手机版道秘传补财库大法详解全解手册软件,卖38元。需要联系我,加微信:A-118774
软件介绍:
补财库概念
财库概念
财库的具体解析
补财库的现实意义
补财库里面的财的组成部分
补财库中补的含义
补财库补的具体方式
财库中财富的多寡对现实生活的影响
如何得知自己财库中财富的具体情况
成日是否可以举行
补财库法事还阴债和补财库的区别
补财库主体的限定
补财库地点的选择
补财库时请神原则
补财库前的准备
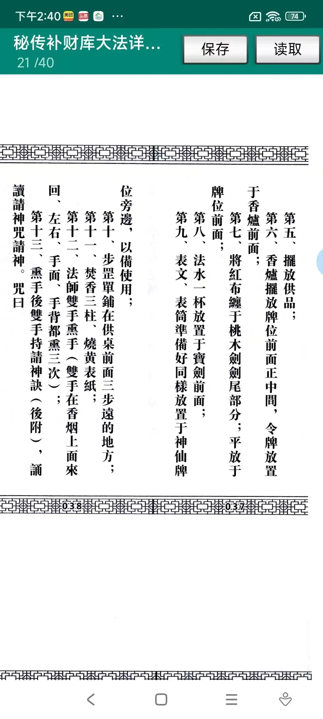
补财库的具体步骤
补财库后的禁忌
补财库后见效的时间
补财库次数的限定
补财库疏文
补财库所用神仙牌位
财库金袋
答谢金袋子
补财库灵符符式
開天門匙步
開天門是步要領指導
開天門咒語
引路旗子式樣
請神咒
送神咒語
三山訣
罡單
法衣法帽
香爐桃木劍
令牌式様














夜雨聆风