当前位置:首页>文档>2024年福建省中考生物真题(解析卷)_福建中考1_6.福建中考生物(2017-2025)

2024年福建省中考生物真题(解析卷)_福建中考1_6.福建中考生物(2017-2025)

  • 2026-03-21 12:38:37 2026-01-30 01:41:35

文档预览

2024年福建省中考生物真题(解析卷)_福建中考1_6.福建中考生物(2017-2025)
2024年福建省中考生物真题(解析卷)_福建中考1_6.福建中考生物(2017-2025)
2024年福建省中考生物真题(解析卷)_福建中考1_6.福建中考生物(2017-2025)
2024年福建省中考生物真题(解析卷)_福建中考1_6.福建中考生物(2017-2025)
2024年福建省中考生物真题(解析卷)_福建中考1_6.福建中考生物(2017-2025)
2024年福建省中考生物真题(解析卷)_福建中考1_6.福建中考生物(2017-2025)
2024年福建省中考生物真题(解析卷)_福建中考1_6.福建中考生物(2017-2025)
2024年福建省中考生物真题(解析卷)_福建中考1_6.福建中考生物(2017-2025)
2024年福建省中考生物真题(解析卷)_福建中考1_6.福建中考生物(2017-2025)
2024年福建省中考生物真题(解析卷)_福建中考1_6.福建中考生物(2017-2025)
2024年福建省中考生物真题(解析卷)_福建中考1_6.福建中考生物(2017-2025)
2024年福建省中考生物真题(解析卷)_福建中考1_6.福建中考生物(2017-2025)
2024年福建省中考生物真题(解析卷)_福建中考1_6.福建中考生物(2017-2025)
2024年福建省中考生物真题(解析卷)_福建中考1_6.福建中考生物(2017-2025)
2024年福建省中考生物真题(解析卷)_福建中考1_6.福建中考生物(2017-2025)
2024年福建省中考生物真题(解析卷)_福建中考1_6.福建中考生物(2017-2025)
2024年福建省中考生物真题(解析卷)_福建中考1_6.福建中考生物(2017-2025)
2024年福建省中考生物真题(解析卷)_福建中考1_6.福建中考生物(2017-2025)
2024年福建省中考生物真题(解析卷)_福建中考1_6.福建中考生物(2017-2025)
2024年福建省中考生物真题(解析卷)_福建中考1_6.福建中考生物(2017-2025)
2024年福建省中考生物真题(解析卷)_福建中考1_6.福建中考生物(2017-2025)
2024年福建省中考生物真题(解析卷)_福建中考1_6.福建中考生物(2017-2025)
2024年福建省中考生物真题(解析卷)_福建中考1_6.福建中考生物(2017-2025)
2024年福建省中考生物真题(解析卷)_福建中考1_6.福建中考生物(2017-2025)
2024年福建省中考生物真题(解析卷)_福建中考1_6.福建中考生物(2017-2025)
2024年福建省中考生物真题(解析卷)_福建中考1_6.福建中考生物(2017-2025)
2024年福建省中考生物真题(解析卷)_福建中考1_6.福建中考生物(2017-2025)
2024年福建省中考生物真题(解析卷)_福建中考1_6.福建中考生物(2017-2025)
2024年福建省中考生物真题(解析卷)_福建中考1_6.福建中考生物(2017-2025)

文档信息

文档格式
docx
文档大小
0.799 MB
文档页数
25 页
上传时间
2026-01-30 01:41:35

文档内容

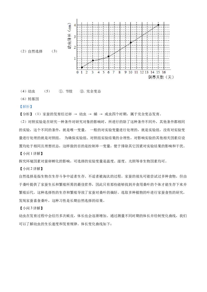
生物学试题 一、选择题:本题共25小题,每小题2分,共50分。在每小题给出的四个选项中,只有一 项是符合题目要求的。 阅读资料,回答下列小题: 夏日炎炎,读书之余,朵朵同学看着小鸟在树上吃果实,清风徐来,枝条摇曳,头脑里不禁浮现出“莺啄 含桃未嚥时,便会吟诗风动竹”的诗句。 1. 莺、桃、竹三者结构和功能的基本单位是( ) A. 细胞 B. 组织 C. 器官 D. 系统 2. 与莺相比,桃特有的细胞结构是( ) A. 细胞壁 B. 细胞膜 C. 细胞质 D. 细胞核 3. 竹叶表皮的组织是( ) A. 分生组织 B. 输导组织 C. 保护组织 D. 营养组织 4. 下图是细胞结构示意图,桃的甜味物质主要来自( ) A. ① B. ② C. ③ D. ④ 5. 下列属于桃的有性生殖方式的是( ) A. 嫁接 B. 扦插 C. 组织培养 D. 种子繁殖 6. 莺适于飞行的特点是( ) A. 体温恒定 B. 前肢为翼 C. 体内受精 D. 产卵繁殖 【答案】1. A 2. A 3. C 4. D 5. D 6. B 【解析】 【分析】(1)植物的结构层次:细胞→组织→器官→个体;动物体的结构层次:细胞→组织→器官→系 统→个体。 (2)植物和动物细胞都有细胞膜,细胞质和细胞核等组成,不同的是植物细胞有细胞壁,液泡和叶绿体 等。 的 (3)植物 组织主要有分生组织、保护组织、营养组织、输导组织和机械组织等,它们各有一定的功 能。(4)图可知,①细胞壁,②细胞膜,③细胞质,④液泡。 (5)无性生殖的关键在于没有两性生殖细胞的结合,是由母体直接产生新个体的方式,如嫁接、扦插、 压条、克隆、组织培养等。有性生殖是指经过两性生殖细胞(例如精子和卵细胞)的结合成为受精卵,再 由受精卵发育成为新的个体的生殖方式。 (6)鸟类的主要特征是:有喙无齿,身体被覆羽毛,前肢特化为翼,长骨中空,心脏四腔,用肺呼吸, 有气囊辅助呼吸,体温恒定,卵生。 【1题详解】 A.除病毒以外,细胞是生物体的结构和功能单位,所以莺、桃、竹三者结构和功能的基本单位是细胞, A符合题意。 B.组织是由形态相似,结构、功能相同的细胞联合在一起形成的细胞群,B不符合题意。 C.器官是由不同的组织按照一定的次序结合在一起构成的具有一定功能的结构,C不符合题意。 D.系统是能够共同完成一种或几种生理功能的多个器官按照一定的次序组合在一起构成的结构,D不符 合题意。 故选A。 【2题详解】 桃属于植物,细胞由细胞壁,细胞膜,细胞质和细胞核等组成,细胞质内有液泡、叶绿体和线粒体。莺属 于动物,细胞由细胞膜,细胞质,细胞核等组成,细胞质内有线粒体等。综上分析可知,与莺相比,桃特 有的细胞结构是细胞壁,A符合题意,BCD不符合题意。 故选A。 【3题详解】 A.分生组织分布在根尖的分生区、茎的形成层等,分生组织的细胞小,细胞壁薄细胞核大,细胞质浓, 具有很强的分裂能力,具有很强的分裂增生能力,A不符合题意。 B.输导组织贯穿于根、茎、叶等处,细胞呈长管形,细胞间以不同方式相互联系,运输水、无机盐、营 养物质,B不符合题意。 C.保护组织一般都分布在植物体的表面,细胞排列紧密,没有细胞间隙,而且在与空气接触的细胞壁上 有着角质,对内部各种组织起保护作用,所以竹叶表皮的组织是分生组织,C符合题意。 D.营养组织分布在植物的果肉、叶肉、茎中央的髓等,细胞壁薄,液泡大,有储存营养物质的功能,D 不符合题意。 故选C。 【4题详解】 A.①细胞壁,具有保护和支持的作用,A不符合题意。 B.②细胞膜具有保护和控制物质的进出,B不符合题意。C.③细胞质能够流动,加速物质的交换,C不符合题意。 D.液泡中含有细胞液,细胞液中溶解有糖分等物质,所以桃的甜味物质主要来自④液泡,D符合题意。 故选D。 【5题详解】 A.嫁接是指把一个植物体的芽或枝,接在另一个植物体上,使结合在一起的两部分长成一个完整的植物 体,嫁接属于无性繁殖,没有精子和卵细胞结合成受精卵的过程,因而后代一般不会出现变异,能保持嫁 接上去的接穗优良性状的稳定,而砧木一般不会对接穗的遗传性产生影响,A不符合题意。 B.扦插是指把能产生不定根的植物体的枝条剪下,将下端插进潮湿的土壤中,使枝条长成一个新个体的 方法,B不符合题意。 C.组织培养是指在无菌的条件下,利用无性生殖原理,将植物的茎尖、茎段或叶片等切成小块,培养在 特定的培养基上,通过细胞的分裂和分化,使它逐渐发育成完整的植物体,C不符合题意。 D.种子繁殖属于有性生殖,有性生殖是指经过两性生殖细胞(例如精子和卵细胞)的结合成为受精卵, 再由受精卵发育成为新的个体的生殖方式,D符合题意。 故选D。 【6题详解】 A.莺属于鸟类,体温恒定,恒温动物,但是与飞行没有直接的关系,A不符合题意。 B.莺属于鸟类,前肢变成翼,是飞行器官,与飞行生活相适应,B符合题意。 C.体内受精是精子和卵细胞在体内结合形成受精卵,与飞行没有直接的关系,C不符合题意。 D.产卵繁殖,在适宜的温度下发育为新的个体,与飞行没有直接的关系,D不符合题意。 故选B。 7. 在学校的劳动基地,同学们开展西瓜幼苗移栽和田间管理活动,下列叙述正确的是( ) A. 阴天移栽,有利于进行光合作用 B. 及时松土,促进根部的呼吸作用 C. 定期拔草,避免杂草争夺有机物 D. 过量施肥,有利于生根开花结果 【答案】B 【解析】 【分析】(1)光合作用是绿色植物利用光能,在叶绿体内,把二氧化碳和水转化成贮存能量的有机物, 并释放出氧气的过程。 (2)呼吸作用是细胞内的有机物在氧的参与下被分解成二氧化碳和水,同时释放出能量的过程。 (3)水分以气体状态通过叶片表皮上的气孔从植物体内散失到植物体外的过程叫做蒸腾作用。 【详解】A.阴天移栽,可以降低蒸腾作用,减少水分的散失,提高移栽的成活率,而不是有利于进行光合作用,A错误。 B.及时松土,可以使土壤疏松,土壤缝隙中的空气增多,有利于根的呼吸,促进根的生长,B正确。 C.定期拔草,是为了避免杂草争夺水分、无机盐等,而不是争夺有机物,C错误。 D.施肥要适量,过量施肥会造成土壤溶液浓度过高,植物细胞失水,导致植物因失水而萎蔫,D错误。 故选B。 8. 下图是黄豆种子结构示意图,种子萌发时首先突破种皮的是( ) A. ① B. ② C. ③ D. ④ 【答案】B 【解析】 【分析】图可知,①胚轴,②胚根,③胚芽,④子叶。 【详解】种子在萌发过程中先吸收水分,体积膨大,种皮涨破,同时,胚内的生命活动活跃起来,从子叶 得到营养物质和能量后开始分裂和生长:胚根最先突出种皮,发育成根,然后胚芽发育成茎和叶、胚轴发 育成连接茎与根的部分。综上分析可知,黄豆种子萌发时首先突破种皮的是②胚根。ACD不符合题意,B 符合题意。 故选B。 9. 对预防牙龈出血起主要作用的维生素是( ) A. 维生素A B. 维生素B1 C. 维生素C D. 维生素D 【答案】C 【解析】 【分析】维生素不是构成细胞的主要原料,不为人体提供能量,人体每日对它们的需要量也很小。但是, 维生素对人体的重要作用是其他营养物质所不能代替的。人体一旦缺乏维生素,就会影响正常的生长发育, 甚至患病。 【详解】A.维生素A对维持人体的正常视觉有很重要的作用,人体缺乏易患夜盲症,干眼症,皮肤干燥 和脱屑等病症,A不符合题意。 B.维生素B1有促进生长和消化,改善神经组织的功能,缺少了人体易患神经炎,脚气病、食欲不振,消 化不良,生长迟缓等症状,B不符合题意。C.维生素C能够增强人体的抵抗力,主要存在于新鲜的蔬菜和水果中,缺乏易患坏血病和抵抗力下降; 牙龈出血,这是坏血病的表现,是体内缺乏维生素C造成的,C符合题意。 D.维生素D能够促进钙、磷的吸收,D不符合题意。 故选C。 10. 下列有关人体激素的叙述,错误的是( ) A. 性激素与第二性征相关 B. 甲状腺激素能够抑制代谢 C. 生长激素是垂体分泌的 D. 胰岛素能够调节血糖浓度 【答案】B 【解析】 【分析】激素是由内分泌腺的腺细胞所分泌的、对人体有特殊作用的化学物质,它在血液中含量极少,但 是对人体的新陈代谢、生长发育和生殖等生理活动,却起着重要的调节作用;激素分泌过多或过少,人体 会患相应的疾病。 【详解】A.性激素包括雄性激素和雌性激素,雄性激素是由睾分泌的,雌性激素由卵巢分泌的,性激素 会促进男、女性附性器官成熟及第二性征出现,并维持正常性欲及生殖功能的激素,A正确。 B.甲状腺分泌的甲状腺激素能够促进人体的新陈代谢、促进生长和发育、提高神经系统的兴奋性,B错 误。 C.垂体分泌的生长激素,能够促进人体的生长和发育,C正确。 D.胰岛素是由胰岛分泌的,主要作用是调节糖的代谢,它能促进血糖合成糖原,加速血糖分解,从而降 低血糖浓度,D正确。 故选B。 11. 下列营养较均衡的食谱是( ) A. 米饭、炒青菜、清蒸鲈鱼、苹果 B. 米饭、红烧肉、排骨汤、冰激凌 C. 牛排、奶油蛋糕、炸鸡腿、牛奶 D. 炸鸡、香辣鸡翅、炸薯条、可乐 【答案】A 【解析】 【分析】人体需要的营养物质有:糖类、脂肪、蛋白质、水、无机盐、维生素。为了做到合理营养,按 “平衡膳食宝塔”均衡摄取五类食物,以避免营养不良和营养过剩。 【详解】A.米饭提供糖类,炒青菜、苹果提供维生素,无机盐等,清蒸鲈鱼主要提供蛋白质,营养全面 而均衡,A符合题意。 B.米饭主要提供糖类、红烧肉主要提供蛋白质和脂肪、排骨汤主要提供蛋白质、冰激凌主要提供糖类和 脂肪,缺少维生素,营养不全面,B不符合题意 。 C.牛排、炸鸡腿、牛奶主要提供蛋白质, 奶油蛋糕提供脂肪、糖类,缺少维生素等营养物质,C不符合题意。 D.炸鸡、香辣鸡翅提供蛋白质,炸薯条能够提供糖,可乐提供水分、糖类,缺少维生素等营养物质,D 不符合题意。 故选A。 12. “眼睛是心灵的窗户”。下列行为有利于预防近视的是( ) A. 躺在床上看书 B. 趴在桌上写字 C. 长时间刷视频 D. 做好眼保健操 【答案】D 【解析】 【分析】如果眼球的前后径过长或晶状体的曲度过大,远处物体反射来的光线通过晶状体折射后形成的物 像就会落在视网膜的前方,因此看不清远处的物体,这样的眼叫近视;近视一般是由于用眼不卫生引起的。 【详解】预防近视要做到:三要、五不看,有效地预防了近视眼的发生。三要是:看书写字40分钟后要到 室外活动或向远处眺望一会儿;要认真做眼保健操,所按穴位要准确。五不看是:不要在暗弱光线下和直 射的阳光下看书写字;不要躺在床上、在公共汽车上或走路时看书;不要看字体过小、字行过密、字迹印 刷不清的读物;做作业不要用淡色铅笔;看电视时间不要太久。其中眼保健操是一种眼睛的保健体操,主 要是通过按摩眼部穴位,调整眼及头部的血液循环,调节肌肉,改善眼的疲劳,达到预防近视等眼部疾病 的目的,所以躺在床上看书、趴在桌上写字、长时间刷视频都对眼睛不健康,而做好眼保健操有利于预防 近视,故ABC错误,D正确。 故选D。 阅读资料,回答下列小题: 下图为兴趣小组制作的模拟人体骨、关节、肌肉三者之间关系的模型。 13. 模型中模拟肌肉的是( ) A. 木板 B. 小螺丝 C. 大螺丝 D. 松紧带 14. 有同学指出模型有不足之处,修正后更合理的是( ) A. B. C. D.【答案】13. D 14. C 【解析】 【分析】骨骼肌有受刺激而收缩的特性。当骨骼肌受神经传来的刺激收缩时,就会牵动骨绕关节活动,于 是躯体就会产生运动。 【13题详解】 骨骼肌有受刺激而收缩的特性,当骨骼肌受神经传来的刺激收缩时,就会牵动着它所附着的骨,绕着关节 活动,于是躯体就产生了运动。但骨骼肌只能收缩牵拉骨而不能将骨推开,因此一个动作的完成总是由两 组肌肉相互配合活动,共同完成的。在运动中,神经系统起调节作用,骨起杠杆的作用,关节起支点作用, 骨骼肌起动力作用。可见,人体完成一个运动都要有神经系统的调节,有骨、骨骼肌、关节的共同参与, 多组肌肉的协调作用,才能完成。图中木板模拟骨,松紧带模拟肌肉,小螺丝模拟关节,D符合题意。 故选D。 【14题详解】 在人体中,骨骼肌是运动的主要执行者。但是,由于骨骼肌只能收缩并拉动骨骼,而不能直接推动它们, 因此,为了完成一个完整的运动,通常需要两组或更多的肌肉协同工作。肌肉的一端(起点)附着在一个 骨上,另一端(止点)附着在另一个骨上。当肌肉收缩时,它会拉动它所附着的骨,使其相对于另一个骨 移动。总的来说,运动的完成至少需要2组肌肉共同参与,同时同一个肌肉两端需要连接在不同的骨上, C符合题意。 故选C。 15. 下列人的生殖器官与功能的对应关系,错误的是( ) A. 输卵管——提供营养 B. 阴道——分娩通道 C. 卵巢——产生卵细胞 D. 睾丸——产生精子 【答案】A 【解析】 【分析】女性的主要生殖器官及功能:卵巢的功能是产生卵细胞,子宫是胚胎和胎儿发育的场所,阴道是 精子进入和胎儿产生的通道,输卵管的功能是输送卵细胞;男性的主要生殖器官及功能:精囊腺、前列腺 的功能是分泌粘液,阴囊的功能是保护睾丸和附睾,阴茎的功能是排出精液和尿液,输精管的功能是输送 精子,睾丸的功能是产生精子和分泌雄性激素,附睾的功能是储存精子。 【详解】A.输卵管是女性生殖系统中重要的组成部分,其主要功能并不是提供营养。实际上,输卵管的 主要功能是输送卵细胞,即卵子从卵巢排出后,通过输卵管进入子宫。此外,输卵管也是精子和卵子相遇 并结合成受精卵的地方,A错误。 B.阴道是女性生殖系统的一个重要部分,是分娩时胎儿通过的通道,B正确。 C.卵巢是女性的主要性腺,其主要功能是产生卵细胞和分泌雌性激素,C正确。D.睾丸是男性的主要性腺,其主要功能是产生精子和分泌雄性激素,D正确。 故选A。 16. 下列有关人的生殖与遗传的叙述,正确的是( ) A. 母亲的卵细胞类型决定孩子性别 B. 男孩的X染色体一定来自于母亲 C. 形成的生殖细胞染色体数目加倍 D. 女孩体细胞染色体组成是44+XY 【答案】B 【解析】 【分析】在亲代的生殖细胞形成过程中,经过减数分裂,两条性染色体彼此分离,男性产生两种类型的精 子--含X染色体的精子和含Y染色体的精子,女性则只产一种含X染色体的卵细胞。受精时,如果是含X 的精子与卵子结合,就产生具有XX的受精卵并发育成女性;如果是含Y的精子与卵子结合,就产生具有 XY的受精卵并发育成为男性。这说明男女的性别在受精卵形成时就已确定。由于男性可产生数量相等的 X精子与Y精子,加之它们与卵子结合的机会相等,所以每次生男生女的概率是相等的。 【详解】A.人的性别决定于性染色体;在亲代的生殖细胞形成过程中,两条性染色体彼此分离,男性产 生两种类型的精子−−含X染色体的精子和含Y染色体的精子。女性则只产一种含X染色体的卵细胞。受 精时,如果是含X的精子与卵子结合,就产生具有XX的受精卵并发育成女性;如果是含Y的精子与卵子 结合,就产生具有XY的受精卵并发育成为男性。因此,孩子的性别由父亲的精子类型决定,A错误。 B.男孩的性染色体是XY,其中X染色体一定来自于母亲,Y染色体一定来自于父亲,B正确。 C.在形成生殖细胞的过程中,成对的染色体发生分离,分别进入不同的生殖细胞中,因此生殖细胞中的 染色体数比体细胞中的少一半,C错误。 D.女孩体细胞染色体组成是44条常染色体+XX,D错误。 故选B。 17. 朵朵遇到挫折感到烦恼时,下列做法错误的是( ) A. 适当运动 B. 调节情绪 C. 沉迷手机 D. 转移注意 【答案】C 【解析】 【分析】心情愉快是儿童青少年心理健康的核心。良好的情绪和适度的情绪反应,表示青少年的身心处于 积极的健康状态。调节自己的情绪可概括为:转移注意力;宣泄;自我安慰。 【详解】A.运动是一种有效的情绪调节方式。通过运动,人们可以释放压力,减轻焦虑,提高情绪状态。 因此,适当运动是应对挫折和烦恼的积极方法,A正确。 B.调节情绪是处理挫折和烦恼的关键。通过积极的心态和情绪管理技巧,人们可以更好地应对生活中的挑战,减少负面情绪的影响,B正确。 C.虽然手机可以提供一些娱乐和放松的方式,但沉迷手机并不是一个健康的应对挫折和烦恼的方法。长 时间使用手机不仅可能导致身体健康问题,如视力下降、颈椎疼痛等,还可能加剧焦虑和抑郁等负面情绪。 此外,沉迷手机还可能影响人们的社交能力和生活质量,C错误。 D.转移注意是另一种有效的情绪调节策略。当人们感到烦恼或沮丧时,将注意力转移到其他事物上可以 帮助他们暂时忘记烦恼,缓解负面情绪,D正确。 故选C。 18. 在泌尿系统的结构中,具有暂时贮存尿液作用的器官是( ) A. 肾脏 B. 输尿管 C. 膀胱 D. 尿道 【答案】C 【解析】 【分析】人体的泌尿系统主要由肾脏、输尿管、膀胱和尿道等组成,肾脏是形成尿液的器官,是泌尿系统 的主要部分。 【详解】A.肾脏是形成尿液的器官,是泌尿系统的主要部分,A错误。 B.输尿管把尿液运送到膀胱,B错误。 C.膀胱暂时储存尿液,C正确。 D.尿道是排出尿液的通道,D错误。 故选C。 19. 太阳升起,草原上野兔正在吃苜蓿,一只鹰从天而降,野兔成为它的美食,残骸最终被细菌分解。下 列食物链正确的是( ) . A 阳光→野兔→鹰 B. 苜蓿→野兔→鹰 C. 野兔→鹰→细菌 D. 苜蓿→野兔→细菌 【答案】B 【解析】 【分析】食物链反映的是生产者与消费者之间吃与被吃这种关系的,所以食物链中不应该出现分解者和非 生物部分。食物链的正确写法是:生产者→初级消费者→次级消费者,注意起始点是生产者,箭头由被捕 食者指向捕食者。 【详解】A.阳光是非生物部分,而食物链不包括非生物部分,A错误。 B.该食物链正确的表示了生产者苜蓿与消费者野兔、鹰它们之间的关系,B正确。 C.起始点不是生产者;细菌是分解者,而食物链不包括分解者,C错误。 D.细菌是分解者,而食物链不包括分解者,D错误。 故选B。20. 下列植物属于蕨类的是( ) A. B. C. D. 【答案】C 【解析】 【分析】蕨类植物有了根、茎、叶的分化,并且体内有输导组织和机械组织等,输导组织能为植物输送大 量的有机物供植株利用,机械组织有支持作用,能支撑地上部分,因此蕨类植物一般长的比较高大。 【详解】由图可知,A选项具有叶状体,为藻类植物,B选项具有假根,属于苔藓植物,C具有根、茎、 叶,有孢子囊,靠孢子生殖后代,属于蕨类植物,D选项具有花,属于被子植物,故ABD错误,C正确。 故选C。 21. 微生物与人类生产、生活关系密切,下列对应关系正确的是( ) A. 乳酸菌——腌制腊肉 B. 大肠杆菌——生产沼气 C. 酵母菌——酿造米酒 D. 醋酸杆菌——制作酸奶 【答案】C 【解析】 【分析】细菌、真菌等微生物的种类多种多样,与人类生活的关系非常密切,大多数细菌、真菌等微生物 对人类是有益的,如微生物的发酵在食品的制作中有重要的意义,甲烷菌可以净化污水,乳酸菌可以制作 酸奶、泡菜等,少数微生物对人类是有害的,有些微生物能使人或其他生物患病。 【详解】A.乳酸菌是一类能够发酵糖类并主要产生乳酸的细菌。它们常用于食品发酵,如酸奶、泡菜等。 但乳酸菌并不直接用于腌制腊肉,A错误。 B.大肠杆菌是一种在人和动物肠道中常见的细菌,虽然有些菌株是益生菌,但通常它们并不用于生产沼 气。沼气主要由厌氧菌在缺氧条件下分解有机物质产生,B错误。 C.酵母菌是一类单细胞真菌,它们能够分解糖类并产生酒精和二氧化碳。因此,酵母菌被广泛用于酿造 米酒、啤酒等酒精饮料,C正确。D.醋酸杆菌是一类能够氧化乙醇(酒精)为醋酸的细菌。它们主要用于食醋的生产,而不是制作酸奶, D错误。 故选C。 22. 下列有关实验的分析,正确的是( ) A. ①装有煮熟种子的装置中温度更高 B. ②说明植物的呼吸作用能产生氧气 C. ③收集的气体能使澄清石灰水变浑浊 D. ④滴加碘液后叶片的遮光部分不变蓝 【答案】D 【解析】 【分析】(1)呼吸作用是指细胞在氧的参与下,通过酶的催化作用,把糖类等有机物彻底氧化分解,产 生出二氧化碳和水,同时释放出能量的过程。 (2)绿叶在光下制造有机物的实验步骤:暗处理→选叶遮光→光照→摘下叶片→酒精脱色→漂洗加碘→ 观察颜色。 【详解】A.①装有煮熟种子不能进行呼吸作用,不能释放出能量,温度不会升,没有煮熟种子进行呼吸 作用,释放出能量,温度会升高,A错误。 B.呼吸作用吸收氧气,释放出二氧化碳,煮熟的种子装置,蜡烛不熄灭,而没有煮熟的种子进行呼吸作 用吸收了氧气,燃烧的蜡烛熄灭,②说明植物的呼吸作用吸收氧气,B错误。 C.金鱼藻在光照下进行光合作用,产生了氧气,氧气能够助燃,所以③收集的气体能够燃烧,C错误。 D.④滴加碘液后叶片的遮光部分,因缺少光照不能进行光合作用,没有产生淀粉,滴加碘液不变蓝色, D正确。 故选D。 23. 下列有关疫苗的叙述,错误的是( ) A. 可通过注射或口服进入人体 B. 能刺激人体产生抗体 C. 乙肝疫苗能预防流行性感冒 D. 可以应用于计划免疫 【答案】C 【解析】 【分析】疫苗通常是用失活的或减毒的病原体制成的生物制品。【详解】A.疫苗可通过注射或口服进入人体,预防疾病,故A正确。 B.从人体免疫角度分析,注射的疫苗属于抗原,能刺激人体产生抗体 ,故B正确。 C.一种抗体只能针对一种抗原发挥特异性免疫作用,接种乙肝疫苗后产生的抗体只能抵抗乙肝病毒,对 流感病毒不起作用,故C错误。 D.计划免疫就是按科学的免疫程序,有计划地给易感人群接种,属于特异性免疫。疫苗可以应用于计划 免疫,故D正确。 故选C。 24. 下列有关微生物的叙述,正确的是( ) A. 噬菌体是细菌病毒,有细胞结构 B. 酵母菌有液泡,是植物细胞 C. 细菌都有叶绿体,能合成有机物 D. 曲霉是真菌,利用孢子繁殖 【答案】D 【解析】 【分析】病毒没有细胞结构,细菌无形成的细胞核,真菌具有成形的细胞核,细菌、真菌、病毒生活方式 为异养,细菌为分裂生殖,真菌有单细胞的也有多细胞的,大多数为孢子生殖,病毒的生殖方式为自我复 制。 【详解】A.噬菌体是细菌病毒,没有细胞结构,只有蛋白质外壳和内部的遗传物质,A错误。 B.酵母菌属于真菌,有液泡,但它是单细胞真菌,不是植物细胞,B错误。 C.细菌没有叶绿体,不能合成有机物,只能利用现成的有机物生活,C错误。 D.曲霉属于多细胞真菌,利用孢子繁殖后代,D正确。 故选D。 25. 化石证据显示,200万年前大熊猫的食性从杂食进化成几乎以竹子为食。相比其他动物的食物,竹子 坚硬难以咀嚼和消化,供能更少。科学家研究大熊猫时发现:①下颌结构及咀嚼肌发达②肠道远短于其他 植食性动物③参与消化的肠道菌群与杂食性动物黑熊的更相似④日均移动距离小于500米⑤与其他动物相 比,睡眠时间更长,以上支持大熊猫适于以竹子为食的事实是( ) A. ①②③ B. ①③④ C. ①④⑤ D. ②④⑤ 【答案】C 【解析】 【分析】生物体结构和功能相适应是一个重要的生物学原理,它描述了生物体的各个部分(如细胞、组织、 器官等)在形态、结构和功能上的相互协调,以确保生物体能够高效地完成其生命活动。 【详解】①下颌结构及咀嚼肌发达:这支持了大熊猫能够咀嚼坚硬且难以咀嚼的竹子。因为竹子相比其他食物更为坚硬,所以需要一个强大的咀嚼系统来应对,符合题意。 ②肠道远短于其他植食性动物:这实际上并不支持大熊猫以竹子为食的适应性。因为竹子难以消化,通常 需要较长的肠道来充分吸收营养。大熊猫的短肠道可能意味着它们从竹子中吸收的营养较少,不符合题意。 ③参与消化的肠道菌群与杂食性动物黑熊的更相似:这并未支持大熊猫虽然主要吃竹子,但其消化系统仍 然保留了一定的杂食特性,能够处理不同类型的食物,不符合题意。 ④日均移动距离小于500米:这支持了大熊猫以竹子为食的适应性。因为竹子在它们的栖息地中相对丰富, 所以大熊猫不需要像其他动物那样移动很长的距离来寻找食物,符合题意。 ⑤与其他动物相比,睡眠时间更长:这也支持了大熊猫以竹子为食的适应性。由于竹子提供的能量较少, 大熊猫需要更多的休息时间来保存能量,符合题意。 综合以上分析,我们可以看出,①、④和⑤都支持大熊猫以竹子为食的适应性,C符合题意。 故选C。 二、非选择题:本题共9小题,除特殊标注外,每空1分,共50分。(在[ ]内填序号) 26. 阅读资料,判断下列叙述是否正确。 2024年4月25日,我国成功发射神舟十八号载人飞船,搭载以四条斑马鱼和若干金鱼藻为主的小型生态 系统,开创了“太空养鱼”的先例。斑马鱼属于鲤形目鲤科短担尼鱼属,具有个体小、繁殖快、胚胎和幼 鱼全身透明等适于实验研究的特性。金鱼藻属于双子叶植物。航天员必须给斑马鱼喂食、供氧,为金鱼藻 提供营养液、照明,同时满足温度等指标要求,才能保障系统稳定运行。 (1)划线部分共涉及三个生物分类等级。( ) (2)斑马鱼的特性是由遗传物质决定的。( ) (3)金鱼藻属于被子植物,可以开花结果。( ) (4)该小型生态系统的自动调节能力较弱。( ) 【答案】(1)正确 (2)正确 (3)正确 (4)正确 【解析】 【分析】(1)植物按照其生殖方式可以分为孢子植物和种子植物。种子植物靠种子繁殖,按照种子是否 有果皮包被可以分为裸子植物和被子植物。 (2)生态系统中生物种类越多,其自动调节能力越强;反之则越弱;太空鱼缸这个生态系统的结构极为 简单,自动调节能力弱。 【小问1详解】 划线部分提到了“鲤形目鲤科短担尼鱼属”,这确实涉及了三个生物分类等级,即目、科、属,题干叙述 正确。 【小问2详解】生物体的所有特性,包括形态、结构、生理和行为等,都是由其遗传物质(主要是DNA)决定的。斑马鱼 的个体小、繁殖快、胚胎和幼鱼全身透明等特性也不例外,都是由其遗传物质决定的,题干叙述正确。 【小问3详解】 资料中提到,金鱼藻属于双子叶植物,因此,金鱼藻确实属于被子植物,被子植物能够开花结果,题干叙 述正确。 【小问4详解】 生态系统中的生物种类和数量越多,其自动调节能力就越强。而题目中描述的小型生态系统只包含了斑马 鱼和金鱼藻两种生物,生物种类和数量都较少,因此其自动调节能力确实较弱,题干叙述正确。 27. 麻辣小龙虾和蒜蓉小龙虾是广受欢迎的美食。 (1)小龙虾体表有______且定期蜕皮。 (2)看见麻辣小龙虾,朵朵分泌唾液,这一反射的类型是______,其反射弧的效应器是图1中的[___]。 (3)小龙虾富含蛋白质,肉质细嫩。蛋白质进入消化道后,在图2中的[___]开始消化,在小肠进一步 消化吸收。列举小肠适于吸收的结构特点:______(答出一点即可)。 【答案】(1)外骨骼 (2) ①. 复杂反射##条件反射 ②. ④ (3) ①. ⑥ ②. 长度长(或具有环形皱襞或具有小肠绒毛或具有丰富的毛细血管) 【解析】 【分析】图可知,①视网膜,②视神经,③下行传导纤维,④唾液腺,⑤肝脏,⑥胃,⑦小肠。 【小问1详解】 小龙虾属于节肢动物,身体由许多体节构成,体表有外骨骼,具有保护内部柔软的身体,防止水分的散失, 但是外骨骼不随身体的生长而生长,需要蜕皮。 【小问2详解】 看见麻辣小龙虾,朵朵分泌唾液,这一反射的类型是条件反射,这是人出生以后在生活过程中逐渐形成的后天性反射,是在非条件反射的基础上,经过一定的过程,在大脑皮层参与下完成的,是一种高级的神经 活动,反射的结构基础是反射弧,反射弧包括感受器、传入神经、神经中枢、传出神经、效应器组成,任 何一个环节中断反射不能进行,引起唾液的分泌其反射弧的效应器是图1中的④唾液腺。 【 小问3详解】 蛋白质在胃内胃液的作用下初步分解,初步分解的蛋白质在小肠内消化液的作用下分解为氨基酸。蛋白质 进入消化道后,在图2中的⑥胃开始消化,在小肠进一步消化吸收。小肠适于吸收的结构特点:长度长 (或具有环形皱襞或具有小肠绒毛或具有丰富的毛细血管)。 28. 吸烟有害健康,可能引发呼吸系统、循环系统疾病。 (1)图1中①~⑤组成________,⑧血管的类型是________。 (2)长期吸烟者患慢性支气管炎的几率比不吸烟者高出5~10倍,患者的小支气管比正常人的狭窄,影响 了________与外界的气体交换。因此,患者常感到呼吸困难。 (3)吸烟时,烟草中的有害物质进入血液,最先到达图2中的________(填字母)。有害物质刺激血管壁, 引起脂类物质在血管壁上堆积,从而导致动脉粥样硬化,最终影响______输送给组织细胞。 【答案】(1) ①. 呼吸道 ②. 动脉 (2)肺 (3) ①. b ②. 营养物质和氧 【解析】 【分析】图1中①鼻,②咽,③喉,④气管,⑤支气管,⑥肺,⑦静脉,⑧动脉,图2中a右心房,b左心 房,c右心室,d左心室。 【小问1详解】 由分析可知,图1中①~⑤组成呼吸系统的呼吸道,是气体的通道,⑧血管管壁厚,管径小,所以是动脉。 【小问2详解】 呼吸系统中肺是气体交换的场所,肺是由许多肺泡组成的,气体经过呼吸道的①鼻,②咽,③喉,④气管, ⑤支气管,到达肺进行气体交换,所以长期吸烟者患慢性支气管炎的几率比不吸烟者高出5~10倍,患者的小支气管比正常人的狭窄,影响了肺与外界的气体交换,因此,患者常感到呼吸困难。 【小问3详解】 吸烟时,烟草中的有害物质进入血液,最先随肺静脉到达图2中的b左心房。有害物质刺激血管壁,引起 脂类物质在血管壁上堆积,从而导致动脉粥样硬化,最终影响营养物质和氧输送给组织细胞。 29. 中药黄精是黄精植株的根状茎,具有提高免疫力、降血糖血脂和消炎等功效。黄精怕强光照射,人工 栽培时适当遮光利于有机物积累,提高产量。 (1)从结构层次上看,中药黄精属于______。 (2)黄精植株传粉时,花粉从_______(填序号),受精后[____]发育成果实。 (3)叶制造的有机物通过______运往根状茎。从光合作用与呼吸作用角度,分析根状茎有机物积累的原 因是________。 (4)据图2可知,当________%遮光时,有机物相对积累量最高。 【答案】(1)器官 (2) ①. ③→② ②. ① (3) ①. 筛管 ②. 光合作用制造 的有机物多于呼吸作用消耗的有机物 (4)40 【解析】 【分析】图1中:①子房;②柱头;③花药。 【小问1详解】 中药黄精是黄精植株的根状茎,因此,从结构层次上看,中药黄精属于器官,因为它是根、茎、叶都属于 植物的营养器官。 【小问2详解】 黄精植株传粉时,花粉从花药中散出,经过一定的传播方式到达雌蕊的柱头上。在受精过程中,花粉管会穿过花柱进入子房,到达胚珠,释放精子与卵细胞结合形成受精卵。随后,子房会发育成果实,其中子房 壁发育成果皮,胚珠发育成种子,受精卵发育成胚。因此,在黄精植株中,花粉从花药(③)散出,受精 后子房(①)发育成果实。 【小问3详解】 叶制造的有机物通过筛管运往根状茎。筛管是植物体内负责运输有机物的管道。光合作用合成有机物,呼 吸作用分解有机物,因此,从光合作用与呼吸作用的角度来看,光合作用产生的有机物多于呼吸作用消耗 的有机物,因此有机物得以积累。 【小问4详解】 据图2可知,当遮光率为40%时,有机物相对积累量最高。这是因为在该遮光率下,光合作用和呼吸作用 的平衡使得有机物的积累达到最大值。 30. 海洋覆盖了地球表面的71%,栖息着20多万种生物。以下为海洋中部分动物图。 (1)海洋生物多种多样,体现了生物多样性中的______。图中属于脊椎动物的有______(填字母)。 (2)B和C均以D为食,B和C的关系是________,从生态系统的组成成分来看,它们都属于生物部分 中的________。 (3)E主要以水母为食,经常误食同样半透明的塑料废品,为保护E,你能做的是:________。 【答案】(1) ①. 生物种类多样性(或物种多样性) ②. BCDE (2) ①. 竞争 ②. 消费者 (3)不乱扔塑料垃圾(或尽量少用塑料制品) 【解析】 【分析】图可知,A螃蟹属于节肢动物,B鲸鱼属于哺乳动物,C蛇属于爬行动物,D鱼类,E乌龟。 【小问1详解】 生物种类的多样性是指一定区域内生物钟类(包括动物、植物、微生物)的丰富性,如人类已鉴定出的物 种,大约有170多万个,我国已知鸟类就有1244种之多,被子植物有3000种,即物种水平的生物多样性 及其变化。海洋生物多种多样,体现了生物多样性中的生物种类多样性。图中属于脊椎动物的有B鲸鱼, C蛇,D鱼类,E乌龟,体内均有脊椎骨构成脊柱,属于脊椎动物。 【小问2详解】 B和C均以D为食,B和C的关系是竞争,从生态系统的组成成分来看,它们都属于生物部分中的消费者, 消费者主要是指不能进行光合作用的各种动物,它们的生存都直接或间接的依赖绿色植物制造的有机物。【小问3详解】 E主要以水母为食,经常误食同样半透明的塑料废品,为保护E,能做的是不乱扔塑料垃圾(或尽量少用 塑料制品)。 31. 猩红热是由链球菌引起的急性呼吸道传染病,可通过飞沫传播。目前,治疗药物首选青霉菌产生的青 霉素。 (1)引起猩红热的病原体是________。请从切断传播途径的角度,提出具体的预防措施:________。 (2)发病初期,血细胞中的________数量增多,体现了人体的防御和保护功能。少数患者恢复期可出现 肾小球肾炎,尿液中可能有血细胞和________,这与肾小球的________作用异常有关。 (3)与青霉菌相比,链球菌细胞内没有________。 【答案】(1) ①. 链球菌 ②. 戴口罩(或勤洗手或开窗通风或保持距离) (2) ①. 白细胞 ②. 蛋白质 ③. 过滤(或滤过) (3)成形细胞核 【解析】 【分析】传染病是由病原体引起的传染性疾病,传染病的预防措施是:控制传染源、切断传播途径、保护 易感人群。 【小问1详解】 病原体是指引起传染病的细菌、病毒和寄生虫等生物。链球菌是引起猩红热的病原体。切断传播途径最好 的办法就是要切实搞好个人卫生和环境卫生,对带有病原体的物品要进行消毒,并消灭传播疾病的媒介生 物等,使病原体失去感染健康人的机会,如戴口罩、或勤洗手或开窗通风或保持距离等。 【小问2详解】 白细胞能吞噬各种病菌,人体出现炎症时,白细胞的数目会增多。所以发病初期,猩红热患者血液中的白 细胞数量会增多,少数患者恢复期可出现肾小球肾炎,肾小球透过性增大,尿液中可能有血细胞和大分子 蛋白质,这与肾小球的过滤作用异常有关。 【小问3详解】 青霉菌是真菌,链球菌是细菌,没有成形的细胞核,所以与青霉菌相比,链球菌细胞内没有成形的细胞核。 32. 现有两株豌豆,一株红花和一株白花,花色由基因D、d控制,设计如下实验以鉴别这两株豌豆的基因 组成。 实验组别 预测子代表现型 推测亲代基因组成 Ⅰ:红花×红花 全为红色 ① Ⅱ:红花×红花 红色、白色 ② Ⅲ:红花×白花 全为红色 ③Ⅳ:红花×白花 红色、白色 ④ (1)花的红色与白色是一对______,控制该性状的基因在生殖过程中随______传递给子代。 (2)能判断显隐性性状的有组别______,隐性性状是______。 (3)亲代基因组成②是______。 【答案】(1) ①. 相对性状 ②. 生殖细胞或配子 (2) ①. Ⅱ、Ⅲ ②. 白色 (3)Dd(或Dd、Dd) 【解析】 【分析】生物的性状是由一对基因控制的,当控制某种性状的一对基因都是显性或一个是显性、一个是隐 性时,生物体表现出显性基因控制的性状;当控制某种性状的基因都是隐性时,隐性基因控制的性状才会 表现出来。 在一对相对性状的遗传过程中,子代个体出现了亲代没有的性状,则新出现的性状一定是隐性性状,由 一对隐性基因控制。亲代个体表现的性状是显性性状,亲代的基因组成中既有显性基因,也有隐性基因, 是杂合体。 具有相对性状的纯合子杂交,子一代所表现出来的性状,是显性性状,基因组成是杂合体 【小问1详解】 相对性状是同一种生物同一性状的不同表现形式。生物体的各种性状都是由基因控制的,性状的遗传实质 上是亲代通过生殖细胞把控制性状的基因传递给了子代,在有性生殖过程中,精子与卵细胞就是基因在亲 子代间传递的桥梁。因此,花的红色与白色是一对相对性状,控制该性状的基因在生殖过程中随配子传递 给子代。 【小问2详解】 Ⅱ组亲代都是红花,而子代出现了白花,是新出现的性状,说明红花是显性性状,白花是隐性性状,亲代 的基因组成是杂合体,基因组成是Dd。Ⅲ组亲代是红花,白花,而子代全部为红花,白花没有表现出来, 说明红花是显性性状,白花是隐性性状。 【小问3详解】 通过(2)分析可知,Ⅱ组中的亲代的基因组成是Dd,遗传图解如下所示:因此,亲代基因组成②是Dd(或Dd、Dd)。 33. 我国种桑养蚕历史悠久。朵朵参加“美丽中国蚕”综合实践活动,展示并交流了活动成果。 (1)孵化蚕卵 探究环境因素对蚕卵孵化的影响,可选择的实验变量是_______。 (2)选取食物选取多种植物的叶进行家蚕食性的研究,发现家蚕喜食桑叶,这种习性是长期_______的结 果。 (3)幼虫生长 测量幼虫发育过程中不同时期的体长,根据测量结果绘制体长变化曲线。_______(4)吐丝结茧 吐丝时家蚕处于发育过程的______阶段,延长这一阶段,可以提高蚕丝产量。 (5)羽化成蛾 蚕蛾身体分节,有1对触角、2对翅和3对足,触角和足分节,具有______动物的特征。家蚕的发育方式 为______。 (6)知识链接 ①西南大学蚕学院科研团队成功研发蚕饲料,攻克全天候养殖瓶颈; ②技术工匠们研制的自动给桑养蚕机,降低人力成本; ③我国蚕学家利用______技术将某基因导入蚕卵,得到的蚕茧更大,实现提质增量。 【答案】(1)温度##湿度##光照等(2)自然选择 (3) (4)幼虫 (5) ①. 节肢 ②. 完全变态 (6)转基因 【解析】 【分析】(1)家蚕的发育经过卵 → 幼虫 → 蛹 → 成虫四个时期,属于完全变态发育。 (2)对照实验是在研究一种条件对研究对象的影响时,所进行的除了这种条件不同外,其他条件都相同 的实验,这个不同的条件,就是唯一变量。 一般的对实验变量进行处理的,就是实验组,没有对实验变 量进行处理的就是对照组。 为确保实验组、对照组实验结果的合理性,对影响实验的其他相关因素应设 置均处于相同且理想状态,这样做的目的是控制单一变量,便于排除其它因素对实验结果的影响和干扰。 【小问1详解】 探究环境因素对蚕卵孵化的影响,可选择的实验变量是温度、湿度、光照等非生物因素均可。 【小问2详解】 自然选择是指生物在生存斗争中适者生存、不适者被淘汰的过程。家蚕的祖先可能尝试过多种食物,但由 于桑叶提供了家蚕生长和繁殖所需的最佳营养,因此只有那些能够找到并食用桑叶的个体才能生存下来并 繁殖后代。这种选择性的生存和繁殖导致了家蚕对桑叶的偏好。选取多种植物的叶进行家蚕食性的研究, 发现家蚕喜食桑叶,这种习性是长期自然选择的结果。 【小问3详解】 幼虫在发育过程中会经历多次蜕皮,体长也会逐渐增加。通过测量不同时期的体长并绘制变化曲线,我们 可以了解幼虫的生长速度和发育规律。体长变化曲线如下:【小问4详解】 家蚕在发育过程中会经历受精卵、幼虫、蛹和成虫四个阶段。吐丝结茧是幼虫阶段的一个显著特征。延长 幼虫阶段可以提高蚕丝的产量,因为幼虫期是家蚕吐丝的关键时期。 【小问5详解】 蚕蛾属于节肢动物门昆虫纲,具有节肢动物的基本特征,如身体分节、有触角和足等。家蚕的发育过程包 括卵、幼虫、蛹和成虫四个阶段,属于完全变态发育。 【小问6详解】 转基因技术是一种现代生物技术,它允许科学家从一种生物体中取出特定的基因,并将其转移到另一种生 物体中,从而改变该生物体的遗传特性。这种技术已经被广泛应用于农业、医学和生物科学等多个领域。 我国蚕学家通过转基因技术将特定的基因导入蚕卵中,使得得到的蚕茧更大,从而实现了提质增量的目标。 34. 建立月球基地、开发月球资源是人类深空探测的重要内容。为实现在月球基地“种菜”,科学家做了 大量探索和实验。 实验一:科研团队利用月壤进行植物栽培实验 Ⅰ.材料、装置:不同批次的真实月壤A、B、C,模拟月壤(模拟真实月壤的物理、化学性质的火山灰); 底面积仅为1cm2的圆柱容器(如右图)。 Ⅱ.过程、结果:将等量的拟南芥种子分别播种在真实月壤A、B、C和模拟月壤中。通过测量叶尖最宽 展距,了解拟南芥生长状况。每组实验重复4次。 (1)由于真实月壤样本数量少,实验中节约用量的做法是______。 (2)绘制曲线应采用每组数据的________,目的是减小误差。 (3)研究发现,各组拟南芥种子萌发率都是100%,且幼苗初始阶段生长状况相近。一段时间后,真实月壤中拟南芥的生长状况较差(如下图),据图分析得出该结论的依据是________。 真实月壤中可种出植物,但生长不良,可能的原因之一是肥力不足。由于真实月壤稀缺,科研团队尝试用 模拟月壤进行改良实验。 实验二:科研团队利用固氮蓝藻开展模拟月壤氮含量的改良实验 Ⅰ.过程:称取适量的模拟月壤于三角瓶中,加入无氮培养基,无菌处理后分别接种固氮蓝藻A和B,并 设置对照组,置于适宜的环境进行培养,重复3次。 Ⅱ.结果:测定为期50天的各组模拟月壤中氮含量的动态变化(如下图)。 (4)对照组应设置为________。 (5)分析曲线,得出结论:______。 (6)运用实验二的研究结果,可进一步探究的是:________。 【答案】(1)选用底面积仅为1cm2的圆柱容器 (2)平均值 (3)三组真实月壤中的拟南芥叶尖最宽展距均小于模拟月壤中的拟南芥叶尖最宽展距 (4)不接种固氮蓝藻 (5)两种固氮蓝藻(或固氮蓝藻A和B)都能提高模拟月壤的氮含量,且固氮 蓝藻A的效果更好 (6)改良后的模拟月壤中植物的栽培效果或固氮蓝藻A、B改良真实月壤的效果或改良模拟月壤时,固氮 蓝藻A、B的用量或固氮蓝藻A改良模拟月壤磷含量(或其他无机盐)的效果 【解析】 【分析】(1)科学探究的一般过程:提出问题、作出假设、制订计划、实施计划、得出结论、表达和交 流。(2)对照实验:在探究某种条件对研究对象的影响时,对研究对象进行的除了该条件不同以外,其他条 件都相同的实验。根据变量设置一组对照实验,使实验结果具有说服力。一般来说,对实验变量进行处理 的,就是实验组,没有处理的就是对照组。 【小问1详解】 分析实验可知,由于真实月壤样本数量少,为了实验中节约用量,做法是选取底面积仅为1cm2的圆柱容器。 【小问2详解】 为了使实验结果更准确,绘制曲线应采用每组数据的平均值,目的是减小误差。 【小问3详解】 据图分析,三组真实月壤中的拟南芥叶尖最宽展距均小于模拟月壤中的拟南芥叶尖最宽展距。 【小问4详解】 分析实验二可知,称取适量的模拟月壤于三角瓶中,加入无氮培养基,无菌处理后分别接种固氮蓝藻A和 B,并设置对照组,对照组应设置为不接种固氮蓝藻,这样才能形成对照实验。 【小问5详解】 分析曲线可知,两种固氮蓝藻(或固氮蓝藻A和B)都能提高模拟月壤的氮含量,且固氮蓝藻A的效果更 好。 【小问6详解】 运用实验二的研究结果可知,可进一步探究改良后的模拟月壤中植物的栽培效果或固氮蓝藻A、B改良真 实月壤的效果或改良模拟月壤时,固氮蓝藻A、B的用量或固氮蓝藻A改良模拟月壤磷含量(或其他无机 盐)的效果。