当前位置:首页>文档>湖北省武汉市硚口区2026届高三7月起点质量检测数学试题参考答案_2025年7月_250728湖北省武汉市硚口区2025-2026学年高三上学期7月起点质量检测(全科)_0823204624

湖北省武汉市硚口区2026届高三7月起点质量检测数学试题参考答案_2025年7月_250728湖北省武汉市硚口区2025-2026学年高三上学期7月起点质量检测(全科)_0823204624

  • 2026-04-08 21:07:37 2026-02-08 23:05:58

文档预览

湖北省武汉市硚口区2026届高三7月起点质量检测数学试题参考答案_2025年7月_250728湖北省武汉市硚口区2025-2026学年高三上学期7月起点质量检测(全科)_0823204624
湖北省武汉市硚口区2026届高三7月起点质量检测数学试题参考答案_2025年7月_250728湖北省武汉市硚口区2025-2026学年高三上学期7月起点质量检测(全科)_0823204624
湖北省武汉市硚口区2026届高三7月起点质量检测数学试题参考答案_2025年7月_250728湖北省武汉市硚口区2025-2026学年高三上学期7月起点质量检测(全科)_0823204624
湖北省武汉市硚口区2026届高三7月起点质量检测数学试题参考答案_2025年7月_250728湖北省武汉市硚口区2025-2026学年高三上学期7月起点质量检测(全科)_0823204624
湖北省武汉市硚口区2026届高三7月起点质量检测数学试题参考答案_2025年7月_250728湖北省武汉市硚口区2025-2026学年高三上学期7月起点质量检测(全科)_0823204624
湖北省武汉市硚口区2026届高三7月起点质量检测数学试题参考答案_2025年7月_250728湖北省武汉市硚口区2025-2026学年高三上学期7月起点质量检测(全科)_0823204624
湖北省武汉市硚口区2026届高三7月起点质量检测数学试题参考答案_2025年7月_250728湖北省武汉市硚口区2025-2026学年高三上学期7月起点质量检测(全科)_0823204624
湖北省武汉市硚口区2026届高三7月起点质量检测数学试题参考答案_2025年7月_250728湖北省武汉市硚口区2025-2026学年高三上学期7月起点质量检测(全科)_0823204624
湖北省武汉市硚口区2026届高三7月起点质量检测数学试题参考答案_2025年7月_250728湖北省武汉市硚口区2025-2026学年高三上学期7月起点质量检测(全科)_0823204624
湖北省武汉市硚口区2026届高三7月起点质量检测数学试题参考答案_2025年7月_250728湖北省武汉市硚口区2025-2026学年高三上学期7月起点质量检测(全科)_0823204624
湖北省武汉市硚口区2026届高三7月起点质量检测数学试题参考答案_2025年7月_250728湖北省武汉市硚口区2025-2026学年高三上学期7月起点质量检测(全科)_0823204624

文档信息

文档格式
pdf
文档大小
0.884 MB
文档页数
7 页
上传时间
2026-02-08 23:05:58

文档内容

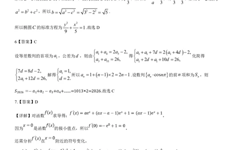
2025 年硚口区高三年级起点考数学试卷参考答案 题号 1 2 3 4 5 6 7 8 答案 B D B D A C D B 题号 9 10 11 答案 BD ABD ACD 4【答案】D 依题意,MNF 的周长为 MF  MN  NF  MF  MF  NF  NF  4a  12 2 2 2 1 2 1 2 2 c 2 c 2 解得a 3.设椭圆C的半焦距为c,因为椭圆C的离心率为 ,所以e  ,即  ,解得c2.因为 3 a 3 3 3 a2 b2 c2,所以b a2 c2  32 22  5 . y2 x2 所以椭圆C的标准方程为  1.故选D 9 5 6【答案】C a a  2a 2, a a 7d  2  a 4d 2, 设等差数列的首项为a ,公差为d ,则由 1 8 5 得 1 1 1 化简得 1 a a  26, a 2d a 10d 26, 3 11 1 1 7d 8d 2, a 1,  解得 1 所以a 1 n1 22n1.设数列  a cosn 的前n项和为S ,则 2a 12d 26, d 2. n n n 1 × .故选C 7.【答案】D + + +........=1013 2=2026 【详解】对函数 求导得: , 因为 是函数 的极小值点,所以 , 还需分析 在 附近的符号变化, 令 ,则 , , 当 时, , 即 在 附近单调递增, 又 ,所以当 时,在 附近 , 当 时,在 附近 ,满足0是 的极小值点; 当 时, , , 当 时, , 单调递减,当 时, , 单调递增, 湖北省武汉市硚口区2026届高三7月起点质量检测数学试题参考答案 {#{QQABLYCQggCgABJAAQhCAw3KCgAQkAAAAaoOQBAUsAAASRFABAA=}#}所以 ,所以 单调递增,此时 无极小值点; 当 时, , 即 在 附近单调递减,又 , 所以当 时,在 附近 ,当 时,在 附近 , 此时0是 的极大值点,不符合题意. 综上所述: 的取值范围为 . 8.【答案】B 【详解】 是圆 上的一点, 是曲线 上的一点,要求 的最小值即求圆 上一点与曲线 上的一点距离平方的最小值.画图可知,圆上一点 与曲线上一点 距离最 小,所以答案为 10.【答案】ABD 【详解】因为 ,定义域为 所以 所以 的图象关于点 对称.故A正确; 因为 ,所以 , 所以 ,所以 , 所以 ,又 , ,所以 , , 所以 ,所以 .故B正确、C错误;所以 , , 所以 故D正确.故选:ABD. 11.【答案】ACD 【详解】对于A,连接 ,因为四边形 为正方形,则 , 因为 平面 , 平面 ,则 , 因为 , 平面 ,所以 平面 , 平面 ,所以 ,同理可得 , 因为 , 平面 ,所以 平面 , 因为 平面 ,所以 ,故A正确; 湖北省武汉市硚口区2026届高三7月起点质量检测数学试题参考答案 {#{QQABLYCQggCgABJAAQhCAw3KCgAQkAAAAaoOQBAUsAAASRFABAA=}#}对于B, 由A选项知 平面 ,设 平面 , 即 平面 , 平面 ,因为 , ,所以三棱锥 为正三棱锥,因为 平面 ,则 与正 的中心,则 ,所以 ,因为 , 所以 ,因为 ,即 , 即 ,化简可得 , 因为 点到等边三角形 的边的距离为 , 所以点 的轨迹是在 内,且以 为圆心、半径为 的圆,故B错误; 对于C,由选项B可知,点 的轨迹是在 内,且以 为圆心、半径为 的圆, ,且 , 平面 ,所以 就是直线 与平面 所成角, 所以 ,因为 ,所以直线 与平面 所成角为定值,故C正确; 对于D,因为点 到直线 的距离为 ,点 到直线 的最大距离为 , 故 的面积的最大值为 ,因为 平面 ,则 三棱锥 体积的最大值为 ,故D正确. 故选:ACD. 12.【答案】135 13.【答案】4 14.【答案】 14【详解】 ; 的可能取值为 , 且 , 则 , 则 , 湖北省武汉市硚口区2026届高三7月起点质量检测数学试题参考答案 {#{QQABLYCQggCgABJAAQhCAw3KCgAQkAAAAaoOQBAUsAAASRFABAA=}#}则 , 则 ,即 , 又 ,故 .故答案为: ; . 15.(1) (2) 【详解】(1)由已知 为边 的中点, 所以 ,即 ,.............2分 又 ,则 ,............................4分 即 ,又 则 ,即 , ;............................6分 (2)由(1)得 , ,则 ,............................7分 在 中,由余弦定理可知 ,.................9分 即 ,则 ,................11分 又由正弦定理可知 ,则 ..................13分 16.(1) (2)(ⅰ) ;(ⅱ) 【详解】(1)由题意得 , ,.................2分 .................4分 ,所以 关于 的经验回归方程为 ..................5分 (2)(ⅰ)由题意知,400名车主中购买新能源汽车有270(名),其中男性有 (名), 则样本中购买新能源汽车的车主中,男性所占比例为 ,.................7分 所以估计一名购买新能源汽车的车主为男性的概率为 . 湖北省武汉市硚口区2026届高三7月起点质量检测数学试题参考答案 {#{QQABLYCQggCgABJAAQhCAw3KCgAQkAAAAaoOQBAUsAAASRFABAA=}#}因为2025年对应的年份代码 ,所以 ,.................9分 因此估计2025年在该平台购买新能源汽车的车主中男性的人数为 ..................10分 (ⅱ)由题意知, , , ,.................12分 则当 时, 取得最大值1,当 时, 取得最小值 ,即 ,且 ..................13分 设函数 , ,则 . 当 时, , 单调递增,当 时, , 单调递减.故当 时, 取得最 大值.由上可知,当 时, 取得最大值,此时 ,得 ..................15分 17.(1)证明见解析(2) (3) 【详解】(1)如图所示,取 的中点 ,在 上取 因为 是 的中点, 是 的中点 ,且 因为 , , ,且 , 四边形 是平行四边形,..........2分 即 平面 , 平面 平面 ..................4分 (2)如图,四棱锥 和四棱锥 重合的几何体为四棱锥 和 三棱柱 形成的组合体.................7分 , .................9分 (3)建立如图所示的坐标系,则有 , , , , , .................10分 所以 , 设平面 的法向量 ,则 解得: ,.................11分 设平面 的法向量 ,则 解得: .................12分 湖北省武汉市硚口区2026届高三7月起点质量检测数学试题参考答案 {#{QQABLYCQggCgABJAAQhCAw3KCgAQkAAAAaoOQBAUsAAASRFABAA=}#}设 所成二面角的平面角为 ..................14分 所以 所成二面角的平面角的余弦值为 ..................15分 (其它方法:(1)过 PQ 做平行平面通过面面平行证明线面平行,常规方法证明酌情给 分) 18.(1) (2)R , 【详解】(1)由题意得点P的坐标为( 3),焦点F的坐标为( 0),.................2分 根据抛物线的定义得 ,即以线段PF为直径的圆的直径为 . 记线段PF的中点为Q,则点Q的坐标为 ),因为以线段PF为直径的圆与直线 相切,所以有 ,解得 ,.................4分 所以抛物线C的方程为 ..................5分 设直线l的方程为 ,易验证 必存在且不为0..................6分 与抛物线方程联立得 ,不妨设 ,则可得 ..........8分 由(1)得点P的坐标为( 3) .................10分 化简得 所以直线l的方程为 所以直线l恒过定点T ..................13分 因为 于点D所以在直角三角形PDT中,令R为线段PT的中点,坐标为 , 此时 ..................15分 1 ( 91. ) 的取值范围为 .(3)见详细答案 【详解】(1)当(2) 时, .................2分 因为 ,所以 在 处的切线方程为 ..................4分 (2)当 时, 恒成立,即 0恒成立, 设 , , 要使得当 时, 0恒成立,则 ,即 ..................6分 下面验证 的充分性 当 时, 湖北省武汉市硚口区2026届高三7月起点质量检测数学试题参考答案 {#{QQABLYCQggCgABJAAQhCAw3KCgAQkAAAAaoOQBAUsAAASRFABAA=}#}设 , , 当 时, ,所以 单调递增,即 , 所以 ,即 ,所以当 时, ,充分性得证..................8分 再证K<2不成立一分 所以 的取值范围为 ...................10分 (2) 即 不妨设 由(2)知 时, ,即 所以 1时, ..................12分 所以 1时, ,即 ..................13分 因为 所以 ,即 , , 所以 ...................17分 湖北省武汉市硚口区2026届高三7月起点质量检测数学试题参考答案 {#{QQABLYCQggCgABJAAQhCAw3KCgAQkAAAAaoOQBAUsAAASRFABAA=}#}