当前位置:首页>文档>2025-2026学年高二上学期数学第一次月考直线和圆的方程卷(答案及评分标准)测试范围:沪教版2020选修第一册第一、二章(上海专用)(1)_1多考区联考

2025-2026学年高二上学期数学第一次月考直线和圆的方程卷(答案及评分标准)测试范围:沪教版2020选修第一册第一、二章(上海专用)(1)_1多考区联考

  • 2026-04-10 08:56:41 2026-02-09 02:00:25

文档预览

2025-2026学年高二上学期数学第一次月考直线和圆的方程卷(答案及评分标准)测试范围:沪教版2020选修第一册第一、二章(上海专用)(1)_1多考区联考
2025-2026学年高二上学期数学第一次月考直线和圆的方程卷(答案及评分标准)测试范围:沪教版2020选修第一册第一、二章(上海专用)(1)_1多考区联考
2025-2026学年高二上学期数学第一次月考直线和圆的方程卷(答案及评分标准)测试范围:沪教版2020选修第一册第一、二章(上海专用)(1)_1多考区联考
2025-2026学年高二上学期数学第一次月考直线和圆的方程卷(答案及评分标准)测试范围:沪教版2020选修第一册第一、二章(上海专用)(1)_1多考区联考
2025-2026学年高二上学期数学第一次月考直线和圆的方程卷(答案及评分标准)测试范围:沪教版2020选修第一册第一、二章(上海专用)(1)_1多考区联考
2025-2026学年高二上学期数学第一次月考直线和圆的方程卷(答案及评分标准)测试范围:沪教版2020选修第一册第一、二章(上海专用)(1)_1多考区联考
2025-2026学年高二上学期数学第一次月考直线和圆的方程卷(答案及评分标准)测试范围:沪教版2020选修第一册第一、二章(上海专用)(1)_1多考区联考
2025-2026学年高二上学期数学第一次月考直线和圆的方程卷(答案及评分标准)测试范围:沪教版2020选修第一册第一、二章(上海专用)(1)_1多考区联考
2025-2026学年高二上学期数学第一次月考直线和圆的方程卷(答案及评分标准)测试范围:沪教版2020选修第一册第一、二章(上海专用)(1)_1多考区联考
2025-2026学年高二上学期数学第一次月考直线和圆的方程卷(答案及评分标准)测试范围:沪教版2020选修第一册第一、二章(上海专用)(1)_1多考区联考
2025-2026学年高二上学期数学第一次月考直线和圆的方程卷(答案及评分标准)测试范围:沪教版2020选修第一册第一、二章(上海专用)(1)_1多考区联考
2025-2026学年高二上学期数学第一次月考直线和圆的方程卷(答案及评分标准)测试范围:沪教版2020选修第一册第一、二章(上海专用)(1)_1多考区联考

文档信息

文档格式
docx
文档大小
0.272 MB
文档页数
8 页
上传时间
2026-02-09 02:00:25

文档内容

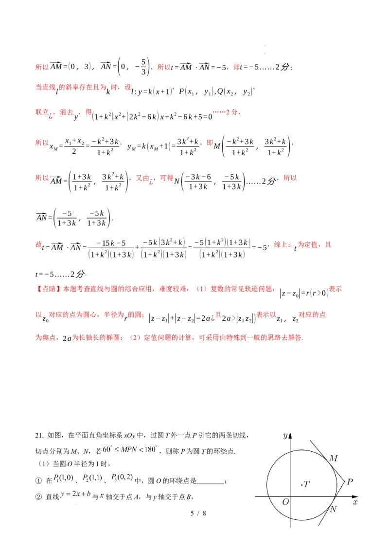
2025-2026 学年高二上学期第一次月考卷 数学·答案及评分参考 (考试时间:120分钟 试卷满分:150分) 注意事项: 1.答卷前,考生务必将自己的姓名、准考证号填写在答题卡上。 2.回答选择题时,选出每小题答案后,用铅笔把答题卡上对应题目的答案标号涂黑。如需改动, 用橡皮擦干净后,再选涂其他答案标号。回答非选择题时,将答案写在答题卡上。写在本试卷上无效。 3.考试结束后,将本试卷和答题卡一并交回。 4.测试范围:沪教版2020选修第一册第一、二章直线和圆的方程章节。 5.难度系数:0.61。 一、填空题(本大题共有12题,满分54分,第1-6题每题4分,第7-12题每题5分) 1. 2. 3.3x-2y=0或x+y-5=0 4. 5. 6. 或 4 7. 或 8. 9.③ 10.5+√2/√2+5 11.5 12. 3 二、选择题 (本题共有4题,满分18分,第13-14题每题4分,第15-16题每题5分;每题有且只有一个正确选项) 13.D 14.A 15.A 16.C 三、解答题(本大题共有5题,满分78分,第17-19题每题14分,第20、21题每题18分.) 17.已知m∈R,设直线l :x−my+1=0,直线l :mx−4 y−m+4=0.(1)若l ∥l ,求m的值; 1 2 1 2 (2)当l 与l 相交时,求交点I的坐标(用m表示),并证明点I恒在一条定直线上. 1 2 (m−2 2 ) 17.(1)m=−2;(2)I , ,点I恒在定直线x+2y−1=0上. m+2 m+2 【分析】(1)根据直线平行的条件列方程可得m,然后验证是否重合可得;(2)联立直线方程求解可得 点I的坐标,然后消参可知点I在定直线上. 【详解】(1)因为l ∥l ,所以1×(−4)=(−m)×m,解得m=±2……2分; 1 2 当m=2时,直线l :x−2y+1=0,直线l :2x−4 y+2=0即x−2y+1=0, 1 2 显然此时两直线重合……2分,当m=−2时,直线l :x+2y+1=0, 1 直线l :−2x−4 y+6=0即x+2y−3=0,符合题意,故m=−2……2分; 2 1 / 8 网(北京)股份有限公司 学科网(北京)股份有限公司(2)由(1)知,当l ,l 相交时m≠±2,联立¿,解得¿, 1 2 (m−2 2 ) m−2 2×2 m+2 ∴I , ……2分,因为x+2y= + = =1,即x+2y−1=0……2分, m+2 m+2 m+2 m+2 m+2 所以点I恒在定直线x+2y−1=0上……2分. 18.已知直线l:2x−3 y+1=0,点A(−1,−2). (1)求点A关于直线l的对称点B的坐标;(2)直线l关于点A对称的直线m的方程; (3)以A为圆心,3为半径长作圆,直线n过点M(2,2),且被圆A截得的弦长为2√7,求直线n的方程. 33 4 12+√30 10+2√30 18.(1)B(− , );(2)2x−3 y−9=0;(3)y= x− 或 13 13 7 7 12−√30 10−2√30 y= x− . 7 7 【分析】(1)设点B(m,n),由A,B关于直线l对称,列出方程,解得m,n,得到点B的坐标; (2)设P(x,y)是直线m上任意一点,则点P关于点A的对称点在直线l,用代入法可求得直线m的方程; (3)用垂径定理将弦长为2√7,转化为圆心A到直线n的距离为√2,设出直线n的方程,用点到直线的距 离公式求解,注意考虑直线n斜率不存在时是否符合题意. 【详解】(1)设点B(m,n),则¿,解得:¿, 33 4 即点A关于直线l的对称点B的坐标为(− , )……2分; 13 13 (2)设P(x,y)是直线m上任意一点,则点P(x,y)关于点A(−1,−2)的对称点 C(−2−x,−4−y) 在直线l上……2分,所以2(−2−x)−3(−4−y)+1=0,即2x−3 y−9=0……2分; (3)设圆心A到直线n的距离为d,直线n被圆A截得的弦长为2√7,因此d=√9−7=√2, 当直线l斜率不存在时,x=2不满足条件……2分; |3k−4| 12±√30 当直线l斜率存在时,设其方程为y−2=k(x−2),则 =√2,解得k= ……2分, √1+k2 7 12+√30 10+2√30 12−√30 10−2√30 综上,直线l的方程为y= x− 或y= x− ……2分. 7 7 7 7 19.人口普查期间,作为街道工作人员的叶阿姨和王叔叔需要上门登记每户的家庭成员信息,叶阿姨 和王叔叔分别需上门走访离家不超过200米、k米的区域,如图, 、 分别是经过叶阿姨家(点)的东西 和南北走向的街道,且王叔叔家在叶阿姨家的东偏北45度方向,以点0为坐标原点, 、 为x轴、y轴建立平面直角坐标系,已知张姓家庭(即点 ) 和李姓家庭(即点 )是王叔叔负责区域中最远的两个家庭. 2 / 8 网(北京)股份有限公司 学科网(北京)股份有限公司(1)求出k,并写出叶阿姨和王叔权负责区域边界的曲线方程; (2)叶阿姨和王叔叔为交流登记信息,满在华山路(直线 )上 碰头见面, 你认为在何处最为便捷、省时间(两人所走的路程之和最短)?并给出理由. 19.【答案】(1) , , ;(2) 【分析】(1)求圆的标准方程,可设出圆心,利用圆上两点距离到圆心相等,可算得圆心和半径. (2)可先求圆心O关于 的对称点P,找到直线PC与l 的交点,即为所求. 【详解】(1)易知,王阿姨负责区域边界的曲线方程为: , 李叔叔家在王阿姨家的东偏北 方向……2分,设李叔叔家所在的位置为 , 离 和 距离相等,故 ……2分, 故 即 故 , ……2分, 故李叔叔负责区域边界的曲线方程为 ……2分; (2)圆心 关于 的对称点为 则有 ……2分, 解得 , ……2分, 联立 与 ,可得交点为 , 王阿姨和李叔叔为交流登记信息,可选择在地点 碰面,距离之和最近……2分. 20.如图,已知满足条件|z−3i|=|√3−i|(其中i为虚数单位)的复数z在复平面xOy对应的点的轨迹 为圆C(圆心为C),设复平面xOy上的复数z=x+ yi(x,y∈R)对应的点为(x,y),定直线m的方程 为 x+3 y+6=0,过A(−1,0)的一条动直线l与直线m相交于N点,与圆C相交于P、Q两点, M是弦PQ中点. 3 / 8 网(北京)股份有限公司 学科网(北京)股份有限公司(1)若直线l经过圆心C,求证:l与m垂直;(2)当|PQ|=2√3时,求直线l的一般式方程; (3)设t=⃗AM⋅⃗AN,试问t是否为定值?若为定值,请求出t的值,若t不为定值,请说明理由. 20.(1)证明见解析;(2)x+1=0或4x−3 y+4=0;(3)是,t=−5. 【分析】(1)通过圆心C和A计算出l的斜率k ,m的斜率已知为k ,计算k ⋅k =−1即可证明l与m垂直; l m l m (2)对直线 的斜率是否存在分类讨论,利用几何方法 ( 是圆心到直线的距离, 是 l |PQ|=2√R2−d2 d R 圆的半径)求解斜率;(3)对直线l的斜率是否存在进行分类讨论,斜率不存在时通过数值直接计算即可; 斜率存在时,l先与圆的方程联立求从而求解出⃗AM的坐标表示,同理l与m联立求解出⃗AN的坐标表示, 由此计算t是否为定值. 【详解】(1)因为 ,所以 ……2分,所以圆心 ,半径 ; |z−3i|=|√3−i| C:x2+(y−3) 2=4 C(0,3) R=2 3−0 1 又因为A(−1,0),所以k = =3,而k =− ,所以k ⋅k =−1,所以l与m垂直……2分; l 0−(−1) m 3 l m (2)当直线 的斜率不存在时, ,此时 ,所以 , l l:x=−1 d=1 |PQ|=2√R2−d2=2√4−1=2√3 满足题意……2分;当 的斜率存在且为 时, ,即 ,则 |k−3| , l k l:y=k(x+1) kx−y+k=0 d= ,R=2 √1+k2 所以由 ,得|k−3| ,解得 4,此时 ……2分; |PQ|=2√R2−d2=2√3 =1 k= l:4x−3 y+4=0 √1+k2 3 综上:直线l的方程为x+1=0或4x−3 y+4=0……2分; ( 5) (3)当直线l的斜率不存在时,易知M(−1,3),N −1,− ,A(−1,0), 3 4 / 8 网(北京)股份有限公司 学科网(北京)股份有限公司所以⃗AM=(0,3),⃗AN= ( 0,− 5) ,所以t=⃗AM⋅⃗AN=−5,即t=−5……2分; 3 当直线 的斜率存在且为 时,设 , , l k l:y=k(x+1) P(x ,y ),Q(x ,y ) 1 1 2 2 联立 ,消去 ,得 ……2分, ¿ y (1+k2)x2+(2k2−6k)x+k2−6k+5=0 所以 x = x 1 +x 2= −k2+3k, y =k(x +1)= 3k2+k,即 M (−k2+3k , 3k2+k), M 2 1+k2 M M 1+k2 1+k2 1+k2 所以 (1+3k 3k2+k),又由 ,可得 (−3k−6 −5k ) ,所以 ⃗AM= , ¿ N , ……2分 1+k2 1+k2 1+3k 1+3k ⃗AN= ( −5 , −5k ) , 1+3k 1+3k 故 −15k−5 −5k(3k2+k) −5(1+k2)(1+3k) ,综上: 为定值,且 t=⃗AM⋅⃗AN= + = =−5 t (1+k2)(1+3k) (1+k2)(1+3k) (1+k2)(1+3k) t=−5……2分. 【点睛】本题考查直线与圆的综合应用,难度较难:(1)复数的常见轨迹问题: 表示 |z−z |=r(r>0) 0 以 对应的点为圆心,半径为 的圆; 且 表示以 对应的点 z r |z−z |+|z−z |=2a¿ 2a>|z z |) z ,z 0 1 2 1 2 1 2 为焦点,2a为长轴长的椭圆;(2)定值问题的计算,可采用由特殊到一般的思路去解答. 21. 如图,在平面直角坐标系xOy中,过圆T外一点P引它的两条切线, 切点分别为M、N,若 ,则称P为圆T的环绕点. (1)当圆O半径为1时, ① 在 、 、 中,圆O的环绕点是 ; ② 直线 与 轴交于点A,与y轴交于点B, 5 / 8 网(北京)股份有限公司 学科网(北京)股份有限公司若线段AB上存在圆O的环绕点,求b的取值范围; (2)圆T的半径为1,圆心为 ,以 ( )为圆心, 为半径的所有圆构成图形H,若在图形H上存在圆T的环绕点, 直接写出t的取值范围. 21.(1)①P,P;② 或 ;(2)-20)为圆心, m为半径的所有圆构成图形H, 图形H即为∠MON的内部,包括射线OM,ON上,然后分⊙T的圆心在y轴的正半轴上时 和当⊙T的圆心在y轴的负半轴上时结合切线长定理两种情况求解 【详解】(1)①P,P;如图,PM,PN是⊙T的两条切线,M,N为切点, 1 3 连接TM,TN,当 时,∵PT平分∠MPN,∵∠TPM=∠TPN=30°, ∵TM⊥PM,TN⊥PN,∴∠PMT=∠PNT=90°,∴TP=2TM……2分, 以T为圆心,TP为半径作⊙T,观察图象可知:当60°≤∠MPN<180°时, ⊙T的环绕点在图中的圆环内部(包括大圆上的点不包括小圆上的点), 如图中,以O为圆心2为半径作⊙O,观察图象可知, P,P 是⊙O的环绕点,故答案为P,P ……2分; 1 3 1 3 ②如图,设小圆交y轴的正半轴与于E, 当直线 经过点E时,b=1……2分; 当直线 与大圆相切于K(在第二象限)时,连接OK, 由题意B(0,b),A(-2b,0),∴OB=b,OA=2b, , 6 / 8 网(北京)股份有限公司 学科网(北京)股份有限公司∵OK=2, •AB•OK= •OA•OB,∴ , 解得 ……2分,观察图象可知,当 时, 线段AB上存在⊙O的环绕点,根据对称性可知: 当 时,线段AB上存在⊙O的环绕点, 综上所述, 满足条件的b的值为 或 ……2分; (2)如图3中,不妨设E(m, m),则点E在直线y= x上, ∵m>0,∴点E在射线OE上运动,作EM⊥x轴,∵E(m, m),∴OM=m,EM= , ∴以E(m, m)(m>0)为圆心, m为半径的⊙E与x轴相切, 作⊙E的切线ON……2分, 观察图象可知, 以E(m, m)(m>0)为圆心, m为半径的所有圆构成图形 H, 图形H即为∠MON的内部,包括射线OM,ON上……2分; 当⊙T的圆心在y轴的正半轴上时, 假设以T为圆心,2为半径的圆与射线ON相切于D, 连接TD.∵ ,∴∠EOM=30°, ∵ON,OM是⊙E的切线,∴∠EON=∠EOM=30°, ∴∠TOD=30°,∴OT=2DT=4,∴T(0,4)……2分, 7 / 8 网(北京)股份有限公司 学科网(北京)股份有限公司当⊙T的圆心在y轴的负半轴上时,且经过点O(0,0)时,T(0,-2),观察图象可知, 当-2