当前位置:首页>文档>数学(成都卷)(参考答案及评分标准)_2数学总复习_赠送:2024中考模拟题数学_三模(42套)_数学(四川成都卷)

数学(成都卷)(参考答案及评分标准)_2数学总复习_赠送:2024中考模拟题数学_三模(42套)_数学(四川成都卷)

  • 2026-04-22 09:55:50 2026-02-06 00:14:05

文档预览

数学(成都卷)(参考答案及评分标准)_2数学总复习_赠送:2024中考模拟题数学_三模(42套)_数学(四川成都卷)
数学(成都卷)(参考答案及评分标准)_2数学总复习_赠送:2024中考模拟题数学_三模(42套)_数学(四川成都卷)
数学(成都卷)(参考答案及评分标准)_2数学总复习_赠送:2024中考模拟题数学_三模(42套)_数学(四川成都卷)
数学(成都卷)(参考答案及评分标准)_2数学总复习_赠送:2024中考模拟题数学_三模(42套)_数学(四川成都卷)
数学(成都卷)(参考答案及评分标准)_2数学总复习_赠送:2024中考模拟题数学_三模(42套)_数学(四川成都卷)
数学(成都卷)(参考答案及评分标准)_2数学总复习_赠送:2024中考模拟题数学_三模(42套)_数学(四川成都卷)
数学(成都卷)(参考答案及评分标准)_2数学总复习_赠送:2024中考模拟题数学_三模(42套)_数学(四川成都卷)
数学(成都卷)(参考答案及评分标准)_2数学总复习_赠送:2024中考模拟题数学_三模(42套)_数学(四川成都卷)
数学(成都卷)(参考答案及评分标准)_2数学总复习_赠送:2024中考模拟题数学_三模(42套)_数学(四川成都卷)
数学(成都卷)(参考答案及评分标准)_2数学总复习_赠送:2024中考模拟题数学_三模(42套)_数学(四川成都卷)
数学(成都卷)(参考答案及评分标准)_2数学总复习_赠送:2024中考模拟题数学_三模(42套)_数学(四川成都卷)
数学(成都卷)(参考答案及评分标准)_2数学总复习_赠送:2024中考模拟题数学_三模(42套)_数学(四川成都卷)
数学(成都卷)(参考答案及评分标准)_2数学总复习_赠送:2024中考模拟题数学_三模(42套)_数学(四川成都卷)

文档信息

文档格式
docx
文档大小
1.007 MB
文档页数
9 页
上传时间
2026-02-06 00:14:05

文档内容

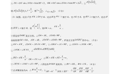
2024 年中考第三次模拟考试(成都卷) 数学·参考答案 A卷(共100分) 第Ⅰ卷 一、选择题(本大题共8个小题,每小题4分,共32分.在每个小题给出的四个选项中,只 有一项符合题目要求,请选出并在答题卡上将该项涂黑). 1 2 3 4 5 6 7 8 A C D B C A C D 第Ⅱ卷(共68分) 二、填空题(本大题共5个小题,每题4分,满分20分,将答案填在答题纸上) 9. 10.4(答案不唯一) 11.1 12. 13. 三、解答题 (本大题共5小题,共48分.其中:14题12分,15-16题每题8分,17-18题每题10分.解答应 写出文字说明、证明过程或演算步骤.) 14.【答案】(1) ;(2) 【详解】解:(1) (4分) ;(6分) (2) 解①得: ;(8分) 解②得: ,(10分) 故不等式组的解集为: .(12分) 15.【答案】(1) 小时, (2)60人(3)见解析 【详解】(1)解∶ 在开展前周末手机使用时长为 小时的同学最多.(人) , 在讲座开展前抽取的学生中周末使用时长在 小时区间的人数最多,占抽取人数的 ;(2分) (2)解∶ (人) (人) 由样本估计总体,全校讲座开展后周末使用手机8小时以上大约有60人;(5分) (3)解∶因为忽略了两次样本容量的差异,所以小军分析的方法不合理, 样本中周末使用手机时长6小时以上的人数由 下降为 , 所以此次讲座宣传活动是有效果的.(8分) 16.【答案】(1) 米(2)10米 【详解】(1)解:如图,过A点作 于点E, ∵ ,即 ,(1分) 在 中, ,∴ ,(2分) ∴ ,∴ , 即大树的根部 到折断后的树干 的距离为 米;(3分) (2)解:∵ ,∴ ,(4分) ∵ , ,∴ ,(5分) ∴ , 又∵ ,∴ ,(6分) ∴ 是等腰直角三角形,∴ ,∴ ,(7分) ∴ ,∴这棵大树 原来的高度约为10米.(8分) 17.【答案】(1) , (2) 【详解】(1)解:连接 . 切 于点 , ,即 .(1分) 是 的直径, , .(2分) . .(3分) . . .(4分) 在 中, .(5分) (2)解:连接 . , , 是等边三角形.(6分) .同(1)可得 , , .(7分) , .即 , 又 是 的直径, .(8分) 是等边三角形, , .(9分) 在 中, . .(10分) 18.【答案】(1) (2) (3) 【详解】(1)∵当 , 时,正方形 绕点O逆时针旋转α( )得正方形 , ∴ , ,过点 作 于K,如图,(1分)∴ , ,∴ , 将 代入 ,得 ,∴ ;(2分) (2)如图,过点 作 于K,过点 作 轴于G,交 于E,作 轴于F,过点 作 轴于H,设 ,则 , , ∵四边形 是正方形,∴ , , 由旋转得 , , ,D′是正方形 的中心,(3分) ∴ , ,∵ ,∴ , ∴ ,∴ , ∴ , ,∴ , ∵ ,∴四边形 是矩形,∴ , ,(4分) ∵点B′横坐标为4,∴ ,∴ ,∵ , ∴ , ∴ , ,∴ , ∵点 同时在图象G上, ∴ ,∴ , ∴ ,∴ ,解得: 或 ,(5分)当 时, 不符合题意,舍去; 当 时, ,符合题意;∴k的值为 ;(6分) (3)设正方形 的边长为b,则 , , , , 当 时, ,设 , , ∵ ,∴ ,∴ ,∴ ,(7分) 作点C关于x轴的对称点 ,连接 交x轴于点P,此时, 的值最小, 如图,过点A′作 轴于K,过点B′作 轴于F,作 轴交 于E, 则四边形 是矩形, , , , 由(2)知: ,∴ , ,(8分) ∴ , ,∴ , ∵ ,∴ ,∵ ,∴ ,(9分)∴ ,即 ,解得: , ∵正方形 的对角线 相交于点D,∴ , 把 代入 ,得 ,∴ .(10分) B卷(共50分) 一、填空题(每题4分,满分20分,将答案填在答题纸上) 15 19.1 20. 21. 22. 5 12 23. 二、解答题 (本大题共3小题,共30分.其中:24题题8分,25题题10分,26题12分.解答应写出文字 说明、证明过程或演算步骤.) 24.【答案】(1)加工A种零件每个需费用15元,则加工B种零件每个需费用10元; w5m100050m52 m50 (2) ,当 时,w有最小值,最小值为1250元. x5 x 【详解】(1)解:设加工A种零件每个需费用 元,则加工B种零件每个需费用 元, 900 400  100 依题意得 ,解得 或 ,经检验, 或 ,都是原方程的解,(3分) x x5 x15 x3 x15 x3 当x15时,x510,当x3时,x52(此情况不符合题意,舍去), 答:加工A种零件每个需费用15元,则加工B种零件每个需费用10元;(4分) 100m (2)解:设加工完这批零件的总费用为w元,加工A种零件m个,则加工B种零件 个, 5m10001260  依题意得w15m10100m5m1000,∵m100m ,解得50m52,(7分) ∵50,∴当m50时,w有最小值,最小值为1250元.(8分) 25.【答案】(1)点 ,点 ,点 (2)点 (3) 【详解】(1)解:令 ,则 ,解得: , , 点 ,点 ,令 ,则 , 点 ,点 ,点 ,点 ;(3分) (2)由(1)得点 ,点 ,点 , , , , , , , ,(4分) , ,如图,作点 关于 轴的对称点 ,连接 , 则 , , , , ,设直线 的表达式为: , 将 代入得: , 直线 的表达式为: ,(5分) 联立方程组: ,解得: 或 , 点 在第三象限内, 点 ;(6 分) (3) 点 、 在抛物线 上, 设点 , , 点 , 的解析式为: , ,(7分) 同理 , ,联立: ,(8分)整理得: , , ,(9分) , , 与 之间的数量关系为: .(10分) 26.【答案】(1) , ;(2) ,理由见解析;(3) 的长度为 或 . 【详解】解:(1) 四边形 是正方形, , , 在 和 中, , , , , , , 是等腰直角三角形, , , , ,故答案为: , ;(2分) (2) ,理由如下: 四边形 是菱形, , , , 在 和 中, , , , ,(3分) , , , ,(4分) , , 如图2,作 交 于 ,则 , ,(5分)在 中, , , , , ;(6分) (3)当 时,点 和点 重合, 如图3,当点 在线段 的延长线时,过点 作 于点 ,设 ,(7分) , , 为等腰直角三角形, , 四边形 是菱形,, , , , ,(8分) 由菱形的对称性及 可得 , 在 中, , , ,(9分) , , , ;(10分) 如图4,当点 在 的延长线上时,过点 作 交 的延长线于点 , 设 ,同①可得: , ,(11分) , , , 综上所述, 的长度为 或 .(12分)