当前位置:首页>文档>2024年中考押题预测卷02(福建卷)-数学(参考答案)_2数学总复习_赠送:2024中考模拟题数学_押题预测

2024年中考押题预测卷02(福建卷)-数学(参考答案)_2数学总复习_赠送:2024中考模拟题数学_押题预测

  • 2026-04-14 22:23:33 2026-02-05 16:29:23

文档预览

2024年中考押题预测卷02(福建卷)-数学(参考答案)_2数学总复习_赠送:2024中考模拟题数学_押题预测
2024年中考押题预测卷02(福建卷)-数学(参考答案)_2数学总复习_赠送:2024中考模拟题数学_押题预测
2024年中考押题预测卷02(福建卷)-数学(参考答案)_2数学总复习_赠送:2024中考模拟题数学_押题预测
2024年中考押题预测卷02(福建卷)-数学(参考答案)_2数学总复习_赠送:2024中考模拟题数学_押题预测
2024年中考押题预测卷02(福建卷)-数学(参考答案)_2数学总复习_赠送:2024中考模拟题数学_押题预测
2024年中考押题预测卷02(福建卷)-数学(参考答案)_2数学总复习_赠送:2024中考模拟题数学_押题预测
2024年中考押题预测卷02(福建卷)-数学(参考答案)_2数学总复习_赠送:2024中考模拟题数学_押题预测
2024年中考押题预测卷02(福建卷)-数学(参考答案)_2数学总复习_赠送:2024中考模拟题数学_押题预测
2024年中考押题预测卷02(福建卷)-数学(参考答案)_2数学总复习_赠送:2024中考模拟题数学_押题预测
2024年中考押题预测卷02(福建卷)-数学(参考答案)_2数学总复习_赠送:2024中考模拟题数学_押题预测
2024年中考押题预测卷02(福建卷)-数学(参考答案)_2数学总复习_赠送:2024中考模拟题数学_押题预测
2024年中考押题预测卷02(福建卷)-数学(参考答案)_2数学总复习_赠送:2024中考模拟题数学_押题预测

文档信息

文档格式
docx
文档大小
0.144 MB
文档页数
8 页
上传时间
2026-02-05 16:29:23

文档内容

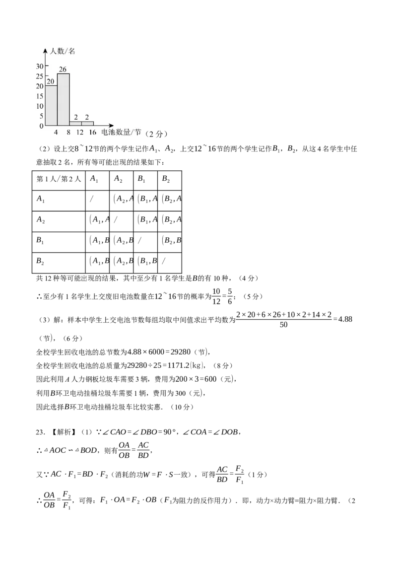
绝密★启用前 2024 年中考押题预测卷 02【福建卷】 数 学 一、选择题(共40分,每题4分)第1-10题均有四个选项,符合题意的选项只有一个. 1 2 3 4 5 6 7 8 9 10 A C A D D A D A A B 二、填空题(本大题共6小题,每小题4分,共24分) 3 11.−3 12.2 13.81 14. /0.6 5 1 15. /0.5 16.1.5 2 三、解答题(共86分,第17-21题,每题8分,第22-23题,每题10分,第24题12分,第25题14分, 解答应写出文字说明、演算步骤或证明过程.) 1 17.【解析】原式=3+2+1−2× ,(4分) 2 =3+2+1−1,(6分) =5;(8分) 18.【解析】¿, 解不等式①,得x<3,(2分) 解不等式②,得x>0,(4分) ∴原不等式组的解集为00,x <0, A B A B 当点A与点D重合时, x =1,x =−1, A B ∴y =−4,y =0, A B 此时,A(1,−4),B(−1,0), 设直线AB的解析式为y=kx+b, 代入得:¿,解得:¿, ∴直线AB的解析式为y=−2x−2;(6分) 当点A与点T重合时, x =3,x =−3, A B ∴y =0,y =12, A B 此时,A(3,0),B(−3,12), 同理得:直线AB的解析式为y=−2x+6; 综上得:直线AB的解析式为:y=−2x−2或y=−2x+6; ②抛物线y=x2−2mx−3, 当x=0时,y=−3,(7分) ∴C(0,−3), ∵直线AC的解析式为y =k x+b ,直线BC的解析式为y =k x+b , 1 1 1 2 2 2 ∴直线AC的解析式为y =k x−3,直线BC的解析式为y =k x−3, 1 1 2 2 当y= y 时,k x−3=x2−2x−3, 1 1 ∴x =2+k , A 1 同理:x =2+k , B 2 ∴x +x =2+k +2+k =0, A B 2 1 ∴k +k =−4,(8分) 2 1 ∵k ⋅k =−3, 1 2 ∴k (−4−k )=−3, 1 1 解得:k =±√7−2, 1 ∴x =±√7,x =±√7,(9分) A B ∵x >0,x <0, A B ∴x =√7,x =−√7, A B∴A(√7,4−2√7),B(−√7,4+2√7), ∴AB=2√7, ∵AM=BN,AM平行于BN, ∴△AMP≅△BNP, ∴PA=PB,即P为AB中点,(10分) 设直线AB的解析式为:y=mx+n, 代入得:¿,解得:¿, ∴y=−2x+4,(11分) 当x=0时,y=4, ∴P(0,4), ∴PC=4−(−3)=7, 1 1 1 ∴S = PC×AM+ PC×BN= ×2√7×7=7√7.(12分) △ABC 2 2 2 25.【解析】(1)①如图1,设EC=x,则DE=4−x, 由翻折可得BF=BC=6,EF=EC=x, 在Rt△ABF中,AF=√BF2−AB2=√62−42=2√5,(2分) 在Rt△≝¿中,DE2+DF2=EF2, ∴(4−x) 2+(6−2√5) 2=x2, 解得:x=9−3√5, 即EC=9−3√5;(4分) ②设EC=x,则EF=EC=x, 若AD=AF,则AF=BF=6, 过F作MN⊥AB于点M,交CD于点N, 则MN⊥CD,AM=BM=DN=CN=2,EN=2−x, 在Rt△AMF中,MF=√AF2−AM2=√62−22=4√2, ∴FN=MN−MF=6−4√2,(6分) 在Rt△NEF中,EN2+FN2=EF2, ∴(2−x) 2+(6−4√2) 2=x2,解得:x=18−12√2, 即EC=18−12√2;(7分) 若AF=DF,连接FC,如图3,则∠FAD=∠FDA, 在矩形ABCD中,∠BAD=∠CDA=90∘,AB=CD, ∴∠BAD+∠FAD=∠CDA+∠FDA,即∠FAB=∠FDC, ∴△FAB≅△FDC(SAS), ∴FB=FC,(10分) 由翻折可知,FB=BC,∠FAE=∠EBC, ∴FB=FC=BC, ∴△FBC是等边三角形, ∴∠FBC=60°, ∴∠EBC=30° √3 ∴EC=BC⋅tan∠EBC=6× =2√3;(11分) 3 (2)如图,△BEF为所求作的图形,EC=9+3√5; 解:设EC=x,则EF=EC=x,DE=x−4, 在Rt△ABF中,AF=√BF2−AB2=√62−42=2√5,(12分)在Rt△≝¿中,DE2+DF2=EF2, ∴(x−4) 2+(6+2√5) 2=x2,解得x=9+3√5, 即EC=9+3√5.(14分)