期为 ,所以 , 将点 代入 ,得 , 又 ,所以 ,故 ,故A错误; 所以 ,故B错误; 令 ,则 ,所以 , ,解得 , , 所以不等式 的解集为 ,故C正确; 将 的图象向右平移 个单位长度后,得到 的图 象,令 , , 解得 , , 令 得 ,因为 ,故D错误. 30故选:C. 6.(2023·重庆·校联考三模)已知 同时满足下列三个条件: ①当 时, 的最小值为 ; ② 是偶函数; ③ . 若 在 上有两个零点,则实数m的取值范围是( ) A. B. C. D. 【答案】A 【分析】由①可得函数 的半个周期为 ,即可求得 ,由②③可求得 ,再根据正弦 型函数的图象与性质找到两个零点时满足的范围即可. 【详解】由①当 时,则 分别为最大值与最小值,所以 的最小值 即为半个周期, ,由 ; 由② 是偶函数,所以 , 因为 ,所以 或 ; 由③ ,则 , 所以 . 时, ,因为 在 上有两个零点, 根据正弦函数的图象 故选:A. 31二、多选题 7.(2023·全国·高三专题练习)已知 ,下列结论错误的是( ) A.函数 在区间 上是减函数 B.点 是函数 图象的一个对称中心 C.函数 的图象可以由函数 的图象向左平移 个单位长度得到 D.若 ,则 的值域为 【答案】BD 【分析】根据降幂公式及辅助角公式化简 的解析式,再根据三角函数单调性、对称性、 三角函数图象变换、值域逐一分析判断即可. 【详解】 , 对于A, , 所以 在区间 上递增,A错误; 对于B,因为 , 所以点 是函数 图象的一个对称中心,B正确; 对于C, 的图象向左平移 个单位长度得到: ,C选项错误; 对于D,由 ,则 ,D选项正确.故选:BD. 8.(2023·山东潍坊·统考二模)已知函数 (其中 )的部分图象如图所示,则( ) 32A. B.函数 为偶函数 C. D.曲线 在 处的切线斜率为 【答案】ACD 【分析】根据图象求出函数解析式,根据解析式及正弦函数的性质判断AB,再由函数图 象中心对称的性质判断C,利用导数的几何意义判断D. 【详解】由函数图象可知, , , , 当 时, ( ), ,( ), 又 , , , 对A, , 正确; 对B, ,显然不是偶函数,故错误; 对C,若 ,则 图象关于点 对称,又 ,故正确; 对D, ,所以曲线 在 处的切线斜率为 ,故D正确.故选 :ACD 33三、填空题 9.(2023·新疆·校联考二模)已知函数 满足下列条件: ① 是 经过图象变换得到的; ②对于 ,均满足 成立; ③ 的函数图象过点 . 请写出符合上述条件的一个函数解析式__________________. 【答案】 (答案不唯一) 【分析】由①可设 ,根据②,设 ,求得 ,且 ,再由③求得 的一个值为 ,即可求解. 【详解】解:由①可设 , 又由②可知,不妨设 , 由 ,可得 , 且 ,所以 ,所以 , 由③,可得 ,即 ,所以 的一个值为 , 因此函数 的一个解析式为 . 故答案为: (答案不唯一). 10.(2023·全国·高三专题练习)将函数 的图象向左平移 个单位,得到函数 的图象,若函数 在区间 上单调递增,则 的取值范 围______. 【答案】 【分析】由已知推得 ,根据 的范围推得 ,根据正弦函数的单调 性,即可得出 的范围. 【详解】由已知可得, . 34因为 , ,所以 . 因为函数 在区间 上单调递增, 所以, ,所以 . 又 ,所以 . 故答案为: . 11.(2023·宁夏吴忠·统考模拟预测)已知函数 ,如图是 的部分图象,则 在区间 上的值域是___________. 【答案】 【分析】由已知,根据辅助角公式化简可得 ,进而根据 , 可求得 或 ,再结合图像可求得 ,由图像可知 ,从而解得 ,再由已知 ,结合正弦函数的性质,即可得出 的值域. 【详解】 , 由题图可知 ,即 ,得 , 所以 或 , 解得: 或 , 因为 ,所以 或 , 35所以 或 , 根据图象可得 ,则 ,则 , 解得: , 当 时,由图象过点 ,则 0, 所以 ,解得: ,结合 无解; 当 时,由图象过点 ,则 0, 所以 ,解得: , 结合 ,得: , 所以 . 当 时, , , 则 , , 即 . 故答案为: . 12.(2023·四川凉山·二模)已知函数 ,则下列说 法中正确的是________ ① 一条对称轴为 ; ②将 图象向右平移 个单位,再向下平移1个单位得到的新函数为奇函数; ③若 ,则 ; ④若 且 ,则 的最小值为 . 【答案】①③ 【分析】首先化简函数为 ,①根据正弦函数的性质验证即可; 36②利用平移变换得到 判断;③由 得到 ,从而得到 ,再由 ,利 用两角差的正切公式求解判断;④令 得到 , 在同一坐标系中作出 的图象判断. 【详解】解:函数 , ①因为 ,所以 一条对称轴为 ,故正确; ②将 图象向右平移 个单位得到 , 再向下平移1个单位得到 ,因为 ,所以新函数不是 奇函数,故错误; ③由 得: ,则 , , 当 时, ; 当 时, , 所以 ,故正确; ④令 得: , 在同一坐标系中作出 的图象如图所示: 37由图象知: ,故错误, 故答案为:①③ 四、解答题 13.(2023·山东济南·统考三模)已知 ,其图象相邻对称轴间的距离为 ,若将其图象向左平移 个单位得到函数 的图象. (1)求函数 的解析式及图象的对称中心; (2)在钝角 中,内角 的对边分别是 ,若 ,求 的取值范围. 【答案】(1) ,对称中心为 (2) 【分析】(1)根据 的图象相邻对称轴间的距离得到周期求出 ,再根据图像平移得 到 ,由对称中心公式求得结果; (2)由 得出 三角的关系,利用正弦定理及角度关系化简 ,再利用导数求函数单调区间得出结果. 【详解】(1)已知 的图象相邻对称轴间的距离为 ,则 . 由周期公式得, , 所以 , , 38令 ,所以 , 故函数 的对称中心为 (2)由题意得, , , 所以 . 所以 或 (舍), 所以 . 因为在钝角 中,所以 , 所以 , 则 令 , , 当 时, ;当 时, ; 可得 在 单调递减,在 单调递增. 所以当 ,即 时, 有最小值 ; ,所以 故 . 14.(2023·黑龙江齐齐哈尔·齐齐哈尔市实验中学校考三模)已知函数 在区间 上单调,其中 , ,且 . (1)求 的图象的一个对称中心的坐标; 39(2)若点 在函数 的图象上,求函数 的表达式. 【答案】(1) (2) 【分析】(1)根据余弦函数的对称性,即可得出答案. (2)由点 在函数 的图象上,可得 ,知函数 在区间 上单调递减,再由 和 ,可得 ,又 ,可得出 ,即可得出 结果. 【详解】(1)由函数 在区间 上单调, 且 ,可知 , 故 的图象的一个对称中心的坐标为 (2)由点 在函数 的图象上, 有 ,又由 , , 可知函数 在区间 上单调递减, 由函数 的图象和性质, 有 , 又 ,有 , 将上面两式相加,有 , 40有 , 又由 ,可得 , 则 , 又由函数 在区间 上单调, 有 ,可得 ,可得 , 故 . 【C组 在创新中考查思维】 一、单选题 1.(2023·天津和平·统考二模)函数 的部分图象如图 所示, ,则下列四个选项中正确的个数为( ) ① ②函数 在 上单调递减; ③函数 在 上的值域为 ; ④曲线 在 处的切线斜率为 . A.0个 B.1个 C.2个 D.3个 【答案】B 【分析】根据图像求 的解析式,对于①②③:结合正弦函数的性质分析运算;对 于④:结合导数的几何意义运算求解. 【详解】由图可知:函数 过点 ,则 , 即 ,且 ,可得 , 41又因为函数 过点 ,且为减区间的零点, 则 ,即 , 则 ,解得 , 注意到 ,即 ,则 ,解得 , 故 ,解得 ,此时 , 所以 . 对于①:令 ,解得 , 取 ,则 , 即函数 在y轴左侧离y轴最近的对称轴为 , 由图可得 ,即 , 且 ,即 , 所以 , 故①正确; 对于②:因为 ,则 , 且 在 不单调,所以 在 上不单调, 故②错误; 对于③:因为 ,则 , , 可得 ,所以函数 在 上的值域为 , 故③错误; 42对于④:∵ , 可得 , 曲线 在 处的切线斜率为 ,故④错误; 故选:B. 【点睛】方法定睛:函数y=Asin(ωx+φ)的解析式的确定 (1)A由最值确定,A= 最大值 最小值 ; (2)ω由周期确定; (3)φ由图象上的特殊点确定. 提醒:根据“五点法”中的零点求φ时,一般先根据图象的升降分清零点的类型. 2.(2023春·广西防城港·高三统考阶段练习)函数 ,则关于函数 有下列四个结论: ① 的一个周期为 ;② 的最小值为 ;③ 图像的一个对称中心为 ;④ 在区间 内为增函数. 其中所有正确结论的编号为( ) A.①②③ B.①② C.①②④ D.②③ 【答案】C 【分析】化简 ,对于①可以利用周期性定义判定;对于②④,均利用 导数法判定其单调性得出结果;对于③,可通过判定 的奇偶性得出结果. 【详解】由题意可得: , 显然 ,故①正确; , 令 得 ,此时 单调递增,; 43令 得 ,此时 单调递减; 即 在 和 时取得极小值,此时函数值均为 , 即②正确; 而 时, ,此时 单调递增,即④正确; 对于 ,故 是奇函数,关于原点中心对称, 由 的周期性可得 的对称中心为 ,事实上 ,即③错误, 综上正确的是:①②④ 故选:C 【点睛】关键点睛:本题考察三角函数综合,难度较大.关键在于先化简得 ,利用导数研究其单调性及最值时注意统一变量及整体代换的意识, 减小计算量. 3.(2023·全国·高三专题练习)已知函数 满足 , 若 ,且 ,则 的值为( ) A. B. C. D. 【答案】D 【分析】由 得函数在 时取最值,得函数的解析式,再由三角恒等变换计 算 的值. 【详解】因为 满足 ,所以 , 所以 , ,又 ,所以 , 得 , 因为 , , 所以 ,所以 , , 44, 因为 ,所以 . 故选:D. 4.(2023秋·河北石家庄·高三校联考期末)已知函数 ,则 ( ) A. 的最小正周期是 B. 的图象关于直线 对称 C. 在 上有4个极值点 D. 在 上单调递减 【答案】D 【分析】根据给定条件,利用函数周期性、对称性定义判断A,B;求导并探讨导数在 上的正负情况判断C;探讨函数在 上单调性判断D作答. 【详解】函数 , 对于A, , 即 不是 的周期,A不正确; 对于B,因为 ,而 , 显然函数 图象上的点 关于直线 的对称点 不在 的图象上, B不正确; 对于C,当 或 时, , , 此时 或 ,当 或 , 即 或 时,函数 取得最值,因此 在 或 取极值, 当 时, , ,此时 , 当 或 ,即 或 时,函数 取得最值,因此 在 45或 取极值, 当 时, ,函数 在 上单调递减, 当 时, ,函数 在 上单调递增, 又函数 是定义域R上的连续函数,则 是函数 的一个极小值点, 所以函数 在 上的极值点至少有5个,C不正确; 对于D,因为 ,则 是函数 的一个周期, 当 时, ,由选项C知函数 在 上单调 递减, 因此函数 在 上单调递减,所以 在 上单调递减,D正确. 故选:D 二、多选题 5.(2023·重庆沙坪坝·重庆一中校考模拟预测)设函数 ,如图是函数 及其导函数 的部分图像, 则( ) A. B. C. 与y轴交点坐标为 D. 与 的所有交点中横坐标绝对值的最小值为 46【答案】ABD 【分析】本题先结合图象分析得知图①为 的图象,图②为 的图象,再根据图象 中点的坐标求出基本量 , , ,进而可判断ABCD四个选项. 【详解】 由 得 , 如图,因当 , , 故可判断图①为 的图象,图②为 的图象, 由图可知: 当 时, , 当 时, , 故 , 因 ,故 由 得 ,故 , ,故A正确. 又 , , 所以 , , 又因 ,故 ,故B正确. 综上可得 , , 47, 故 与y轴交点坐标为 ,C错误. 令 ,即 得 , 故 , , 得 , , 故当 或 时 的值最小为 ,故D正确. 故选:ABD 6.(2023·湖北·荆门市龙泉中学校联考模拟预测)已知函数 在 上有最大值,则( ) A. 的取值范围为 B. 在区间 上有零点 C. 在区间 上单调递减 D.存在两个 ,使得 【答案】AC 【分析】结合正弦型函数图像和函数单调性、最值逐项分析. 【详解】A选项: 有最大值,又因为 ,所以 , 要使 在 上有最大值,则 ,所以 的取值范围为 ; B选项: ,因为 ,所以 ,无零点,即 在区间 上无零点,错误; C选项: , , ,根据函数图像, 单调递 48减,即 在区间 上单调递减,正确; D选项: 即 ,即 , 因为 当 函数图像单调递增, 单调递增, 与 函数图像无交点; 当 函数图像单调递减, 单调递增, 与 图像至多有一个交点, 故至多存在1个 ,使得 ,选项错误; 故选:AC 三、填空题 7.(2023·河北衡水·模拟预测)已知函数 ,若 ,对于任意的 都有 ,且 在区间 上 单调,则 的最大值为_________. 【答案】18 【分析】根据正弦型函数 的性质和题目给出的条件,运用最小正周期 与 的关系,对称轴对称点的特点求解. 【详解】由于 ,则 的图像关于直线 对称, 则 …①, )…②, ①-②得 , ,令 , 则 , 的最小正周期 , 在区间 上单调, , ,解得 , 49当 时, ,则②式为 , 又 ,此时 , 当 时, , 此时 不单调,不符合题意,舍去; 当 时, ,则②式为 ,又 ,当 时, ,当 时, , 此时 ,当 时, , 此时 单调,符合题意, 故答案为:18. 8.(2023·全国·高三专题练习)已知函数 的部分图象如 图所示,则满足条件 的最小正偶数x为___________. 【答案】4 【分析】先根据图象求出函数 的解析式,再求出 的值,然后求解三角不 等式可得最小正偶数. 【详解】由图可知 ,即 ,所以 ; 由五点法可得 ,即 ; 所以 . 因为 , ; 50所以由 可得 ; 由 ,即 , ∴ 或 , 解得 或 , 令 ,可得 或 , 所以最小正偶数 为4. 故答案为:4. 四、解答题 9.(2023春·重庆渝中·高三重庆巴蜀中学校考阶段练习)已知 . (1)若 ,求 的值; (2)将函数 的图象向右平移 个单位得到函数 的图象,若函数 在 上有4个零点,求实数 的取值范围. 【答案】(1) (2) 【分析】(1)先化简求得 的解析式,根据 ,求得 的值,进而求得 的值; (2)先求得 ,根据函数 在 上有4个零点,可 求得实数 的取值范围. 【详解】(1) 51若 ,即 , 则 . (2)易知 , 根据题意,设 , 因为 ,所以 , 所以 ,所以 , 所以原方程变为 , 令 因为原方程有4个零点,而方程 在 至多两个根, 所以 ,且 在 有两个零点, 则 ,解得 , 即 . 52