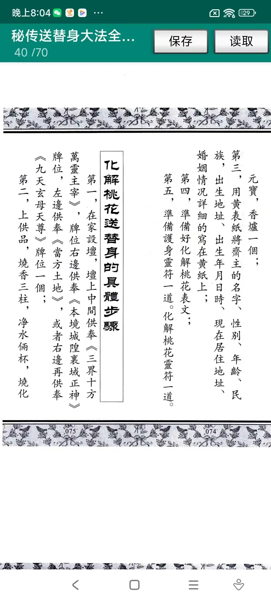
手机版道家秘传送替身大法全集手册软件,卖38元。需要联系我,加微信:A-118774
软件介绍: 手册软件包括了送替身操作方法的全部具体流程。 "送替身" 是中国民间信仰和道教/民间宗教中的一种仪式,主要涉及以下含义:核心概念"替身"(Tìshēn) 指代替某人承受灾祸、厄运或偿还业债的象征性替代物。主要用途1. 禳灾解厄 - 当算命或占卜显示某人有血光之灾、重病、劫难时,制作纸人或草人作为替身,通过仪式将灾祸转移到替身上2. 还阴债/替身债 - 民间认为人在投胎前向地府借过"受生债",或前世有业债未还,需要送替身来偿还3. 童子命化解 - 认为某些人是"童子命"(天上仙童转世),命运多舛,需要送替身"还人",让童子返回天界,本人留在人间4. 替病 - 小孩或成人生重病时,制作替身代替病人承受病痛















夜雨聆风