当前位置:首页>文档>专题19函数中的新定义问题(含2021-2023高考真题)(解析版)_02高考数学_2024年新高考资料_3.2024专项复习_2024年新高考数学之函数专项重难点突破练(新高考专用)

专题19函数中的新定义问题(含2021-2023高考真题)(解析版)_02高考数学_2024年新高考资料_3.2024专项复习_2024年新高考数学之函数专项重难点突破练(新高考专用)

  • 2026-04-28 12:50:05 2026-04-28 11:48:06

文档预览

专题19函数中的新定义问题(含2021-2023高考真题)(解析版)_02高考数学_2024年新高考资料_3.2024专项复习_2024年新高考数学之函数专项重难点突破练(新高考专用)
专题19函数中的新定义问题(含2021-2023高考真题)(解析版)_02高考数学_2024年新高考资料_3.2024专项复习_2024年新高考数学之函数专项重难点突破练(新高考专用)
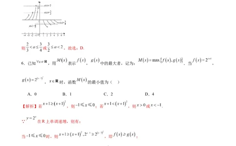
专题19函数中的新定义问题(含2021-2023高考真题)(解析版)_02高考数学_2024年新高考资料_3.2024专项复习_2024年新高考数学之函数专项重难点突破练(新高考专用)
专题19函数中的新定义问题(含2021-2023高考真题)(解析版)_02高考数学_2024年新高考资料_3.2024专项复习_2024年新高考数学之函数专项重难点突破练(新高考专用)
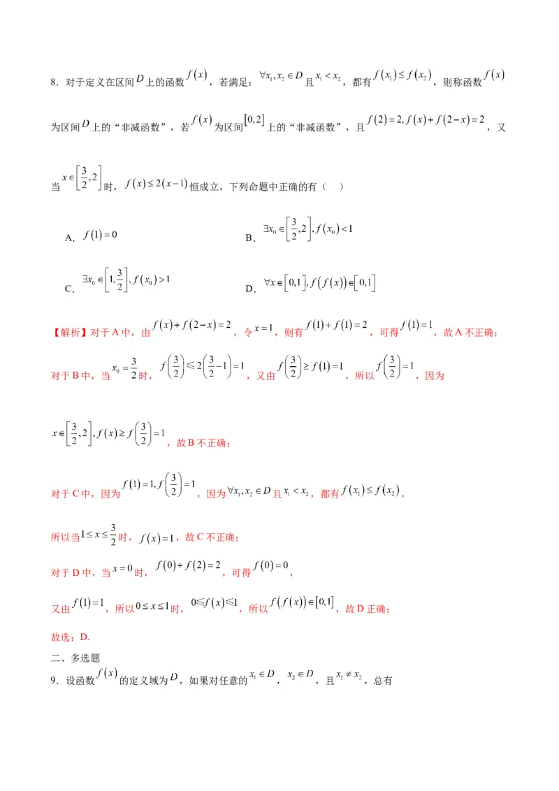
专题19函数中的新定义问题(含2021-2023高考真题)(解析版)_02高考数学_2024年新高考资料_3.2024专项复习_2024年新高考数学之函数专项重难点突破练(新高考专用)
专题19函数中的新定义问题(含2021-2023高考真题)(解析版)_02高考数学_2024年新高考资料_3.2024专项复习_2024年新高考数学之函数专项重难点突破练(新高考专用)
专题19函数中的新定义问题(含2021-2023高考真题)(解析版)_02高考数学_2024年新高考资料_3.2024专项复习_2024年新高考数学之函数专项重难点突破练(新高考专用)
专题19函数中的新定义问题(含2021-2023高考真题)(解析版)_02高考数学_2024年新高考资料_3.2024专项复习_2024年新高考数学之函数专项重难点突破练(新高考专用)
专题19函数中的新定义问题(含2021-2023高考真题)(解析版)_02高考数学_2024年新高考资料_3.2024专项复习_2024年新高考数学之函数专项重难点突破练(新高考专用)
专题19函数中的新定义问题(含2021-2023高考真题)(解析版)_02高考数学_2024年新高考资料_3.2024专项复习_2024年新高考数学之函数专项重难点突破练(新高考专用)
专题19函数中的新定义问题(含2021-2023高考真题)(解析版)_02高考数学_2024年新高考资料_3.2024专项复习_2024年新高考数学之函数专项重难点突破练(新高考专用)
专题19函数中的新定义问题(含2021-2023高考真题)(解析版)_02高考数学_2024年新高考资料_3.2024专项复习_2024年新高考数学之函数专项重难点突破练(新高考专用)
专题19函数中的新定义问题(含2021-2023高考真题)(解析版)_02高考数学_2024年新高考资料_3.2024专项复习_2024年新高考数学之函数专项重难点突破练(新高考专用)
专题19函数中的新定义问题(含2021-2023高考真题)(解析版)_02高考数学_2024年新高考资料_3.2024专项复习_2024年新高考数学之函数专项重难点突破练(新高考专用)
专题19函数中的新定义问题(含2021-2023高考真题)(解析版)_02高考数学_2024年新高考资料_3.2024专项复习_2024年新高考数学之函数专项重难点突破练(新高考专用)
专题19函数中的新定义问题(含2021-2023高考真题)(解析版)_02高考数学_2024年新高考资料_3.2024专项复习_2024年新高考数学之函数专项重难点突破练(新高考专用)
专题19函数中的新定义问题(含2021-2023高考真题)(解析版)_02高考数学_2024年新高考资料_3.2024专项复习_2024年新高考数学之函数专项重难点突破练(新高考专用)
专题19函数中的新定义问题(含2021-2023高考真题)(解析版)_02高考数学_2024年新高考资料_3.2024专项复习_2024年新高考数学之函数专项重难点突破练(新高考专用)
专题19函数中的新定义问题(含2021-2023高考真题)(解析版)_02高考数学_2024年新高考资料_3.2024专项复习_2024年新高考数学之函数专项重难点突破练(新高考专用)
专题19函数中的新定义问题(含2021-2023高考真题)(解析版)_02高考数学_2024年新高考资料_3.2024专项复习_2024年新高考数学之函数专项重难点突破练(新高考专用)
专题19函数中的新定义问题(含2021-2023高考真题)(解析版)_02高考数学_2024年新高考资料_3.2024专项复习_2024年新高考数学之函数专项重难点突破练(新高考专用)

文档信息

文档格式
docx
文档大小
0.963 MB
文档页数
17 页
上传时间
2026-04-28 11:48:06

文档内容

专题19 函数中的新定义问题 一、单选题 1.若一系列函数的解析式和值域相同,但定义域不相同,则称这些函数为“同值函数”,例如函数 与函数 即为“同值函数”,给出下面四个函数,其中能够被用来构造“同 值函数”的是( ) A. B. C. D. 【解析】对于A,函数 在定义域上单调递减, 所以值域确定时定义域也确定且唯一,所以不能构造“同值函数”,故A错误; 对于B,函数 在定义域上单调递增, 所以值域确定时定义域也确定且唯一,所以不能构造“同值函数”,故B错误; 对于C,函数 在定义域上单调递增, 所以值域确定时定义域也确定且唯一,所以不能构造“同值函数”,故C错误; 对于D,当定义域分别为 时,值域都为 ,故D正确. 故选:D. 2.高斯是德国著名的数学家,近代数学奠基者之一,享有“数学王子”的美誉,用其名字命名的“高斯 函数": 设 ,用 表示不超过 的最大整数,则 称为高斯函数,也称取整函数,例如: ,已知 ,则函数 的值域为( ) A. B. C. D. 【解析】因为 ,所以 ,则 ,所以函数 的值域为 , 故 的值域为-1或0.故选:B3.高斯是德国著名的数学家,近代数学奠基者之一,享有“数学王子”的称号,设 ,用 表示不 超过 的最大整数, 也被称为“高斯函数”,例如 , , ,设 为函数 的零点,则 ( ). A.2 B.3 C.4 D.5 【解析】 ,函数在 上单调递增, , ,若 ,则 ,所以 .故选:B 4.若直角坐标系内两点M、N满足条件①M、N都在函数y的图象上②M、N关于原点对称,则称点对 是函数y的一个“共生点对”(点对 与 看作同一个”共生点对”),已知函数 ,则函数y的“共生点对”有( )个 A.0 B.1 C.2 D.3 【解析】根据“共生点对”的概念知,作出函数 的图象关于原点对称的图象与函数 的图象如下图所示: 由图可知它们的交点有两个,所以函数y的“共生点对”有2对.故选:C. 5.已知 ,符号 表示不超过x的最大整数,若函数 有且仅有2个零点,则实数a的取值范围是( ) A. B. C. D. 【解析】函数 有且仅有2个零点,则 有且仅有2个解, 设 ,根据符号 作出 的草图如下: 则 或 ,故选:D. 6.已知 ,用 表示 , 中的最大者,记为: .当 , , 时,函数 的最小值为( ) A.0 B.1 C.2 D.4 【解析】若 ,则 ;若 ,则 或 . ∵ 在R上单调递增,则有: 当 时,则 ,即 ; 当 或 时,则 ,即 ; 综上所述: . 对于 ,则有:当 时,则 在R上单调递增, 在 上单调递减,∴ 在 上单调递减,且 ,则 ; 当 时,则 在R上单调递增, 在 上单调递增, ∴ 在 上单调递增,则 ; 当 时,则 在R上单调递增, 在 上单调递增, ∴ 在 上单调递增,且 ,则 ; 综上所述:当 时, 有最小值 .故选:B. 7.若函数 的定义域为 ,若存在实数 , ,使得 ,则称 是“局部奇 函数”.若函数 为 上的“局部奇函数”,则实数 的取值范围为( ) A. B. C. D. 【解析】由题意知,方程 有解, 则 ,化简得 , 当 时,不合题意 ; 当 时,可得 ,因为 ,当且仅当 时等号成立, 所以 , 当 时, 化简得 , 解得 ; 当 时, 化简得 , 解得 , 综上所述 的取值范围为 ,故选:A8.对于定义在区间 上的函数 ,若满足: 且 ,都有 ,则称函数 为区间 上的“非减函数”,若 为区间 上的“非减函数”,且 ,又 当 时, 恒成立,下列命题中正确的有( ) A. B. C. D. 【解析】对于A中,由 ,令 ,则有 ,可得 ,故A不正确; 对于B中,当 时, ,又由 ,所以 ,因为 ,故B不正确; 对于C中,因为 ,因为 且 ,都有 , 所以当 时, ,故C不正确; 对于D中,当 时, ,可得 , 又由 ,所以 时, ,所以 ,故D正确; 故选:D. 二、多选题 9.设函数 的定义域为 ,如果对任意的 , ,且 ,总有成立,则称函数 在 上为线增函数.下列函数中在其定义域 上为线增函数的有( ) A. B. C. D. , 【解析】由 得: ; 对于A, 的定义域为 ,不妨设 , ; 当 时, , 不是线增函数,A错误; 对于B, 的定义域为 ,不妨设 , , , , , 是线增函数,B正确; 对于C, 的定义域为 ,不妨设 , , , , , 是线增函数,C正确;对于D, , ,不妨设 , , , , , , 是线增函数,D正确. 故选:BCD. 10.设函数 的定义域为A,若对于A内任意两个值 , ,都有 ,则称 具有T性质.下列函数中具有T性质的是( ) A. B. C. D. 【解析】由题意,T性质满足 ,则函数为上凸或直线类的函数,A为直线,满 足条件;B为下凹函数不满足,CD均为上凸的函数,满足条件.故选:ACD. 11.设函数 , 定义域交集为 ,若存在 ,使得对任意 都有 , 则称 构成“相关函数对”.则下列所给两个函数构成“相关函数对”的有( ) A. B. C. D. 【解析】根据“相关函数对”的定义,可得两个函数的图象有且只有一个交点 ,且在 的右侧图象中 的图象高于 的图象,在 的左侧图象中 的图象低于 的图象. 对于A项,令 ,则 , , , 所以 在 上单调递减,在 上单调递增,所以 , 即 恒成立,所以不符合题意,故A项不成立; 对于B项,令 , ,则 , 所以 在 上单调递增,又因为 , , 所以由零点存在性定理知,存在唯一 ,使得 , 则对任意 ,不等式 恒成立,符合题意,故B项正确; 对于C项, ,则 , 所以 在 单调递增,又因为 , , 所以由零点存在性定理知,存在唯一 ,使得 , 则对任意 ,不等式 恒成立,符合题意,故C项正确; 对于D项,因为 ,解得: 或 , 所以 图象与 图象有两个交点,不符合题意,故D项不成立. 故选:BC. 12.已知符号函数 ,偶函数 满足 ,当 时, ,则下列 结论不正确的是( )A. B. C. D. 【解析】当 时, ,而 是偶函数,则当 , , 因此当 时, ,其取值集合为 ,又 ,即 是周期为2的函数, 于是函数 的值域为 , 的部分图象,如图, 当 时, ,A错误; ,B错误; 当 时, ,C正确; 当 时,取 ,则 , 此时 ,D错误. 故选:ABD 三、填空题 13.对于函数 ,若在其图象上存在两点关于原点对称,则称 为“倒戈函数”,设函数 是定义在 上的“倒戈函数”,则实数m的取值范围是_______. 【解析】因为函数 是定义在 上的“倒戈函数”, 所以存在 ,使 ,即 ,即 ,令 ,则 , 所以 ,当且仅当 ,即 时取等号, 解得 ,当 或 时, ,解得 , 所以 . 14.已知函数 , ,对任意的a,b, ,都存在以 , , 为三边的三角形, 则称该函数为三角形函数.若函数 是三角形函数,则实数m的取值范围是______. 【解析】当 时, ; 当 时, ,令 ,则 , 由对勾函数性质可知, 在 上单调递减,在 上单调递增, 又 ,所以 ,即 . 不妨设 ,则对任意的a,b, ,都存在以 , , 为三边的三角形, 等价于对任意的a,b, ,都有 ,等价于 . 当 ,即 时, ,即 ,所以 ; 当 ,即 时, ,即 ,所以 ; 当 ,即 时, ,即 ,所以 .综上,实数m的取值范围为 . 15.对于函数 ,如果存在区间 ,同时满足下列条件:① 在 上是单调的;②当 的定义域是 时, 的值域是 ,则称 是该函数的“倍值区间”.若函数 存在“倍值区间”,则a的取值范围是______. 【解析】由函数 单调递增,且函数 存在“倍值区间”, 知存在 ,使得 ,设 则 ,且 ,所以 , 因此二次函数 在 上有两个零点 , 且 , 则 ,解得 ,故答案为: . 16.对于三次函数 ,给出定义:设 是 的导数, 是 的导数,若方程 有实数解 ,则称点 为曲线 的“拐点”,可以发现, 任何一个三次函数都有“拐点”.设函数 ,则 ______. 【解析】因为 ,所以 , 设 ,则 ,令 ,可得 ,又 , 所以 ,即 , 所以 , 所以 . 四、解答题 17.对于实数a和b,定义运算“*”: ,设 . (1)求 的解析式; (2)关于x的方程 恰有三个互不相等的实数根,求m的取值范围. 【解析】(1)由 可得 ,由 可得 , 所以根据题意得 ,即 . (2)作出函数 的图象如图, 当 时, 开口向下,对称轴为 , 所以当 时,函数的最大值为 ,因为方程 恰有三个互不相等的实数根,所以函数 的图象和直线 有三 个不同的交点,可得 的取值范围是 . 18.设函数的定义域为 ,如果存在 ,使得 在 上的值域也为 ,则称 为“A 佳”函数.已知幂函数 在 内是单调增函数. (1)求函数 的解析式. (2)函数 是否为“A佳”函数.若是,请指出所在区间;若不是,请说明理由. 【解析】(1)因为幂函数 在 内是单调增函数, 所以 ,解得 ,所以函数 的解析式为 . (2)由(1)知, ,函数的定义域为 , 又 ,所以函数 的值域为 ,因为 在 上单调递增, 若存在 ,使得 在 上的值域为 , 则函数 在 上单调递增, 有 ,解得 或 , 或 ,显然 ,所以 , , 即存在 ,使得 在 上的值域为 ,故函数 为“ 佳”函数. “ 佳”函数 的区间为 ; 19.已知函数 ,若点 在函数 图像上运动时,对应的点在函数 图像上运动,则称函数 是函数 的相关函数. (1)求函数 的解析式; (2)对任意的 的图像总在其相关函数图像的上方,求实数 的取值范围. 【解析】(1)因为函数 ,且点 在函数 图像上运动, 所以 ,即 ,所以函数 的解析式为: . (2)因为对任意的 , 的图像总在其相关函数图像的上方, 所以当 时, 恒成立, 即 恒成立,由 , , ,得 , 所以在此条件下,即 时, 恒成立, 即 恒成立,即 恒成立, ∴ ,解得 ,故实数 的取值范围为 . 20.若在定义域内存在实数 ,使得 成立,则称函数有“飘移点” . (1)函数 是否有“飘移点”?请说明理由; (2)证明函数 在 上有“飘移点”; (3)若函数 在 上有“飘移点”,求实数a的取值范围. 【解析】(1)不存在,理由如下:对于 ,则 ,整理得 , ∵ ,则该方程无解,∴函数 不存在“飘移点”. (2)对于 ,则 ,整理得 , ∵ 在 内连续不断,且 , ∴ 在 内存在零点,则方程 在 内存在实根, 故函数 在 上有“飘移点”. (3)对于 ,则 , 即 ,∵ ,则 , 令 ,则 ,∴ , 又∵ ,当且仅当 ,即 时等号成立, 则 , , ∴ ,即 ,故实数a的取值范围为 . 21.设的数的定义域为 ,若存在正实数 ,使得对于任意 ,总有 ,且 , 则称 是 上的“ 距增函数”. (1)判断函数 是否为 上的“1距增函数”并说明理由;(2)已知 是定义在R上的奇函数,且当x > 0时, .若 为R上的“2022距增函数”, 求 的取值范围. 【解析】(1)对任意 ,都有 , ,即 . 所以函数 是为 上的“1距增函数”. (2) 是定义在R上的奇函数,且当x > 0时, , 当 时, . 当 时, , ,即 . 所以 . 若 时, 在R上单调递增,则 恒成立. 若 时, ①当 时, , 因为 单调递增,则 恒成立. ②当 时, , 单调递增, 则 恒成立. ③当 时, , 若 , 则 ,解得 . ④当 时,若 ,则 , ,即 . ⑤当 时,若 , 则 , ,即 . 综上: . 22.对于函数 ,若存在 ,使得 成立,则 称 为 的不动点. (1)当 时,求函数 的不动点; (2)若对任意实数 ,函数 恒有不动点,求 的取值范围. 【解析】(1)当 时, , 由题意知: ,解得 , , 所以当 时,函数 的不动点为 和 . (2)由题知: ,所以 由于函数 恒有不动点, 所以 ,即 ,又因为 是任意实数, 所以 ,即 ( ),解得 , 所以 的取值范围是 .