当前位置:首页>文档>专题09函数y=Asin(ωx+φ)的图象性质及其应用(5大题型)-2025年高考数学二轮热点题型归纳与变式演练(新高考通用)(原卷版)_02高考数学_2025年新高考资料_二轮复习_一、题型突破

专题09函数y=Asin(ωx+φ)的图象性质及其应用(5大题型)-2025年高考数学二轮热点题型归纳与变式演练(新高考通用)(原卷版)_02高考数学_2025年新高考资料_二轮复习_一、题型突破

  • 2026-04-10 02:02:03 2026-04-10 01:26:59

文档预览

专题09函数y=Asin(ωx+φ)的图象性质及其应用(5大题型)-2025年高考数学二轮热点题型归纳与变式演练(新高考通用)(原卷版)_02高考数学_2025年新高考资料_二轮复习_一、题型突破
专题09函数y=Asin(ωx+φ)的图象性质及其应用(5大题型)-2025年高考数学二轮热点题型归纳与变式演练(新高考通用)(原卷版)_02高考数学_2025年新高考资料_二轮复习_一、题型突破
专题09函数y=Asin(ωx+φ)的图象性质及其应用(5大题型)-2025年高考数学二轮热点题型归纳与变式演练(新高考通用)(原卷版)_02高考数学_2025年新高考资料_二轮复习_一、题型突破
专题09函数y=Asin(ωx+φ)的图象性质及其应用(5大题型)-2025年高考数学二轮热点题型归纳与变式演练(新高考通用)(原卷版)_02高考数学_2025年新高考资料_二轮复习_一、题型突破
专题09函数y=Asin(ωx+φ)的图象性质及其应用(5大题型)-2025年高考数学二轮热点题型归纳与变式演练(新高考通用)(原卷版)_02高考数学_2025年新高考资料_二轮复习_一、题型突破
专题09函数y=Asin(ωx+φ)的图象性质及其应用(5大题型)-2025年高考数学二轮热点题型归纳与变式演练(新高考通用)(原卷版)_02高考数学_2025年新高考资料_二轮复习_一、题型突破
专题09函数y=Asin(ωx+φ)的图象性质及其应用(5大题型)-2025年高考数学二轮热点题型归纳与变式演练(新高考通用)(原卷版)_02高考数学_2025年新高考资料_二轮复习_一、题型突破
专题09函数y=Asin(ωx+φ)的图象性质及其应用(5大题型)-2025年高考数学二轮热点题型归纳与变式演练(新高考通用)(原卷版)_02高考数学_2025年新高考资料_二轮复习_一、题型突破
专题09函数y=Asin(ωx+φ)的图象性质及其应用(5大题型)-2025年高考数学二轮热点题型归纳与变式演练(新高考通用)(原卷版)_02高考数学_2025年新高考资料_二轮复习_一、题型突破
专题09函数y=Asin(ωx+φ)的图象性质及其应用(5大题型)-2025年高考数学二轮热点题型归纳与变式演练(新高考通用)(原卷版)_02高考数学_2025年新高考资料_二轮复习_一、题型突破
专题09函数y=Asin(ωx+φ)的图象性质及其应用(5大题型)-2025年高考数学二轮热点题型归纳与变式演练(新高考通用)(原卷版)_02高考数学_2025年新高考资料_二轮复习_一、题型突破
专题09函数y=Asin(ωx+φ)的图象性质及其应用(5大题型)-2025年高考数学二轮热点题型归纳与变式演练(新高考通用)(原卷版)_02高考数学_2025年新高考资料_二轮复习_一、题型突破
专题09函数y=Asin(ωx+φ)的图象性质及其应用(5大题型)-2025年高考数学二轮热点题型归纳与变式演练(新高考通用)(原卷版)_02高考数学_2025年新高考资料_二轮复习_一、题型突破
专题09函数y=Asin(ωx+φ)的图象性质及其应用(5大题型)-2025年高考数学二轮热点题型归纳与变式演练(新高考通用)(原卷版)_02高考数学_2025年新高考资料_二轮复习_一、题型突破
专题09函数y=Asin(ωx+φ)的图象性质及其应用(5大题型)-2025年高考数学二轮热点题型归纳与变式演练(新高考通用)(原卷版)_02高考数学_2025年新高考资料_二轮复习_一、题型突破
专题09函数y=Asin(ωx+φ)的图象性质及其应用(5大题型)-2025年高考数学二轮热点题型归纳与变式演练(新高考通用)(原卷版)_02高考数学_2025年新高考资料_二轮复习_一、题型突破
专题09函数y=Asin(ωx+φ)的图象性质及其应用(5大题型)-2025年高考数学二轮热点题型归纳与变式演练(新高考通用)(原卷版)_02高考数学_2025年新高考资料_二轮复习_一、题型突破
专题09函数y=Asin(ωx+φ)的图象性质及其应用(5大题型)-2025年高考数学二轮热点题型归纳与变式演练(新高考通用)(原卷版)_02高考数学_2025年新高考资料_二轮复习_一、题型突破
专题09函数y=Asin(ωx+φ)的图象性质及其应用(5大题型)-2025年高考数学二轮热点题型归纳与变式演练(新高考通用)(原卷版)_02高考数学_2025年新高考资料_二轮复习_一、题型突破
专题09函数y=Asin(ωx+φ)的图象性质及其应用(5大题型)-2025年高考数学二轮热点题型归纳与变式演练(新高考通用)(原卷版)_02高考数学_2025年新高考资料_二轮复习_一、题型突破
专题09函数y=Asin(ωx+φ)的图象性质及其应用(5大题型)-2025年高考数学二轮热点题型归纳与变式演练(新高考通用)(原卷版)_02高考数学_2025年新高考资料_二轮复习_一、题型突破
专题09函数y=Asin(ωx+φ)的图象性质及其应用(5大题型)-2025年高考数学二轮热点题型归纳与变式演练(新高考通用)(原卷版)_02高考数学_2025年新高考资料_二轮复习_一、题型突破

文档信息

文档格式
docx
文档大小
1.110 MB
文档页数
18 页
上传时间
2026-04-10 01:26:59

文档内容

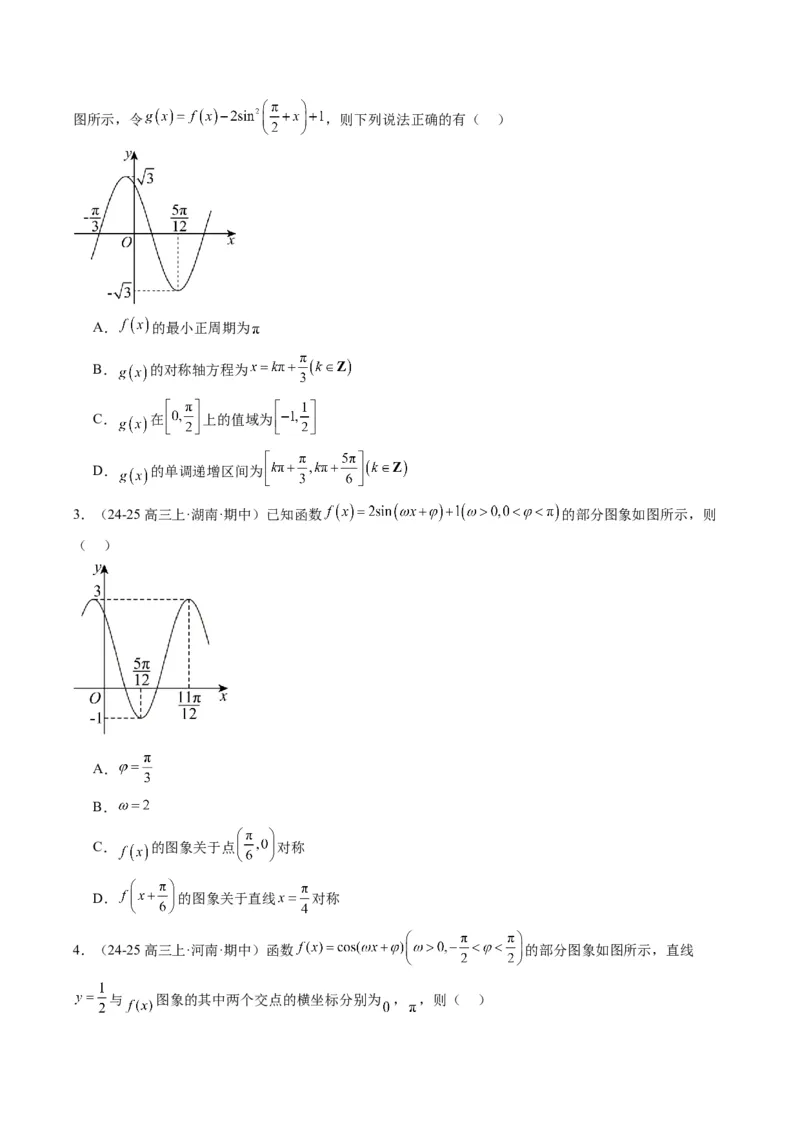
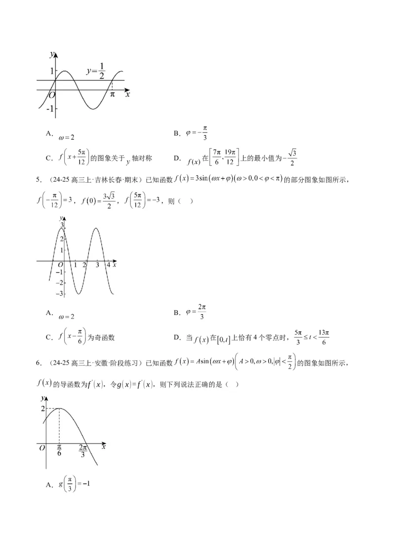
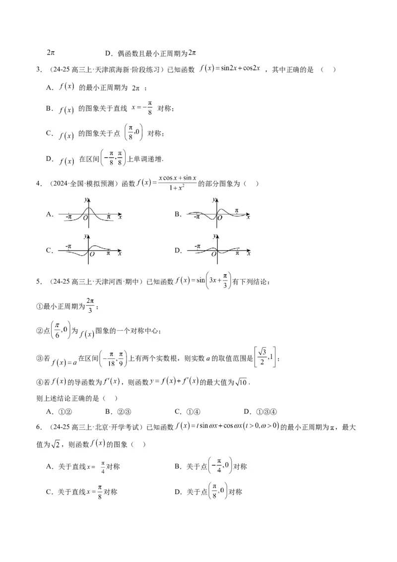
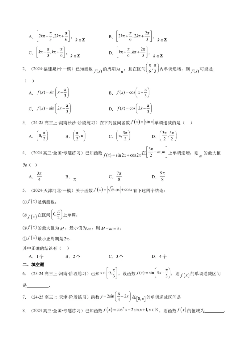
专题 09 函数 y=Asin(ωx+φ)的图象性质及其应用 目录(Ctrl并单击鼠标可跟踪链接) 题型01 y=Asin(ωx+φ)的单调性............................................................................................................................1 题型02 y=Asin(ωx+φ)的奇偶性和对称性............................................................................................................3 题型03 y=Asin(ωx+φ)的图像变换........................................................................................................................5 题型04 根据图像求函数y=Asin(ωx+φ)的解析式...............................................................................................8 题型05 三角函数图像与性质的综合应用.............................................................................................................10 题型 01 y=Asin(ωx+φ)的单调性 【解题规律·提分快招】 y=Asin(wx+ϕ) 1、 的单调性 2π T= w (1)最小正周期: . y=Asin(wx+ϕ) (2)定义域与值域: 的定义域为R,值域为[-A,A]. (3)最值(以下 A>0,w>0 ) π { 当wx+ϕ= +2kπ(k∈Z)时,函数取得最大值A; 2 π 当wx+ϕ=− +2kπ(k∈Z)时,函数取得最小值−A; 2 (4)单调性 π π {wx+ϕ∈[− +2kπ, +2kπ](k∈Z)⇒增区间; 2 2 π 3π wx+ϕ∈[ +2kπ, +2kπ](k∈Z)⇒减区间. 2 2 【典例训练】 一、单选题 1.(23-24高三下·云南红河·期末)若函数 ,则函数 的单调递增区间为 ( )A. , B. , C. , D. , 2.(2024·福建泉州·一模)已知函数 的周期为 ,且在区间 内单调递增,则 可能是 ( ) A. B. C. D. 3.(24-25高三上·湖南长沙·阶段练习)在下列区间函数 单调递减的是( ) A. B. C. D. 4.(2024高三·全国·专题练习)已知函数 在 上单调递增,则 的最大值 为( ) A. B. C. D. 5.(2024·天津河北·一模)关于函数 有下述四个结论: ① 是偶函数; ② 在区间 上单调; ③ 的最大值为 ,最小值为 ,则 ; ④ 最小正周期是 . 其中正确的结论有( ) A.1个 B.2个 C.3个 D.4个 二、填空题 6.(23-24高三上·河南·阶段练习)已知 ,设函数 ,则 的单调递减区间 是 . 7.(24-25高三上·天津·阶段练习)函数 在 的单调递减区间是 8.(2024高三·全国·专题练习)已知函数 ,则函数 的值域为 .9.(23-24高三上·安徽·开学考试)写出函数 , 的一个单调递增区间为 . 10.(24-25高三上·广东佛山·阶段练习)已知函数 ,则当 时 的最 大值为 . 题型 02 y=Asin(ωx+φ)的奇偶性和对称性 【解题规律·提分快招】 y=Asin(wx+ϕ) 1、 的对称性和奇偶性 π {当wx +ϕ=kπ+ (k∈Z),即sin(wx +ϕ) 0 2 0 ¿±1时,y=sin(wx+ϕ)的对称轴为x=x 0 当wx +ϕ=kπ(k∈Z),即sin(wx +ϕ)=0 0 0 时,y=sin(wx+ϕ)的对称中心为(x ,0). 0 正弦曲线的对称轴是相应函数取最大(小)值的位置,对称中心是与x轴交点的位置. 2、对称与周期 T (1)y=Asin(ωx+φ)相邻两条对称轴之间的距离是 ; 2 T (2)y=Asin(ωx+φ)相邻两个对称中心的距离是 ; 2 T (3)y=Asin(ωx+φ)相邻两条对称轴与对称中心距离4 ; 3、函数具有奇、偶性的充要条件 (1)函数y=Asin(ωx+φ)(x∈R)是奇函数⇔φ=kπ(k∈Z); (2)函数y=Asin(ωx+φ)(x∈R)是偶函数⇔φ=kπ+(k∈Z); (3)函数y=Acos(ωx+φ)(x∈R)是奇函数⇔φ=kπ+(k∈Z); (4)函数y=Acos(ωx+φ)(x∈R)是偶函数⇔φ=kπ(k∈Z). 【典例训练】 一、单选题 1.(24-25高三上·云南昆明·期中)下列函数中,是奇函数且最小正周期为1的函数为( ) A. B. C. D. 2.(2024高三·全国·专题练习)已知 ,则 是( ) A.奇函数且最小正周期为 B.偶函数且最小正周期为 C.奇函数且最小正周期为D.偶函数且最小正周期为 3.(24-25高三上·天津滨海新·阶段练习)已知函数 ,其中正确的是 ( ) A. 的最小正周期为 ; B. 的图象关于直线 对称; C. 的图象关于点 对称; D. 在区间 上单调递增. 4.(2024·全国·模拟预测)函数 的部分图象为( ) A. B. C. D. 5.(24-25高三上·天津河西·期中)已知函数 有下列结论: ①最小正周期为 ; ②点 为 图象的一个对称中心; ③若 在区间 上有两个实数根,则实数a的取值范围是 ; ④若 的导函数为 ,则函数 的最大值为 . 则上述结论正确的是( ) A.①② B.②③ C.①④ D.①③④ 6.(24-25高三上·北京·开学考试)已知函数 的最小正周期为 ,最大 值为 ,则函数 的图象( ) A.关于直线 对称 B.关于点 对称 C.关于直线 对称 D.关于点 对称7.(24-25高三上·河北邢台·期中)函数 的所有零点的和为( ) A. B. C. D. 8.(24-25高三上·贵州·阶段练习)已知函数 的图象关于直线 对称,则当 时,曲线 与 的交点个数为( ) A.3 B.4 C.5 D.6 9.(2024·全国·模拟预测)已知函数 ,对于任意的 , , 都恒成立,且函数 在 上单调递增,则 的值为 ( ) A.3 B.9 C.3或9 D. 10.(24-25高三上·安徽·阶段练习)已知函数 的最小正周期为 ,则( ) A. 在 上单调递减 B. 是 图象的一个对称中心 C. 是 的一个对称轴 D. 的值域为 二、填空题 11.(2024·贵州毕节·三模)已知函数 的最小正周期为 ,则函数 图象的 一条对称轴方程为 . 12.(24-25高三上·湖北·阶段练习)若 是偶函数,则实数 的值为 . 13.(2025高三·全国·专题练习)已知函数 在 上有两个不同的零点 , 则 . 14.(23-24高三下·重庆·阶段练习)已知函数 的值域为 ,则 . 15.(24-25高三上·北京丰台·期末)已知函数 , , , , 则 ;方程 的所有实数解的和为 .题型 03 y=Asin(ωx+φ)的图像变换 【解题规律·提分快招】 y=Asin(wx+ϕ) 1、 的平移与伸缩 函数y=sin x的图象变换得到y=Asin(ωx+φ)(ω>0)的图象的步骤 注:每一个变换总是对变量x而言的,即图像变换要看“变量x”发生多大变化,而不是“角 wx+ϕ ”变 化多少. 【典例训练】 一、单选题 1.(24-25高三上·江苏扬州·阶段练习)将函数 图象上所有的点向左平移 个单位长 度,再把所有点的横坐标变为原来的 后,得到函数 的图象,则 ( ) A. B. C. D.1 2.(24-25高三上·山东青岛·阶段练习)要得到函数 的图象,只要将函数 的图象 ( ) A.向右平移 个单位 B.向左平移 个单位 C.向左平移 个单位 D.向右平移 个单位 3.(24-25高三上·吉林·期中)将函数 的图象向左平移 个单位长度后得到 的图象,则 在 上的值域为( ) A. B. C. D.4.(24-25高三上·广西·期末)将函数 的图象向右平移 个单位长度得到函数 的图象,若曲线 关于直线 对称,则 的最小正周期的最大值为( ) A. B. C. D. 5.(24-25高三上·山东·阶段练习)把函数 图象上所有点的横坐标伸长到原来的2倍,纵坐标不 变,再把所得曲线向左平移 个单位长度,得到函数 的图象,且 的图象关于点 中 心对称,则函数 的解析式可能是( ) A. B. C. D. 6.(24-25高三上·山东淄博·期末)把函数 的图象向右平移 个单位长度,再把图象上所有点的 横坐标伸长到原来的2倍,纵坐标不变,可以得到函数 的图象,则函数 的零 点的个数为( ) A.0 B.1 C.2 D.3 7.(24-25高三上·天津和平·期末)已知函数 的两条相邻对称轴之间的距离为 ,现将 图象向右平移 后得到函数 的图象,若函数 在区间 上单调递增,则实数 的取值范围是( ) A. B. C. D. 二、多选题 8.(24-25高三上·山东济南·阶段练习)已知函数 ,则( ) A. 的最大值为2 B. 在 上单调递增 C. 在 上有2个零点 D.把 的图象向左平移 个单位长度,得到的图象关于原点对称9.(24-25高三上·吉林四平·期末)已知函数 ,将函数 的图象先向右平移 个单位长度,再向下平移1个单位长度得到函数 的图象,则下列说法正确的是( ) A.函数 为偶函数 B. C. D.函数 的图象的对称轴方程为 题型 04 根据图像求函数 y=Asin(ωx+φ)的解析式 【解题规律·提分快招】 1、根据图像求解析式一般步骤 ①根据最高最低点求出A 2π ω,ω= ②根据周期算出 T ,题目一般会提供周期的一部分 ③通过带最高或最低点算出φ 【典例训练】 一、多选题 1.(24-25高三上·山东济宁·期末)已知函数 的部分图象如图所示,则下 列说法正确的是( ) A. B. 在 上单调递增 C. 在(0,π)上有两个极值点 D.点 是曲线y=f (x)的一个对称中心 2.(24-25高三上·陕西咸阳·阶段练习)已知函数 的部分图象如图所示,令 ,则下列说法正确的有( ) A. 的最小正周期为 B. 的对称轴方程为 C. 在 上的值域为 D. 的单调递增区间为 3.(24-25高三上·湖南·期中)已知函数 的部分图象如图所示,则 ( ) A. B. C. 的图象关于点 对称 D. 的图象关于直线 对称 4.(24-25高三上·河南·期中)函数 的部分图象如图所示,直线 与 图象的其中两个交点的横坐标分别为 , ,则( )A. B. C. 的图象关于 轴对称 D. 在 上的最小值为 5.(24-25高三上·吉林长春·期末)已知函数 的部分图象如图所示, , , ,则( ) A. B. C. 为奇函数 D.当 在 上恰有4个零点时, 6.(24-25高三上·安徽·阶段练习)已知函数 的图象如图所示, 的导函数为f′(x),令g(x)=f′(x),则下列说法正确的是( ) A.B.函数 图象的对称轴方程为 C.函数 在区间 上有2024个零点 D.函数 与 的图象关于点 对称 题型 05 三角函数图像与性质的综合应用 【典例训练】 一、单选题 1.(2024高三·全国·专题练习)已知函数 的部分图象如图,则 ( ) A.1 B. C. D.2 2.(2024·广东·模拟预测)已知 ,其中相邻的两条对称轴的距离为 ,且 经过点 ,则关于 的方程 在 上的不同解的个数为( ) A.6 B.5 C.4 D.3 3.(24-25高三上·安徽·阶段练习)已知函数 ,则下列命题正确的是( ) A. 是以 为周期的函数 B.直线 是曲线 的一条对称轴 C.函数 的最大值为 ,最小值为 D.函数在 上恰有2024个零点 二、多选题 4.(2024·陕西咸阳·模拟预测)已知 ,其中相邻的两个极值点的距离为,且 经过点 ,则( ) A. B. C. 时, 的值域为 D. 时, 与 的交点数为 个 三、填空题 π 5.(2024·北京西城·二模)已知函数f (x)=sin(ωx+φ) ( ω>0,|φ|< ) ,直线 与曲线y=f (x)的 2 两个交点 如图所示.若 ,且 在区间 上单调递减,则 ; . 6.(24-25高三上·上海宝山·阶段练习)定义函数 ,给出下列四个命题: (1)该函数的值域为 (2)当且仅当 时,该函数取得最大值 (3)该函数是以 为最小正周期的周期函数 (4)当且仅当 时, . 上述命题中正确的序号是 . 一、单选题 1.(24-25高三上·陕西榆林·期末)已知函数 ,则( ) A. 在区间 上单调递增 B. 在区间 上单调递减C. 在区间 上单调递增 D. 在区间 上单调递减 2.(24-25高三上·重庆·阶段练习)已知函数 ( )的最小正周期为 ,则 在 的最小值为( ) A. B. C.0 D. 3.(24-25高三上·辽宁沈阳·阶段练习)已知函数 ,为了得到 ( 为 的导函数)的图象,则只需要将函数 图象上的点( ) A.向左平移 个单位长度,纵坐标缩短为原来的 B.向左平移 个单位长度,纵坐标不变 C.向左平移 个单位长度,纵坐标缩短为原来的 D.向左平移 个单位长度,纵坐标不变 4.(24-25高三上·上海·期中)已知函数 为偶函数,则 的对称中心为 ( ) A. B. C. D. 5.(24-25高三上·广东深圳·阶段练习)已知函数 的部分图象 如图所示,则下列说法错误的是( ) A. 的最小正周期为B.当 时, 的值域为 C.将函数 的图象向右平移 个单位长度可得函数 的图象 D.将函数 的图象上所有点的横坐标伸长为原来的2倍,纵坐标不变,得到的函数图象关于点 对称 6.(2024·陕西商洛·一模)已知函数 ,且 是奇函数,则 ( ) A. B. C. D. 7.(2024·西藏拉萨·二模)已知函数 的部分图象如图, 是相邻的 最低点和最高点,直线 的方程为 ,则 ( ) A. B. C. D. 8.(2024·上海奉贤·一模)函数 ,则下列命题正确的是( ) A.函数是偶函数 B.函数定义域是 C.函数最大值 D.函数的最小正周期为 9.(24-25高三上·天津·阶段练习)函数 的图像与 轴的两个相邻交 点的距离是 ,若将 的图象向左平移 个单位长度,再把图象上所有点的横坐标伸长到原来的2倍, 纵坐标不变,得到 的图象,则 的表达式是( ) A. B. C. D.10.(24-25高三上·河北沧州·阶段练习)已知函数 的部分图象如 图所示,将函数 的图象先向右平移 个单位长度,再将所有点的横坐标缩短为原来的 (纵坐标不 变),得到函数 的图象,若关于 的方程 在 上有两个不等实根,则实数 的 取值范围为( ) A. B. C. D. 11.(24-25高三上·天津·阶段练习)已知函数 的部分图象如图所示,其 中 , ,则以下说法正确的个数为( ) ①函数 的最小正周期是 ; ②函数 的图象关于直线 对称; ③把函数 图像上的点纵坐标不变,横坐标缩短为原来的 ,得到 的图象; ④当 时, A.0 B.1 C.2 D.312.(2024·陕西安康·模拟预测)已知函数 的部分图象如图所示,其中 , ,则( ) A. B. C.直线 是 图象的一条对称轴D. 是 图象的一个对称中心 二、多选题 13.(24-25高三上·江苏宿迁·期中)把函数 图象上所有点的横坐标变为原来的 倍,纵坐 标不变,再向左平移 个单位长度,得到函数 的图象,则( ) A. 的最小正周期为 B. C. 在 上单调递增 D. 关于直线 对称 14.(24-25高三上·湖南长沙·阶段练习)已知函数 与 ,下列说法正确的是 ( ) A.将 的图象上所有点的横坐标变为原来的 ,并向左平移 个单位可以得到 的图象 B. 与 的图象存在相同的对称中心 C. 与 在区间 上单调性相同 D.当 时, 与 的图象有且仅有 个交点 15.(24-25高三上·安徽·阶段练习)已知函数 的部分图象如图所 示,则( )A. B. C.函数 的图象与直线 的相邻两交点间的距离为 D. 16.(2024·全国·模拟预测)已知 ,若 ,使得 ,则 的可能取值为( ) A. B. C. D. 17.(24-25高三上·云南昆明·期中)已知函数 的最大值为 ,其部分图象 如图所示,则( ) A. B.函数 为偶函数 C. 在 上恰有4个零点,则 D.当 时,函数 的值域为 三、填空题 18.(24-25高三上·全国·课后作业)函数 的单调递增区间为 .19.(24-25高三上·河北承德·期中)已知函数 的图象的一条对称轴为直线 ,则函数 的零点的最小正值为 . 20.(24-25高三上·山西大同·期中)已知函数 ,若 ,且 在区间 上恰有两个极值点,则 . 21.(2025高三·全国·专题练习)已知函数 ,将函数 的图象上每一点横坐标变为 原来的一半,再向左平移 个单位长度,得到函数 的图象,则 的最大值为 . 22.(2025高三·全国·专题练习)若函数 的图象关于直线 对称,则 的值 是 . 23.(24-25高三上·广东清远·阶段练习)已知函数 相邻两条对称轴 之间的距离为 ,且 ,则 在 上的零点个数为 .