当前位置:首页>文档>专题06数列(4种经典基础练+4种优选提升练)解析版(1)_1多考区联考_0105好题汇编备战2024-2025学年高二数学上学期期末真题分类汇编(新高考通用)

专题06数列(4种经典基础练+4种优选提升练)解析版(1)_1多考区联考_0105好题汇编备战2024-2025学年高二数学上学期期末真题分类汇编(新高考通用)

  • 2026-04-01 13:58:38 2026-02-09 06:12:20

文档预览

专题06数列(4种经典基础练+4种优选提升练)解析版(1)_1多考区联考_0105好题汇编备战2024-2025学年高二数学上学期期末真题分类汇编(新高考通用)
专题06数列(4种经典基础练+4种优选提升练)解析版(1)_1多考区联考_0105好题汇编备战2024-2025学年高二数学上学期期末真题分类汇编(新高考通用)
专题06数列(4种经典基础练+4种优选提升练)解析版(1)_1多考区联考_0105好题汇编备战2024-2025学年高二数学上学期期末真题分类汇编(新高考通用)
专题06数列(4种经典基础练+4种优选提升练)解析版(1)_1多考区联考_0105好题汇编备战2024-2025学年高二数学上学期期末真题分类汇编(新高考通用)
专题06数列(4种经典基础练+4种优选提升练)解析版(1)_1多考区联考_0105好题汇编备战2024-2025学年高二数学上学期期末真题分类汇编(新高考通用)
专题06数列(4种经典基础练+4种优选提升练)解析版(1)_1多考区联考_0105好题汇编备战2024-2025学年高二数学上学期期末真题分类汇编(新高考通用)
专题06数列(4种经典基础练+4种优选提升练)解析版(1)_1多考区联考_0105好题汇编备战2024-2025学年高二数学上学期期末真题分类汇编(新高考通用)
专题06数列(4种经典基础练+4种优选提升练)解析版(1)_1多考区联考_0105好题汇编备战2024-2025学年高二数学上学期期末真题分类汇编(新高考通用)
专题06数列(4种经典基础练+4种优选提升练)解析版(1)_1多考区联考_0105好题汇编备战2024-2025学年高二数学上学期期末真题分类汇编(新高考通用)
专题06数列(4种经典基础练+4种优选提升练)解析版(1)_1多考区联考_0105好题汇编备战2024-2025学年高二数学上学期期末真题分类汇编(新高考通用)
专题06数列(4种经典基础练+4种优选提升练)解析版(1)_1多考区联考_0105好题汇编备战2024-2025学年高二数学上学期期末真题分类汇编(新高考通用)
专题06数列(4种经典基础练+4种优选提升练)解析版(1)_1多考区联考_0105好题汇编备战2024-2025学年高二数学上学期期末真题分类汇编(新高考通用)
专题06数列(4种经典基础练+4种优选提升练)解析版(1)_1多考区联考_0105好题汇编备战2024-2025学年高二数学上学期期末真题分类汇编(新高考通用)
专题06数列(4种经典基础练+4种优选提升练)解析版(1)_1多考区联考_0105好题汇编备战2024-2025学年高二数学上学期期末真题分类汇编(新高考通用)
专题06数列(4种经典基础练+4种优选提升练)解析版(1)_1多考区联考_0105好题汇编备战2024-2025学年高二数学上学期期末真题分类汇编(新高考通用)
专题06数列(4种经典基础练+4种优选提升练)解析版(1)_1多考区联考_0105好题汇编备战2024-2025学年高二数学上学期期末真题分类汇编(新高考通用)
专题06数列(4种经典基础练+4种优选提升练)解析版(1)_1多考区联考_0105好题汇编备战2024-2025学年高二数学上学期期末真题分类汇编(新高考通用)
专题06数列(4种经典基础练+4种优选提升练)解析版(1)_1多考区联考_0105好题汇编备战2024-2025学年高二数学上学期期末真题分类汇编(新高考通用)
专题06数列(4种经典基础练+4种优选提升练)解析版(1)_1多考区联考_0105好题汇编备战2024-2025学年高二数学上学期期末真题分类汇编(新高考通用)
专题06数列(4种经典基础练+4种优选提升练)解析版(1)_1多考区联考_0105好题汇编备战2024-2025学年高二数学上学期期末真题分类汇编(新高考通用)
专题06数列(4种经典基础练+4种优选提升练)解析版(1)_1多考区联考_0105好题汇编备战2024-2025学年高二数学上学期期末真题分类汇编(新高考通用)
专题06数列(4种经典基础练+4种优选提升练)解析版(1)_1多考区联考_0105好题汇编备战2024-2025学年高二数学上学期期末真题分类汇编(新高考通用)
专题06数列(4种经典基础练+4种优选提升练)解析版(1)_1多考区联考_0105好题汇编备战2024-2025学年高二数学上学期期末真题分类汇编(新高考通用)
专题06数列(4种经典基础练+4种优选提升练)解析版(1)_1多考区联考_0105好题汇编备战2024-2025学年高二数学上学期期末真题分类汇编(新高考通用)
专题06数列(4种经典基础练+4种优选提升练)解析版(1)_1多考区联考_0105好题汇编备战2024-2025学年高二数学上学期期末真题分类汇编(新高考通用)
专题06数列(4种经典基础练+4种优选提升练)解析版(1)_1多考区联考_0105好题汇编备战2024-2025学年高二数学上学期期末真题分类汇编(新高考通用)
专题06数列(4种经典基础练+4种优选提升练)解析版(1)_1多考区联考_0105好题汇编备战2024-2025学年高二数学上学期期末真题分类汇编(新高考通用)
专题06数列(4种经典基础练+4种优选提升练)解析版(1)_1多考区联考_0105好题汇编备战2024-2025学年高二数学上学期期末真题分类汇编(新高考通用)
专题06数列(4种经典基础练+4种优选提升练)解析版(1)_1多考区联考_0105好题汇编备战2024-2025学年高二数学上学期期末真题分类汇编(新高考通用)
专题06数列(4种经典基础练+4种优选提升练)解析版(1)_1多考区联考_0105好题汇编备战2024-2025学年高二数学上学期期末真题分类汇编(新高考通用)
专题06数列(4种经典基础练+4种优选提升练)解析版(1)_1多考区联考_0105好题汇编备战2024-2025学年高二数学上学期期末真题分类汇编(新高考通用)
专题06数列(4种经典基础练+4种优选提升练)解析版(1)_1多考区联考_0105好题汇编备战2024-2025学年高二数学上学期期末真题分类汇编(新高考通用)
专题06数列(4种经典基础练+4种优选提升练)解析版(1)_1多考区联考_0105好题汇编备战2024-2025学年高二数学上学期期末真题分类汇编(新高考通用)
专题06数列(4种经典基础练+4种优选提升练)解析版(1)_1多考区联考_0105好题汇编备战2024-2025学年高二数学上学期期末真题分类汇编(新高考通用)
专题06数列(4种经典基础练+4种优选提升练)解析版(1)_1多考区联考_0105好题汇编备战2024-2025学年高二数学上学期期末真题分类汇编(新高考通用)
专题06数列(4种经典基础练+4种优选提升练)解析版(1)_1多考区联考_0105好题汇编备战2024-2025学年高二数学上学期期末真题分类汇编(新高考通用)
专题06数列(4种经典基础练+4种优选提升练)解析版(1)_1多考区联考_0105好题汇编备战2024-2025学年高二数学上学期期末真题分类汇编(新高考通用)
专题06数列(4种经典基础练+4种优选提升练)解析版(1)_1多考区联考_0105好题汇编备战2024-2025学年高二数学上学期期末真题分类汇编(新高考通用)
专题06数列(4种经典基础练+4种优选提升练)解析版(1)_1多考区联考_0105好题汇编备战2024-2025学年高二数学上学期期末真题分类汇编(新高考通用)
专题06数列(4种经典基础练+4种优选提升练)解析版(1)_1多考区联考_0105好题汇编备战2024-2025学年高二数学上学期期末真题分类汇编(新高考通用)
专题06数列(4种经典基础练+4种优选提升练)解析版(1)_1多考区联考_0105好题汇编备战2024-2025学年高二数学上学期期末真题分类汇编(新高考通用)
专题06数列(4种经典基础练+4种优选提升练)解析版(1)_1多考区联考_0105好题汇编备战2024-2025学年高二数学上学期期末真题分类汇编(新高考通用)
专题06数列(4种经典基础练+4种优选提升练)解析版(1)_1多考区联考_0105好题汇编备战2024-2025学年高二数学上学期期末真题分类汇编(新高考通用)
专题06数列(4种经典基础练+4种优选提升练)解析版(1)_1多考区联考_0105好题汇编备战2024-2025学年高二数学上学期期末真题分类汇编(新高考通用)
专题06数列(4种经典基础练+4种优选提升练)解析版(1)_1多考区联考_0105好题汇编备战2024-2025学年高二数学上学期期末真题分类汇编(新高考通用)
专题06数列(4种经典基础练+4种优选提升练)解析版(1)_1多考区联考_0105好题汇编备战2024-2025学年高二数学上学期期末真题分类汇编(新高考通用)
专题06数列(4种经典基础练+4种优选提升练)解析版(1)_1多考区联考_0105好题汇编备战2024-2025学年高二数学上学期期末真题分类汇编(新高考通用)
专题06数列(4种经典基础练+4种优选提升练)解析版(1)_1多考区联考_0105好题汇编备战2024-2025学年高二数学上学期期末真题分类汇编(新高考通用)
专题06数列(4种经典基础练+4种优选提升练)解析版(1)_1多考区联考_0105好题汇编备战2024-2025学年高二数学上学期期末真题分类汇编(新高考通用)
专题06数列(4种经典基础练+4种优选提升练)解析版(1)_1多考区联考_0105好题汇编备战2024-2025学年高二数学上学期期末真题分类汇编(新高考通用)
专题06数列(4种经典基础练+4种优选提升练)解析版(1)_1多考区联考_0105好题汇编备战2024-2025学年高二数学上学期期末真题分类汇编(新高考通用)
专题06数列(4种经典基础练+4种优选提升练)解析版(1)_1多考区联考_0105好题汇编备战2024-2025学年高二数学上学期期末真题分类汇编(新高考通用)
专题06数列(4种经典基础练+4种优选提升练)解析版(1)_1多考区联考_0105好题汇编备战2024-2025学年高二数学上学期期末真题分类汇编(新高考通用)
专题06数列(4种经典基础练+4种优选提升练)解析版(1)_1多考区联考_0105好题汇编备战2024-2025学年高二数学上学期期末真题分类汇编(新高考通用)
专题06数列(4种经典基础练+4种优选提升练)解析版(1)_1多考区联考_0105好题汇编备战2024-2025学年高二数学上学期期末真题分类汇编(新高考通用)
专题06数列(4种经典基础练+4种优选提升练)解析版(1)_1多考区联考_0105好题汇编备战2024-2025学年高二数学上学期期末真题分类汇编(新高考通用)
专题06数列(4种经典基础练+4种优选提升练)解析版(1)_1多考区联考_0105好题汇编备战2024-2025学年高二数学上学期期末真题分类汇编(新高考通用)
专题06数列(4种经典基础练+4种优选提升练)解析版(1)_1多考区联考_0105好题汇编备战2024-2025学年高二数学上学期期末真题分类汇编(新高考通用)
专题06数列(4种经典基础练+4种优选提升练)解析版(1)_1多考区联考_0105好题汇编备战2024-2025学年高二数学上学期期末真题分类汇编(新高考通用)
专题06数列(4种经典基础练+4种优选提升练)解析版(1)_1多考区联考_0105好题汇编备战2024-2025学年高二数学上学期期末真题分类汇编(新高考通用)
专题06数列(4种经典基础练+4种优选提升练)解析版(1)_1多考区联考_0105好题汇编备战2024-2025学年高二数学上学期期末真题分类汇编(新高考通用)
专题06数列(4种经典基础练+4种优选提升练)解析版(1)_1多考区联考_0105好题汇编备战2024-2025学年高二数学上学期期末真题分类汇编(新高考通用)
专题06数列(4种经典基础练+4种优选提升练)解析版(1)_1多考区联考_0105好题汇编备战2024-2025学年高二数学上学期期末真题分类汇编(新高考通用)
专题06数列(4种经典基础练+4种优选提升练)解析版(1)_1多考区联考_0105好题汇编备战2024-2025学年高二数学上学期期末真题分类汇编(新高考通用)
专题06数列(4种经典基础练+4种优选提升练)解析版(1)_1多考区联考_0105好题汇编备战2024-2025学年高二数学上学期期末真题分类汇编(新高考通用)
专题06数列(4种经典基础练+4种优选提升练)解析版(1)_1多考区联考_0105好题汇编备战2024-2025学年高二数学上学期期末真题分类汇编(新高考通用)
专题06数列(4种经典基础练+4种优选提升练)解析版(1)_1多考区联考_0105好题汇编备战2024-2025学年高二数学上学期期末真题分类汇编(新高考通用)
专题06数列(4种经典基础练+4种优选提升练)解析版(1)_1多考区联考_0105好题汇编备战2024-2025学年高二数学上学期期末真题分类汇编(新高考通用)
专题06数列(4种经典基础练+4种优选提升练)解析版(1)_1多考区联考_0105好题汇编备战2024-2025学年高二数学上学期期末真题分类汇编(新高考通用)
专题06数列(4种经典基础练+4种优选提升练)解析版(1)_1多考区联考_0105好题汇编备战2024-2025学年高二数学上学期期末真题分类汇编(新高考通用)
专题06数列(4种经典基础练+4种优选提升练)解析版(1)_1多考区联考_0105好题汇编备战2024-2025学年高二数学上学期期末真题分类汇编(新高考通用)
专题06数列(4种经典基础练+4种优选提升练)解析版(1)_1多考区联考_0105好题汇编备战2024-2025学年高二数学上学期期末真题分类汇编(新高考通用)
专题06数列(4种经典基础练+4种优选提升练)解析版(1)_1多考区联考_0105好题汇编备战2024-2025学年高二数学上学期期末真题分类汇编(新高考通用)
专题06数列(4种经典基础练+4种优选提升练)解析版(1)_1多考区联考_0105好题汇编备战2024-2025学年高二数学上学期期末真题分类汇编(新高考通用)
专题06数列(4种经典基础练+4种优选提升练)解析版(1)_1多考区联考_0105好题汇编备战2024-2025学年高二数学上学期期末真题分类汇编(新高考通用)
专题06数列(4种经典基础练+4种优选提升练)解析版(1)_1多考区联考_0105好题汇编备战2024-2025学年高二数学上学期期末真题分类汇编(新高考通用)
专题06数列(4种经典基础练+4种优选提升练)解析版(1)_1多考区联考_0105好题汇编备战2024-2025学年高二数学上学期期末真题分类汇编(新高考通用)
专题06数列(4种经典基础练+4种优选提升练)解析版(1)_1多考区联考_0105好题汇编备战2024-2025学年高二数学上学期期末真题分类汇编(新高考通用)
专题06数列(4种经典基础练+4种优选提升练)解析版(1)_1多考区联考_0105好题汇编备战2024-2025学年高二数学上学期期末真题分类汇编(新高考通用)
专题06数列(4种经典基础练+4种优选提升练)解析版(1)_1多考区联考_0105好题汇编备战2024-2025学年高二数学上学期期末真题分类汇编(新高考通用)
专题06数列(4种经典基础练+4种优选提升练)解析版(1)_1多考区联考_0105好题汇编备战2024-2025学年高二数学上学期期末真题分类汇编(新高考通用)
专题06数列(4种经典基础练+4种优选提升练)解析版(1)_1多考区联考_0105好题汇编备战2024-2025学年高二数学上学期期末真题分类汇编(新高考通用)
专题06数列(4种经典基础练+4种优选提升练)解析版(1)_1多考区联考_0105好题汇编备战2024-2025学年高二数学上学期期末真题分类汇编(新高考通用)
专题06数列(4种经典基础练+4种优选提升练)解析版(1)_1多考区联考_0105好题汇编备战2024-2025学年高二数学上学期期末真题分类汇编(新高考通用)
专题06数列(4种经典基础练+4种优选提升练)解析版(1)_1多考区联考_0105好题汇编备战2024-2025学年高二数学上学期期末真题分类汇编(新高考通用)
专题06数列(4种经典基础练+4种优选提升练)解析版(1)_1多考区联考_0105好题汇编备战2024-2025学年高二数学上学期期末真题分类汇编(新高考通用)
专题06数列(4种经典基础练+4种优选提升练)解析版(1)_1多考区联考_0105好题汇编备战2024-2025学年高二数学上学期期末真题分类汇编(新高考通用)
专题06数列(4种经典基础练+4种优选提升练)解析版(1)_1多考区联考_0105好题汇编备战2024-2025学年高二数学上学期期末真题分类汇编(新高考通用)

文档信息

文档格式
docx
文档大小
4.215 MB
文档页数
84 页
上传时间
2026-02-09 06:12:20

文档内容

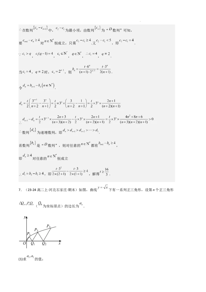
专题 06 数列(4 种经典基础练+4 种优选提升练) 数列的概念(共13题) 一、单选题 1.(23-24高二上·天津·期末)已知数列 满足 , ,则 ( ) A. B. C. D. 【答案】A 【分析】根据递推公式逐项计算可得出 的值. 【详解】因为数列 满足 , , 则 , . 故选:A. 2.(22-23高二上·天津和平·期末)南宋数学家杨辉所著的《详解九章算法·商功》中描述过如图所 示的“三角垛”,最上层有1个球,第二层有3个球,第三层有6个球……设各层的球数构成一个 数列 ,即 , , ,…,且满足 ,则第六层球的个数 为 ( ) A.28 B.21 C.15 D.10 【答案】B 【分析】利用递推公式进行累加法求解. 学科网(北京)股份有限公司【详解】由题意得 , , , , , 以上式子累加可得 , 因为 ,所以 , 故选:B. 3.(23-24高二上·云南昭通·期末)已知数列 ,根据该数列的规律,8是该数列的 ( ) A.第7项 B.第8项 C.第9项 D.第10项 【答案】A 【分析】观察各项根据规律即可求解. 【详解】 ,由此可知数列的规律是前后两项的比值为定值 , 故 所以8是该数列的第7项, 故选:A 4.(23-24高二上·云南昆明·期末)在数列 中,若 , , ,则 ( ) A.2 B.1 C.0 D. 【答案】D 【分析】根据给定条件,求出数列 的周期,再由此求出 . 【详解】在数列 中, ,则 , 因此数列数列 的周期为3,所以 . 故选:D 5.(23-24高二上·内蒙古赤峰·期末)设数列 的前 项和 ,则 ( ) A. B. C. D. 【答案】B 【分析】通过赋值即可求解. 学科网(北京)股份有限公司【详解】由题意令 ,可得: , 故选:B 6.(23-24高二上·重庆九龙坡·期末)数列 的递推公式可以是( ) A. B. C. D. 【答案】C 【分析】观察数列可知,数列从第二项起,每一项是前一项的 ,由此可以得到递推公式,得出结 果. 【详解】数列第一项是1,AB是通项公式的形式,故AB错误; 观察数列可知,数列从第二项起,每一项是前一项的 , 所以递推公式为 ,故C正确,D错误. 故选:C. 7.(22-23高二上·北京·期末)如果数列 满足 (k为常数),那么数列 叫做 等比差数列,k叫做公比差.下列四个结论中所有正确结论的序号是( ) ①若数列 满足 ,则该数列是等比差数列; ②数列 是等比差数列; ③所有的等比数列都是等比差数列; ④存在等差数列是等比差数列. A.①②③ B.①③④ C.①②④ D.②③④ 【答案】B 【分析】根据比等差数列的定义 ( 为常数),逐一判断①②③④是否是等比差数列即 可可得到答案. 学科网(北京)股份有限公司【详解】①数列 满足 ,则 , 满足等比差数列的定义,故①正确; ②数列 , , 不满足等比差数列的定义,故②错误; ③设等比数列的公比为 ,则 , 满足等比差数列,故③正确; ④设等差数列的公差为 , 则 , 故当 时,满足 ,故存在等差数列是等比差数列,即④正确; 故答案为:①③④ 故选:B. 8.(23-24高二上·河南开封·期末)某汽车集团从2023年开始大力发展新能源汽车,2023年全年 生产新能源汽车2000辆,每辆车的利润为1万元.如果在后续的几年中,经过技术不断创新,后一 年新能源汽车的产量都是前一年的 ,每辆车的利润都比前一年增加1000元,则生产新能源 汽车6年的时间内,该汽车集团销售新能源汽车的总利润约为(假设每年生产的新能源汽车都能销 售出去,参考数据: )( ) A.2.291亿 B.2.59亿 C.22.91亿 D.25.9亿 【答案】B 【分析】由题意可求得第n年每辆车的利润为 万元,第n年新能源汽车的销量 学科网(北京)股份有限公司,从而利用错位相减法法求出6年的总利润. 【详解】设第n年每辆车的利润为 万元,则每辆车的利润构成首项为1,公差为 的等差数列, 所以 , 设第n年新能源汽车的销量为 辆,则该汽车的销量构成首项为2000,公比为 的等比数列, 所以 , 设该汽车集团销售新能源汽车的总利润为S万元, 则 ①, ②, ①﹣②得 , 所以 万元即 亿元, 所以该汽车集团销售新能源汽车的总利润约为 亿元. 故选:B 【点睛】关键点睛:本题解决的关键是根据题意抽象出两个数列,再利用错位相减法即可得解. 二、多选题 9.(23-24高二上·内蒙古·期末)数列 的通项公式可能是( ) A. B. C. D. 【答案】AC 【分析】只需把 分别代入数列通项公式检验即得. 学科网(北京)股份有限公司【详解】对于A项,分别把 代入 ,即得 ,故A项正确; 对于B项,把 代入 即得 ,与数列不符,故B项错误; 对于C项,分别把 代入 ,即得 ,故C项正确; 对于D项,把 代入 即得 ,与数列不符,故D项错误. 故选:AC. 10.(22-23高二下·辽宁·期中)如果数列 为递增数列,则 的通项公式可以为( ) A. B. C. D. 【答案】BCD 【分析】根据作差法即可判断BCD,举反例即可判断A. 【详解】对于A,当 ,故不是递增数列,故A不符合, 对于B, ,故是递增数列,故B符合, 对于C, ,故为递增数列,,C符合, 对于D, ,故为递增数列,D符合, 故选:BCD 11.(23-24高二上·江苏扬州·期末)已知无穷数列 , .性质 , ,;性质 , , ,下列说法中正确的有( ) A.若 ,则 具有性质s B.若 ,则 具有性质t C.若 具有性质s,则 D.若等比数列 既满足性质s又满足性质t,则其公比的取值范围为 学科网(北京)股份有限公司【答案】BCD 【分析】根据性质 的定义可判断选项A;根据性质 的定义可判断选项B;根据性质 的定义可得 , ,利用累加法可证选项C;对于D,结合选项C,可得 ,由 满足 性质 ,分 和 讨论求出 ,再由 满足性质 得 ,令 ,结合函数单调性可验证 满足题意. 【详解】对于A,因为 ,对 , , 即 ,所以 不具有性质 ,故A错误; 对于B, ,对 , , , ,故B正确; 对于C,若 具有性质 ,令 ,则 , 即 , , ,又 , 所以 , ,故C正确; 对于D, 是等比数列,设其公比为 ,又 , , 若 满足性质 ,由选项C 得 ,即 , , , 由 , ,得 , 学科网(北京)股份有限公司当 时,得 ,即 ,对 ,又 , , 当 时,不妨设 ,则 , ,解得 , , 综上,若 满足性质 ,则 . 若 满足性质 ,对 , , , 可得 ,即 ,令 ,则 , 又 ,所以函数 在 上单调递增,又由 满足性质 , , 成立, 所以等比数列 既满足性质s又满足性质t,则其公比的取值范围为 . 故D正确. 故选:BCD. 【点睛】思路点睛:选项C,由题意可得 , ,累加法可得 ,结合 ,可判断;选项D,由 满足性质 ,结合选项C得 ,分 和 讨论恒成立求出 ,又由 满足性质 ,得 ,令 ,结合函数单调性可验证 满足题意. 三、填空题 12.(22-23高二上·上海奉贤·期末)数列 满足 ,若 ,则 . 【答案】2 【分析】由递推公式即可求解 学科网(北京)股份有限公司【详解】由 , 可得 , 故答案为:2 13.(23-24高二上·陕西西安·期末)已知数列 的通项公式为 ,则 的最小项 的值为 . 【答案】 【分析】利用二次函数的性质求最小项. 【详解】因为函数 的对称轴是 , 时 取得最小值, 而 中, , 时, , 时, , 所以 中的最小项的值为 . 故答案为: . 等差数列(共17题) 一、单选题 1.(23-24高二上·天津·期末)若等差数列 的前 项和为 ,则当 取得最小值 时, 的值为( ) A. B. C. D. 【答案】C 【分析】利用等差数列前 项和公式以及通项的性质,即可得出结果. 【详解】由题知,设等差数列 公差为 , 因为 ,所以 , 则由 ,得 , 又 ,得 , 所以 , 学科网(北京)股份有限公司则当 取得最小值时, . 故选:C 2.(23-24高二上·安徽·期末)已知等差数列 满足 ,则 ( ) A.10 B.8 C.6 D.4 【答案】D 【分析】根据条件,利用等差数的性质即可求出结果. 【详解】由 ,得到 ,即 , 所以 , 故选:D. 3.(23-24高二上·广东·期末)已知数列 的通项公式 ,其前 项和为 ,则 取 最小值时 的值为( ) A.1012 B.1013 C.1014 D.1015 【答案】A 【分析】根据给定条件,确定数列 的单调性,再求出 的 的最大值即得. 【详解】数列 的通项公式 ,显然数列 是递增数列, 由 ,得 ,而 ,因此数列 的前1012项均为负数,从第 起为正, 所以 取最小值时 的值为1012. 故选:A 4.(23-24高二上·河北保定·期末)已知数列 满足 , 的前 项和为 ,则 ( ) A. B. C. D. 【答案】B 学科网(北京)股份有限公司【分析】根据等差数列定义可证得数列 是以 为公差的等差数列,由此可得结果. 【详解】 , 数列 是以 为公差的等差数列, , 数列 是以 为公差的等差数列, . 故选:B. 5.(23-24高二下·海南·期末)记 为等差数列 的前 项和,若 ,则 ( ) A.144 B.120 C.108 D.96 【答案】B 【分析】根据等差数列的前 项和性质解题即可. 【详解】记 为等差数列 的前 项和,则 也是等差数列. 由于 ,则 成等差数列. 则 ,解得 . 则 成等差数列.故 ,则 . 故选:B. 6.(23-24高二上·云南迪庆·期末)明代数学家程大位在《算法统宗》中已经给出由, , 和 求各项的问题,如九儿问甲歌:“一个公公九个儿,若问生年总不知,自长排来差三岁,共年二百 又零七.借问长儿多少岁,各儿岁数要详推.”意思是一位老人有九个儿子,不知道他们的出生年月, 他们的年龄从大到小排列都差3岁,所有儿子的年龄加起来是207.只要算出长子是多少岁,其他每 个儿子的岁数就可以推算出来,则该问题中老人长子的岁数为( ) A.27 B.31 C.35 D.39 【答案】C 学科网(北京)股份有限公司【分析】根据给定信息,可得九个儿子的岁数从大到小构成公差为 的等差数列,再利用等差数 的前n项和公式列方程求解即可. 【详解】依题意,九个儿子的岁数从大到小构成公差为 的等差数列,设长子的岁数为 , 则 ,解得 , 所以该问题中老人长子的岁数为35. 故选:C 二、多选题 7.(23-24高二上·贵州贵阳·期末)已知数列 的前 项和为 ,则下列说法正确的是 ( ) A.数列 是递增数列 B. C.数列 的最小项为 D.数列 是等差数列 【答案】AD 【分析】利用 可得 ,由 可判断A;求出 可判断B;利用配方法 求最值可判断C;利用等差数列的定义可判断D. 【详解】当 时, , 当 时, , 且 ,所以 , 对于A, 时, , 所以数列 是递增数列,故A正确; 对于B, ,故B错误; 学科网(北京)股份有限公司对于C, ,因为 ,所以当 或 时, 最小,为 , 所以数列 的最小项为 或 ,故C错误; 对于D,因为 ,且当 时, , 当 时, , 所以数列 是以 为首项1为公差的等差数列,故D正确. 故选:AD. 8.(23-24高二上·河北邢台·期末)已知等差数列 的前 项和为 ,公差为 ,且 ,则( ) A. B. C. D. 【答案】ABD 【分析】利用等差数列的性质及求和公式计算即可一一判定选项. 【详解】由 ,得 ,故A、B正确; 因为 ,所以公差 .故C错误,D正确. 故选:ABD 三、填空题 9.(23-24高二上·山东青岛·期末)毕达哥拉斯学派是古希腊哲学家毕达哥拉斯组建的学派,他们 长把沙滩上的沙粒或者小石子用数表示,并由它们排列而成的形状对自然数进行研究,如图,图形 中的圆点数分别是1、5、12、22…,以此类推,第五个图形对应的圆点数为 . 学科网(北京)股份有限公司【答案】 【分析】根据给定条件,探求相邻两个图形对应圆点数的变化规律求解即得. 【详解】依题意,由第一、二、三、四个图形的圆点数知,后面图形比相邻前一个图形多的圆点数 依次为4,7,10, 从第二个图形起,多的圆点数构成以4为首项,3为公差的等差数列,因此第五个图形的圆点数比 第四个图形多13个, 所以第五个图形对应的圆点数为 . 故答案为:35 10.(23-24高二上·安徽·期末)已知等差数列满足 ,则 的值为 . 【答案】3 【分析】根据等差数列下标和性质运算求解. 【详解】由题意可得: ,则 , 所以 . 故答案为:3. 11.(23-24高二上·河北邯郸·期末)已知等差数列 的前 项和分别为 ,且 ,则 . 【答案】 【分析】利用 计算可得答案. 学科网(北京)股份有限公司【详解】因为 , 所以 , 所以 ,故 . 故答案为: . 12.(24-25高二上·江苏苏州·期中)数列 与 的所有公共项由小到大构成一个新的数列 ,则 . 【答案】116 【分析】 为首项为2,公差为6的等差数列,利用等差数列求通项公式求出答案. 【详解】 与 的所有公共项由小到大构成一个新的数列为 , 故 为首项为2,公差为6的等差数列, 所以 , 所以 . 故答案为:116 四、解答题 13.(22-23高二上·河北邯郸·期末)已知等差数列 的前 项和为 ,再从条件:① ,② ,③ 中选择两个作为已知,并完成解答. (1)求数列 的通项公式; (2)求数列 的前10项的和. 学科网(北京)股份有限公司【答案】(1) (2)68 【分析】(1)根据所选条件,求出等差数列 的首项和公差,可求数列通项; (2)由数列 中各项的符号,利用分组求和求数列 的前10项的和. 【详解】(1)设等差数列 的公差为 , 若选择①②,由① ,② , 则等差数列 首项 ,公差 , ; 若选择①③,由① ,③ ,则 ,公差 , 所以等差数列 首项 ,公差 , ; 若选择②③,由② ,③ ,得 , 所以等差数列 首项 ,公差 , ; (2)令 ,得 ,则 前2项为负数,从第3项起为正数, . 14.(23-24高二上·河南漯河·期末)已知数列 满足: , . (1)若 ,求证: 为等差数列. (2)求数列 的前 项和 . 【答案】(1)证明见解析 学科网(北京)股份有限公司(2) 【分析】(1)将 两边取倒数,即可得到 ,从而得证; (2)由(1)可得 ,从而得到 ,利用裂项相消法计算可得. 【详解】(1)因为 ,所以 , 即 , ,又 , 所以 是以 为首项, 为公差的等差数列; (2)由(1)可得 ,则 , 所以 , 所以 . 15.(23-24高二上·福建南平·期末)已知数列 为等差数列, 且 . (1)求数列 的通项公式; (2)求数列 的前 项和 . 【答案】(1) (2) 学科网(北京)股份有限公司【分析】(1)把等差数列 中的项用基本量 和 表示,列方程组求解即可. (2)用裂项相消直接求解即可. 【详解】(1)设数列 的首项为 ,公差为 , 依题意得: 解得: 故 . 所以数列 的通项公式为: . (2)由(1)知: , 所以, . 16.(23-24高二上·宁夏吴忠·期末)(1)已知等差数列 中, , ,求 . (2)已知数列 的前 项和为 ,且 ,求 和 . 【答案】(1) (2) , . 【分析】(1)利用等差中项的性质可求得 的值,可求得等差数列 的公差,进而可求得 的 值; 学科网(北京)股份有限公司(2)利用 求出数列 的通项公式,进而可求得 的值. 【详解】解:(1)设等差数列 的公差为 , 由等差中项的性质可得 ,可得 ,故 , 所以, ; (2)因为数列 的前 项和 , 当 时, , 当 时, ,适合上式, 故 , . 17.(23-24高二上·江苏镇江·期末)记数列 的前n项和为 ,对任意 满足: ,且 . (1)求数列 的通项公式; (2)若 , ,求 的值. 【答案】(1) , (2) . 【分析】(1)利用 时, 及等差数列的通项公式即可求解; (2)去绝对值后,利用等差数列的前 项和公式即可求解. 【详解】(1)因为 , 所以当 时, ,即 , 学科网(北京)股份有限公司因为 ,所以 , 当 时, ,又 , 所以 , 化简得 , 即 ,即 , 所以 , 因为 ,所以 ,即 , 所以 是首项 ,公差 的等差数列, 所以 ,故数列 的通项公式 ; (2)因为 , ,所以 , 因为 , 所以 , 所以 , 所以 , 故 . 等比数列(共15题) 一、单选题 1.(23-24高二上·广东·期末)等比数列 中 ,则 ( ) 学科网(北京)股份有限公司A. B. C. D. 【答案】B 【分析】根据给定条件,求出等比数列 的公比,进而求出首项即可得解. 【详解】依题意,等比数列 的公比 ,则 ,解得 , 因此 ,所以 . 故选:B 2.(23-24高二上·天津·期末)已知数列 是等比数列,且 , ,则 ( ) A. B. C. 或 D. 或 【答案】B 【分析】根据等比中项求出 ,再根据等比数列的奇数项同号即可确定 的值. 【详解】设等比数列 的公比为 , , , , , 又 , . 故选:B. 3.(23-24高二上·浙江杭州·期末)已知数列 为等比数列,公比为q,前n项和为 ,则“ 学科网(北京)股份有限公司”是“数列 是单调递增数列”的( ) A.充分不必要条件 B.必要不充分条件 C.充要条件 D.既不充分 也不必要条件 【答案】C 【分析】根据等比数列的定义和数列单调的定义求解即可. 【详解】因为数列 为等比数列,公比为q,前n项和为 , 若 ,即 ,则 ,即数列 是单调递 增数列; 若数列 是单调递增数列,则 ,所以 ; 所以“ ”是“数列 是单调递增数列”的充要条件. 故选:C. 4.(23-24高二上·湖北荆门·期末)在流行病学中,基本传染数 是指在没有外力介入,同时所有 人都没有免疫力的情况下,一个感染者平均传染的人数. 一般由疾病的感染周期、感染者与其他 人的接触频率、每次接触过程中传染的概率决定,假设某种传染病的基本传染数 ,平均感染 周期为7天,那么感染人数由1(初始感染者)增加到3333大约需要的天数为( )(初始感染 者传染 个人为第一轮传染,这 个人每人再传染 个人为第二轮传染……参考数据: ) A.42 B.43 C.35 D.49 【答案】A 【分析】由题意得感染人数形成等比数列,然后利用等比数列求和公式列不等式,结合指对互化解 不等式即可求解. 【详解】设第n轮感染的人数为 ,则数列 是 ,公比 的等比数列, 学科网(北京)股份有限公司由 ,可得 ,两边取对数得 , 所以 ,所以 ,故需要的天数约为 . 故选:A 5.(22-23高二上·浙江绍兴·期末)已知等比数列 的前 项和为 ,则点列 在同 一坐标平面内不可能的是( ) A. B. C. D. 【答案】D 【分析】根据等比数列通项公式和前 项和公式确定正确答案. 【详解】设等比数列 的首项为 ,公比为 , A选项, 时, ,图象符合. B选项, 时, ,图象符合. C选项, 时, ,图象符合. D选项,由图可知, 都是负数,所以 , 学科网(北京)股份有限公司但图象显示 时, 或 为正数,矛盾,所以D选项图象不符合. 故选:D 6.(22-23高二上·广东深圳·期末)设等比数列 的公比为 ,其前 项和为 ,前 项之积为 ,且满足 , ,则下列结论中正确的是( ) A. B. C. 是数列 中的最大值 D. 【答案】C 【分析】由已知结合等比数列的性质检验各选项即可判断. 【详解】因为等比数列 满足 , 又 ,所以 ,A错误; ,即 ,B错误; 当 时, ,当 时, ,即 是数列 中的最大值,C正确; 由题意得, ,则 ,D错误. 故选:C. 7.(22-23高二上·安徽滁州·期末)已知等比数列 的公比为 ,其前 项和为 ,且 , , 成等差数列,若对任意的 ,均有 恒成立,则 的最小值为 ( ) A.2 B. C. D. 【答案】B 学科网(北京)股份有限公司【分析】由已知可求得 , 为奇数时, , 根据单调性可得: , 为偶数时, ,根据单调性可得: ,可得 的 最大值与最小值分别为2, , 考虑到函数 在 上单调递增,即可得出结论. 【详解】等比数列 的公比为 ,因为 , , 成等差数列,所以 , 解得 , 所以 , 当 为奇数时, ,易得 单调递减,且 ,所以 ; 当 为偶数时, ,易得 单调递增,且 ,所以 . 所以 的最大值与最小值分别为2, . 函数 在 上单调递增,所以 . .所以 的最小值 . 故选:B. 【点睛】思路点睛:由已知条件求得等比数列的前n项和 ,通过分类讨论并利用函数单调性求 学科网(北京)股份有限公司得 的最大值和最小值,再由函数 在 上单调递增且 ,可求 取值 范围. 二、多选题 8.(23-24高二上·河北保定·期末)已知等比数列 的首项为 ,公比为 ,则下列能判断 为递增数列的有( ) A. B. C. D. 【答案】BD 【分析】根据题意,结合等比数列的性质,逐项判定,即可求解. 【详解】由等比数列 的首项为 ,公比为 , 对于A中,若 ,可得 ,所以 为递减数列,所以A错误; 对于B中,若 ,可得 ,所以 为递增数列,所以B正确; 对于C中,若 ,可得 ,所以 为递减数列,所以C错误; 对于D中,若 ,可得 ,所以 为递增数列,所以D正确. 故选:BD. 9.(23-24高二上·山东临沂·期末)设数列 的前 项和为 的前 项和为 ,满足 ,且 且 ,则( ) A. 是等差数列 B. 时, 的最大值为26 C.若 ,则数列 是递增数列 D.若 ,则 学科网(北京)股份有限公司【答案】ABD 【分析】对于A,首先得 ,根据 之间的关系得 ,由此即可 判断;对于B,令 ,解不等式即可判断;对于C,由 举出反例即可 判断;对于D,代入即可验算. 【详解】对于A,由题意 ,解得 , 所以 , , 当 时, , 当 时,有 ,故 ,故A正确; 对于B, 令 ,解得 ,故B正确; 对于C,若 ,则 ,故C错误; 对于D,若 ,则 ,故D正确. 故选:ABD. 10.(23-24高二上·江苏南京·期末)已知数列 的前 项和为 ,下列命题正确的有( ). A.若 为等差数列,则 一定是等差数列 B.若 为等比数列,则 一定是等比数列 C.若 ,则 一定是等比数列 D.若 ,则 一定是等比数列 【答案】AC 【分析】根据等差数列的片段和性质即可求解A,举反例即可求解BD,根据 的关系,结合等 比数列的定义即可求解C. 学科网(北京)股份有限公司【详解】对于A,设等差数列 的公差为 ,则 , 则 , 同理可得 , 所以 ,所以 , , 仍为等差数列,故A项正确; 对于B,取数列 为 ,1, ,1, , , , 不能成等比数列,故B项不正确; 对于C,由 可得 时, ,相减可得 ( ), 由 可得 ,因此 对任意 都成立,故 是等比数列,C正确, 对于D,由 可得 ,相减可得 ,若 , 不是等比数列,故D 错误. 故选:AC. 三、填空题 11.(23-24高二上·广东茂名·期末)已知等比数列 满足 , ,则 . 【答案】12 【分析】 根据给定条件,利用等比数列性质计算即可. 【详解】等比数列 满足 , ,由 ,得 . 故答案为:12 12.(23-24高二上·内蒙古呼伦贝尔·期末)在数列 中, ,则 与 的等比中项 为 . 【答案】 【分析】根据等比中项的性质即可得出答案. 学科网(北京)股份有限公司【详解】设 与 的等比中项为 ,则 . 故答案为: 13.(23-24高二上·天津·期末)若数列 的首项 ,且满足 ,则数列 的通项 公式为 . 【答案】 【分析】变形得到 ,故 为公比为2的等比数列,从而得到通项公式. 【详解】 , 又 ,故 为公比为2的等比数列, 故 ,所以 . 故答案为: 四、解答题 14.(23-24高二上·贵州安顺·期末)已知数列 中, , ( , ), 且 是 和 的等差中项. (1)求实数 的值; (2)求证:数列 是等比数列,并求出 的通项公式. 【答案】(1) (2)证明见解析, 【分析】(1)根据题意可得 ,再由 是 和 的等差中项建立等式即可求解; (2)构造数列 ,根据等比数列定义及通项公式求解化简即可. 学科网(北京)股份有限公司【详解】(1)根据题意有 , 因为 是 和 的等差中项, 所以 ,解得 . (2)由(1)知 ,所以 , 又 ,所以 (常数), 所以数列 是以1为首项,以3为公比的等比数列. 则 ,所以 . 15.(24-25高二上·广东江门·期末)已知等差数列 和等比数列 满足 , , , ,设数列 的公比为 . (1)求数列 , 的通项公式; (2)若 , 为数列 的前 项和,求 . 【答案】(1) , . (2) 【分析】(1)利用等差数列和等比数列的通项公式求解; (2)由(1)得到 ,再利用等比数列的前n项和公式求解. 【详解】(1)解:设 的公差为 , 由 ,得 , 又 ,得 , 学科网(北京)股份有限公司联立解得 ,或 , 因为 , 故 舍去, 所以 , . (2)由(1)有 , 因为 , 所以数列 是以首项为4,公比为 的等比数列. . . 数学归纳法(共4题) 一、单选题 1.(23-24高二上·浙江杭州·期末)用数学归纳法证明: ( )的过程中,从 到 时, 比 共增加了( ) A.1项 B. 项 C. 项 D. 项 【答案】D 【分析】分别计算出 和 的项数,进而作差即得结论. 【详解】因为 , 学科网(北京)股份有限公司所以 ,共 项, 则 共 项, 所以 比 共增加了 项, 故选:D 二、多选题 2.(23-24高二上·安徽马鞍山·期末)已知数列 中, , ,则下列 结论正确的是( ) A.当 时,数列 为常数列 B.当 时,数列 单调递减 C.当 时,数列 单调递增 D.当 时,数列 为摆动数列 【答案】ABC 【分析】求出数列 各项的值,可判断A选项;利用数列的单调性可判断B选项;利用数学归 纳法推导出 ,结合数列的单调性可判断C选项;取 ,求出数列 各项的值,可 判断D选项. 【详解】对于A选项,当 时, , 由 可得 , , , , 以此类推可知,对任意的 , ,此时,数列 为常数列,A对; 对于B选项,当 时,则 ,此时,数列 单调递减,B对; 学科网(北京)股份有限公司对于C选项,因为 , ,且 ,则 , 猜想, , , 当 时,猜想成立, 假设当 时,猜想成立,即 , 则当 时, , 因为 ,则 ,则函数 在 上单调递增, 所以, ,即 成立, 由数学归纳法可知,对任意的 , , 所以, ,此时,数列 单调递增,C对; 对于D选项,当 时,取 ,则 且 , 则 , , , , 以此类推可知,当 且 时, ,即 , 此时,数列 不是摆动数列,D错. 故选:ABC. 【点睛】方法点睛:判断数列单调性的方法有: (1)利用数列对应的函数的单调性判断; (2)对数列的前后项作差(或作商),利用比较法判断. 3.(23-24高二上·江苏无锡·期末)斐波那契数列由意大利数学家斐波那契发现,因以兔子繁殖为 例子而引入,故又称为“兔子数列”.斐波那契数列在很多方面都与大自然神奇地契合,小到向日 葵、松果、海螺的生长过程,大到海浪、飓风、宇宙系演变,皆有斐波那契数列的身影,充分展示 学科网(北京)股份有限公司了“数学之美”.斐波那契数列用递推的方式可定义如下:数列 满足: , ,则下列结论正确的是( ) A. B. C. D. 是奇数 【答案】ACD 【分析】根据递推公式判断选项A,利用累加判断选项BC,利用数学归纳法证明结论3的倍数项 为偶数,其他项为奇数证明选项D. 【详解】对A:由 ,可得 , 即有 ,故A正确; 对于B:由题意 , , , , 以上式子累加得: ,故B不正确; 对于C:因为 ,则 , 则 ,故C正确; 对于D:根据通项公式可得斐波那契数列为 , 3的倍数项为偶数,其他项为奇数,下面用数学归纳法证明: ①当 ,2,3时, , ,满足规律, ②假设当 , , 时满足 为偶数, , 为奇数, 学科网(北京)股份有限公司③当 , , 时, ,因为 , 为奇数,所以 为偶数, ,因为 为奇数, 为偶数,所以 为奇数, ,因为 为奇数, 为偶数,所以 为奇数, 故3的倍数项为偶数,其他项为奇数得证, 2024项是非3的倍数项,故D正确; 故选:ACD 【点睛】方法点睛:本题A选项的判断比较常规,选项BC的关键是要通过适当的变形然后利用累 加法判断,选项D根据数列规律猜想3的倍数项为偶数,其他项为奇数,利用数学归纳法证明. 三、解答题 4.(22-23高二上·浙江杭州·期末)已知数列 满足 , . (1)求 , , ; (2)试猜想数列 的通项公式,并用数学归纳法证明. 【答案】(1) (2) ,证明见解析 【分析】(1)首先根据题意得到 ,再求 , , 即可. (2)首先猜想数列 的通项公式为 ,再利用数学归纳法证明即可. 【详解】(1)由 可知 , 当 时,代入 ,解得 ; 学科网(北京)股份有限公司当 时,代入 ,解得 ; 当 时,代入 ,解得 ; (2)猜想数列 的通项公式为 . 当 时,左边 ,右边 , 成立. (2)假设当 时, 成立. 则当 时,有 , 即当 时, 也成立. 所以 对任何 都成立. 数列求和的常用方法(共10题) 一、填空题 1.(22-23高二上·江苏常州·期末)已知函数 满足 ,若数列 满足 ,则数列 的前16项的和为 . 【答案】 【知识点】求等差数列前n项和、倒序相加法求和 【分析】利用倒序相加法可得到 ,即可求得前16项的和. 【详解】 ,① 学科网(北京)股份有限公司,② 两式相加,又因为 , 故 ,所以 , 所以 的前16项的和为 故答案为: 2.(23-24高二上·河南信阳·期末)已知数列 满足 .且 ,若 , 则 . 【答案】2024 【知识点】由递推关系式求通项公式、分组(并项)法求和 【分析】利用构造法与迭代法求得 ,从而利用并项求和法即可得解. 【详解】因为 ,所以 , 又 ,则 , 所以 , 故 ,则 , 所以 , 则 的各项分别为 , 所以 . 故答案为:2024 学科网(北京)股份有限公司【点睛】关键点点睛:本题解决的关键在于将推递关系式化得 ,从 而求得 ,由此得解. 3.(23-24高二上·陕西西安·期末)已知等差数列 公差 ,由 中的部分项组成的数列 为等比数列,其中 .则数列 的前10项之和为 . 【答案】 【知识点】分组(并项)法求和、等差数列通项公式的基本量计算、等比数列通项公式的基本量计 算、求等比数列前n项和 【分析】由等比数列的中项性质和等差数列的通项公式,求得 ,进而得到 的公比和通 项公式,求得 ,由等比数列的求和公式,计算可得所求和. 【详解】由题意可得 , , 成等比数列,即有 , 由等差数列的通项公式可得 ,解得 , 则 , 由 的公比 , 则 ,可得 , 则数列 的前10项之和为 . 故答案为: . 【点睛】关键点点睛:本题考查等差等比数列通项及求和公式,理解 的含义是本题关键. 4.(23-24高二上·福建龙岩·期末)已知数列 各项均为 ,在其第 项和第 项之间插入 个 ,得到新数列 ,记新数列 的前 项和为 ,则 , . 学科网(北京)股份有限公司【答案】 【知识点】数列综合、分组(并项)法求和 【分析】将数列 各项排成三角数阵,确定 的位置,可得出 的值,确定数列 的前 项中,项的值为 、 的项数,即可求得 的值. 【详解】由题意,将数列 各项按如下数阵排列: 其中第 行有 项,则该数阵中第 行最后一项对应数列 中的对应的第 项, 因为 ,且 , 所以, 位于数阵的第 行第 项,故 , 数列 的前 项中,项的值为 的共 项,项的值为 的项共 项, 因此, . 故答案为: ; . 【点睛】关键点点睛:本题考查数列求和与求某项的问题,解题的关键就是确定各项的位置,以及 数列 中各项的值,对于这种有规律性的数列问题,可以将其转化为三角数阵,确定相应项的位 置即可. 5.(23-24高二上·天津·期末)已知数列 的前 项和为 , , , 学科网(北京)股份有限公司,则满足 的正整数 的所有取值为 . 【答案】 、 【知识点】求等比数列前n项和、求等差数列前n项和、分组(并项)法求和 【分析】由题意可知,数列 中的奇数项和偶数项分别成等差数列和等比数列,根据 为奇数和 偶数分别利用求出 ,结合单调性代值计算可得结果. 【详解】当 为奇数时, ,所以,数列 中的奇数项构成以 为首项,公差为 的等差数列, 当 为偶数时, ,所以,数列 中的偶数项构成以 为首项,公比为 的等比数列, 所以数列 中的每一项均为整数,故数列 为递增数列, 当 为奇数时,设 , 则 , 当 为偶数时,设 , 则 , 因为 , , , , 因此,满足 的正整数 的所有取值集合为 . 故答案为: 、 . 学科网(北京)股份有限公司【点睛】关键点点睛:本题的解决关键是,分析得数列的奇数项和偶数项分别为等差数列与等比数 列,从而得解. 6.(23-24高二上·江西宜春·期末)已知正项数列 的前n项和 满足 (n为 正整数),则 ;记 ,若函数 的值域为 ,则实 数k的取值范围是 . 【答案】 【知识点】根据值域求参数的值或者范围、裂项相消法求和、利用an与sn关系求通项或项 【分析】因式分解即可求出 ,再利用 求出数列的通项公式 ,由裂项相 消求和法计算可得 .设函数 ,将函数 写出分段 函数,根据函数的值域为R和极限的思想可得当 时 、当 时 ,解不等 式即可求解. 【详解】因为 ,所以 , 又因为 是正项数列,所以 ,即 , 当 得 ,当 得 , 经检验 符合上式,所以 . 所以 . 设函数 , 当 时, 学科网(北京)股份有限公司; 同理可得,当 时, , 当 时, , 当 时, , 当 时, , 即 ,其中 , 由函数 的值域为R知,当 时, , 所以 ,即 ,解得 ; 当 时, , 所以 ,即 ,解得 , 综上,实数k的取值范围为 . 故答案为: ; . 【点睛】关键点点睛:本题的关键点是将函数 转化为分段函 数,利用函数的值域确定关于k的不等式即可求解,其中涉及到极限思想以及数列的求通项公式和 求和知识点,平时练习都要熟练应用. 7.(23-24高二上·山东烟台·期末)已知数列 满足: ; ; , 学科网(北京)股份有限公司,其中 , .数列 的通项公式 ,令 ,则数列 的前n项和 . 【答案】 . 【知识点】裂项相消法求和、构造法求数列通项、由递推关系式求通项公式、写出等比数列的通项 公式 【分析】利用比例的性质与待定系数法,解方程可得 ,从而利用构造法求得 ;再利 用裂项相消求和法求得 ,从而得解. 【详解】依题意,设 , , ,又 , 又 , , 所以 ,解得 , 则 ,即有 , 又 ,所以 是首项为 ,公比为 的等比数列, 所以 ,则 ; 所以 , 则数列 的前n项和 . 故答案为: ; . 【点睛】关键点点睛:本题第2问解决的关键是观察 ,发现其可以裂项展开, 学科网(北京)股份有限公司从而得解. 二、解答题 8.(22-23高二上·河北邯郸·期末)已知数列 中 . (1)证明:数列 是等比数列; (2)若数列 的通项公式为 ,设 为数列 的前 项和,求使 恒成立的最小的 整数 . 【答案】(1)证明见解析 (2)1 【知识点】数列不等式恒成立问题、写出等比数列的通项公式、错位相减法求和、由递推关系证明 等比数列 【分析】(1)变形给定等式,利用等比数列定义推理即得. (2)由(1)求出 ,再利用错位相减法求和,结合恒成立即可求解. 【详解】(1)当 时, ,则 , 即 ,又 , 所以数列 是首项为3,公比为3的等比数列. (2)由(1)知 , , , 则 , 两式相减得 , 因此 ,而 ,则 ,又 恒成立,因此 , 学科网(北京)股份有限公司所以最小的整数 为1. 9.(23-24高二上·安徽合肥·期末)对每个正整数 是抛物线 上的点,过焦点 的直线 交抛物线于另一点 . (1)证明: ; (2)取 ,并记 ,求数列 的前 项和. 【答案】(1)证明见解析 (2) 【知识点】分组(并项)法求和、根据韦达定理求参数、求等比数列前n项和、利用焦半径公式解 决直线与抛物线交点问题 【分析】(1)设直线 ,联立方程结合韦达定理分析证明; (2)根据抛物线的定义结合(1)可得 ,利用分组求和法结合等比数列求和公式运 算求解. 【详解】(1)由题意可知:抛物线 的焦点 ,且直线 的斜率存在, 设直线 , 联立方程 ,消去y得 , 可得 ,所以 . 学科网(北京)股份有限公司(2)因为 ,由(1)可得 , 则 , 可得 , 设数列 的前 项和为 , 则 , 所以 . 【点睛】关键点点睛:利用韦达定理证明关系,并根据抛物线的定义求 . 10.(23-24高二上·福建福州·期末)已知数列 的前 项和 ,数列 满足: . (1)证明: 是等比数列; (2)设数列 的前 项和为 ,且 ,求 ; (3)设数列 满足: .证明: . 【答案】(1)证明见解析; 学科网(北京)股份有限公司(2) ; (3)证明见解析. 【知识点】由递推关系证明等比数列、错位相减法求和、利用an与sn关系求通项或项、裂项相消 法求和、由递推关系证明等比数列、利用an与sn关系求通项或项 【分析】(1)根据 满足的递推公式,结合等比数列定义即可证明; (2)根据 与 的关系求得 ,结合(1)中所证求得 ,再利用裂项求和法求 即可; (3)求得 的通项公式,采用分组求和,利用裂项求和以及错位相减法,结合适度放缩,即可求 证. 【详解】(1)因为 ,故可得 , 因为 ,故数列 为首项 ,公比2的等比数列. (2)因为 ,故可得当 时, ; 当 时, ; 综上所述: ; 由(1)可得: ,故 ; 故 ; 当 为偶数时, 学科网(北京)股份有限公司; 当 为奇数时, ; 故 . (3)由题可得 设 ; 设 记 则 , , 学科网(北京)股份有限公司, 则 , 故 . 【点睛】关键点点睛:本题综合考察数列知识的应用和掌握; (1)解决第二问的关键是, 裂项的处理,以及对 为奇数和偶数时,不同的 处理手段; (2)解决第三问的关键是能够合理利用分组求和,并且对 进行放缩;属综合困难题. 求数列通项的常用方法(共7题) 一、填空题 1.(23-24高二上·浙江杭州·期末)已知数列 满足 ,若 ,则 . 【答案】 【知识点】数列周期性的应用、根据数列递推公式写出数列的项 【分析】用累乘法,结合余弦函数的周期性求解. 【详解】因为 的最小正周期为 ,且 余 , 由已知可得 , 学科网(北京)股份有限公司故答案为: . 【点睛】关键点点睛:数列中带有三角函数且求数列中较大的某一项时,通常想到用周期函数的性 质求解. 2.(23-24高二上·福建福州·期末)瑞典数学家科赫在1904年构造能描述雪花形状的图案,就是数 学中一朵美丽的雪花——“科赫雪花”.它的绘制规则是:任意画一个正三角形 (图1),并把 每一条边三等分,再以中间一段为边向外作正三角形,并把这“中间一段”擦掉,形成雪花曲线 (图2),如此继续下去形成雪花曲线 (图3),直到无穷,形成雪花曲线 .设 雪花曲线 的边数为 ,面积为 ,若正三角形 的边长为 ,则 = ; = . 【答案】 【知识点】求等比数列前n项和、写出等比数列的通项公式、累加法求数列通项 【分析】根据图形,得出 成等比数列,从而可得通项公式,再由图形的形成过程得出边长也成 等比数列,而 是在 的基础上每条边向外增加一个小正三角形,由此可得面积间的关系 ,利用累加法求得通项公式 . 【详解】由题意, , ,即 是等比数列,公比是4,所以 , 设雪花曲线 的边长为 ,则 , ,所以 , 学科网(北京)股份有限公司因为 , 当 时, , 所以 . 故答案为: ; . 【点睛】方法点睛:本题考查归纳猜想,考查数列的应用,解题方法是观察图形,通过图形的形成 归纳总结出 与 的关系:边数间的关系,边长的关系,面积的关系,从而利用数列的知 识求得结论. 二、解答题 3.(23-24高二上·河北承德·期末)已知正项数列 满足 ,数列 的前n项和为 , 且 . (1)求 的通项公式; (2)证明: . 【答案】(1) , (2)证明见解析 【知识点】累乘法求数列通项、数列不等式恒成立问题、错位相减法求和、利用an与sn关系求通 学科网(北京)股份有限公司项或项 【分析】(1)利用对数运算,得 ,再运用累乘法可求 ,由 与 的关系可得 ,则 时,数列 是以 为首项的常数列,可求 的通项公式; (2)利用错位相减法求 ,从而得证. 【详解】(1)因为 ,且 ,所以 , 所以 ,即 ,所以 . 当 时,所以 , 所以 . 因为 ,所以 ,所以 . 也符合上式,所以 . 当 时, . 因为 ,所以当 时, , 所以当 时, ,即 , 所以当 时,数列 是以 为首项的常数列, 即 ( ),所以 ( ), 学科网(北京)股份有限公司所以 的通项公式为 (2)因为 , 所以 , 两式相减得 , 所以 . 【点睛】数列求和的常用方法: (1)对于等差等比数列,利用公式法直接求和; (2)对于 型数列,其中 是等差数列, 是等比数列,利用错位相减法求和; (3)对于 型数列,利用分组求和法; (4)对于 型数列,其中 是公差为 的等差数列,利用裂项相消法求和. 4.(23-24高三上·安徽·期末)在数列 中, , ,且数列 是等比数列. (1)求 的通项公式; (2)设 ,数列 的前n项和为 ,证明: . 【答案】(1) (2)证明见解析 【知识点】求等比数列前n项和、错位相减法求和、等比数列的定义 【分析】(1)结合题意,借助等比数列定义计算即可得; 学科网(北京)股份有限公司(2)借助两次错位相减法计算即可得 ,即可得证. 【详解】(1)设等比数列 的公比为 ,则 ,则 ,即 , ,即 ,又 ,故有 ,解得 , 故 , ; (2) , 则 , , 有 , 即 , 令 , 则 , 则有 , 即有 , 即 , 故 , 学科网(北京)股份有限公司又 ,故 . 5.(23-24高二上·山东青岛·期末)如图形状出现在南宋数学家杨浑所著的《详解九章算法 商 功》中,后人称为“三角垛”,“三角垛”的最上层有1个球,第二层有3个球,第三层有6个球 设各层球数构成一个数列 . (1)写出 与 的递推关系,并求数列 的通项公式; (2)记等比数列 的前 项和为 ,且 ,在 与 之间插入 个数,若这 个数 恰能组成一个公差为 的等差数列,求数列 的前 项和 . 【答案】(1) , (2) 【知识点】累加法求数列通项、错位相减法求和、由递推关系式求通项公式、利用an与sn关系求 通项或项 【分析】(1)根据题意得到 , ,再利用累加法即可得解; (2)利用 与 的关系,结合 为等比数列求得 ,进而利用等差数列的通项公式求得 ,再 利用错位相减法即可得解. 【详解】(1)从图中可以发现每一层球的数量比上一层多的个数等于层数, 所以有 ,又 , 学科网(北京)股份有限公司所以 . (2)由 ,得 , 两式相减得 ,则 , 因为 为等比数列,则公比为 , 当 时, ,解得 , ,则 , , , , , 则 , 两式相减,得 , . 【点睛】关键点点睛:本题第2小题解决的关键是利用等差数列的通项公式求得 ,从而得解. 6.(23-24高二上·江苏常州·期末)定义:如果一个数列从第2项起,每一项与它前一项的差都大 于或等于4,则称这个数列为“ 数列”. (1)已知等差数列 的首项为1,其前 项和 满足对任意的 都有 ,若 学科网(北京)股份有限公司数列 为“ 数列”,求数列 的通项公式; (2)已知等比数列 的首项 和公比 均为正整数,若数列 为“ 数列”,且 , ,设 ,若数列 也为“ 数列”,求实数 的取值范围. 【答案】(1) (2) 【知识点】写出等比数列的通项公式、等差数列通项公式的基本量计算、根据数列的单调性求参数、 数列新定义 【分析】(1)通过题干所给不等式可求出 的范围,在根据 ,得出 ,进而求出 (2)通过判断数列 的单调性可得:要 对 恒成立,只需 ,从而 求出 , 同理判断数列 的单调性可得:要 对 恒成立,只需 ,从而求出 的范围. 【详解】(1)设等差数列 的公差为 ,则 ,由 ,得 . 由题意得, 对 均成立, 当 时,上式成立.当 时, ,又 , 等差数列 的通项公式为 . (2)等比数列 得 ,由于数列 为“ 数列”,且 为正整数, , . 学科网(北京)股份有限公司在数列 中, 为最小项,由数列 为“ 数列”可知, 要 对 恒成立,只需 .又 ,即 . , , , , , . 当 , 时, ,则 . 令 . 数列 为递增数列,即 . 若数列 是“ 数列”,则对任意的 都有 , 即 对任意的 恒成立 ,即 ,解得 . 7.(23-24高二上·河北石家庄·期末)如图,曲线 下有一系列正三角形,设第n个正三角形 ( 为坐标原点)的边长为 . (1)求 的值; 学科网(北京)股份有限公司(2)求出 的通项公式; (3)设曲线在点 处的切线斜率为 ,求证: . 【答案】(1) , ; (2) ; (3)证明见解析. 【知识点】裂项相消法求和、利用an与sn关系求通项或项、求在曲线上一点处的切线方程(斜 率)、根据规律填写数列中的某项 【分析】(1)根据给定条件,用 表示出点 的坐标,再代入曲线方程,计算作答. (2)令 为数列 的前n项和,利用 与 表示出点 的坐标,代入曲线方程即可得 与 的关系,再利用递推关系求出通项. (3)由(2)求出点 的横坐标,利用导数的几何意义求出 ,再利用裂项相消法求和即得. 【详解】(1)依题意, 为正三角形,且 ,观察图象得 ,而点 在曲线 上, 即 ,解得 , 为正三角形,且 ,点 在曲 线 上, ,整理得 ,解得 , 所以 , . (2)令 为数列 的前n项和, 是正三角形,点 , 学科网(北京)股份有限公司,于是点 在曲线 上, 则 ,即 ,当 时, , 两式相减得: ,整理得 , 则 ,而 满足上式,因此 , , 即数列 是首项为 ,公差 的等差数列, , 所以数列 的通项公式是 . (3)由(2)知,当 时, , 则点 的横坐标 ,显然 满足上式,因此 , 由 求导得, ,于是 , 当 时, , 所以 . 【点睛】易错点睛:裂项法求和时,要注意正负项相消时消去了哪些项,保留了哪些项,切不可漏 写未被消去的项,未被消去的项有前后对称的特点,实质上造成正负相消是此法的根源与目的. 数列新定义(共7题) 一、多选题 1.(23-24高二上·江苏南京·期末)设等比数列 的公比为 ,前 项积为 ,且满足条件 , 则下列选项正确的是( ) A. 学科网(北京)股份有限公司B. C. 的值是 中最大的 D.使 成立的最大自然数 等于4044 【答案】AD 【分析】先由条件分类讨论得到 , ,再利用等比数列的性质即可求解. 【详解】 , , , 同号,且 或 , 若 ,则 不同号; 若 ,则 ,不满足要求; 故可得 , ,故A正确; ,且 ,可得 ,故B错; ,又 , 且 最大,故C错; , 且 为等比数列, 由等比数列的性质可得 , , 使 成立的最大自然数 等于4044,故D正确. 故选:AD. 【点睛】关键点点睛:本题解决的关键在于推得 ,进而得到 ,从而得解. 二、填空题 2.(23-24高二上·山东菏泽·期末)如果数列 满足以下两个条件,称该数列为“闭数列”. 学科网(北京)股份有限公司(1)已知数列 各项均为正数,且单调递增; (2)数列 的前 项组成的集合记为 ,对于任意 ,如果 、 , 则 . 已知数列 为“闭数列”,且 ,则 . 【答案】 【分析】利用“闭数列”的定义结合累加法可求出 的值,再次利用“闭数列”的定义结合累加 法可求出 的值. 【详解】因为数列 为“闭数列”,且 , 由题意得 , , , …… , , 等式两边叠加 , 即 ,所以, , 同理可得 , , , …… , , 等式两边叠加得 , 即 ,所以, . 故答案为: . 学科网(北京)股份有限公司【点睛】关键点点睛:本题的核心是利用“闭数列”的新定义,充分利用累加法,转化为关系与某 些特殊项的方程进行求解. 3.(23-24高二上·北京顺义·期末)在数列 中,若 ,( , ,p为常数), 则称 为“等方差数列”,给出以下四个结论:① 不是等方差数列;②若 是等方差数 列,则 ( ,k为常数)是等差数列;③若 是等方差数列,则 ( , k、l为常数)也是等方差数列;④若 既是等方差数列,又是等差数列,则该数列也一定是等比 数列.其中所有正确结论的序号是 . 【答案】②③ 【分析】根据等方差数列定义可判断①③;根据等方差数列定义结合等差数列的定义判断③④. 【详解】对于①, 时, 为常数, 故 是等方差数列,①错误; 对于②,若 是等方差数列,即有 ,( , ,p为常数) 则 为常数, 故 ( ,k为常数)是等差数列,②正确; 对于③,若 是等方差数列,即有 ,( , ,p为常数), 则 , 故 为常数, 则 ( ,k、l为常数)也是等方差数列,③正确; 对于④,若 既是等方差数列,又是等差数列, 则 时, ,且 (d为常数), 学科网(北京)股份有限公司则 , 当 时,则 为常数列,满足 是等方差数列, 若 ,则 不为等比数列,④错误; 故答案为:②③ 【点睛】关键点睛:解答本题的关键在于理解等方差数列的定义,明确其含义,并由此结合等差数 列以及等比数列的定义求解即可. 三、解答题 4.(23-24高二上·山东青岛·期末)在通信技术中由 和 组成的序列有着重要作用,序列中数的个 数称为这个 序列的长度 如 是一个长度为 的 序列 长为 的 序列中任何 两个 不相邻的序列个数设为 ,长度为 的 序列为: , ,都满足数列 , 长度为 且满足数列 的 序列为: , , , . (1)求 , (2)求数列 中 , , 的递推关系 (3)记 是数列 的前 项和,证明: 为定值. 【答案】(1) , (2) (3)证明见解析 【分析】(1)根据已知得到 ,然后分类讨论最后一个数求解即可; (2)考虑长度为 的 序列最后一个数,观察即可求得递推关系; (3)根据前两问求得 ,证明数列 是常数列即可. 学科网(北京)股份有限公司【详解】(1)由题意知,长为3的 序列中任何两个 不相邻的序列为: ,所 以 . 设长为 的 序列中任何两个 不相邻的序列有 个,考虑最后一个数: 若最后一位是 ,则只要前 位任何两个 不相邻,则满足要求的序列有 个; 若最后一位是 ,则倒数第二位是 ,只要前 位任何两个 不相邻即可,满足要求的序列有 个, 所以 ; (2)考虑长度为 的 序列最后一个数: 若最后一位是 ,则只要前 位任何两个 不相邻,则满足要求的序列有 个; 若最后一位是 ,则倒数第二位是 ,只要前 位任何两个 不相邻即可,则满足要求的序列有 个, 所以 ; (3)由(2)知, ,所以 , 所以 , 所以数列 是常数列, 所以 为定值. 【点睛】方法点睛:在理解相关新概念、新法则(公式)之后,运用学过的知识,结合已掌握的技能, 通过推理、运算等解决问题.在新环境下研究“旧”性质.主要是将新性质应用在“旧”性质上,创 造性地证明更新的性质,落脚点仍然是数列求通项或求和. 5.(23-24高二上·北京海淀·期末)已知整数 ,数列 是递增的整数数列,即 且 定义数列 的“相邻数列”为 ,其中 或 学科网(北京)股份有限公司(1)已知 ,数列 ,写出 的所有“相邻数列”; (2)已知 ,数列 是递增的整数数列, ,且 的所有“相邻数列” 均为递增数列,求这样的数列 的个数; (3)已知 ,数列 是递增的整数数列, ,且存在 的一个“相邻数 列” ,对任意的 ,求 的最小值. 【答案】(1) ; ; ; . (2)11个 (3)37 【分析】(1)根据相邻数列的概念直接求解即可; (2)任取 的一个“相邻数列” ,根据相邻数列的概念可得 且 ,对于 的取值分情况讨论,利用 为递增数列可得 是公差为1的等差数列,列 不等式组求解即可; (3)令 可得对任意 ,设 ,证明 与 要么是空集,要么是连续自 然数构成的集合,进而根据定义求解即可. 【详解】(1)根据“相邻数列”的概念可知 , , 或 , 或 , 所以 的所有“相邻数列”有 ; ; ; . (2)任取 的一个“相邻数列” , 因为 或 , 学科网(北京)股份有限公司或 , 所以有 且 , 对于 的取值分以下4种情形: (a) , (b) , (c) , (d) 由数列 是递增的整数数列,前3种情形显然都能得到 ,所以只需考虑第4种情形, 递增, , 即 , 由 是递增的整数数列得 ,从而 是公差为1的等差数列, 于是 ,则 ,即满足数列 的有11个. (3)令 ,所以对任意 , 设 ,则 且 , 先证明 与 要么是空集,要么是连续自然数构成的集合, 若 ,令 ,则 ,由 得 , 所以 ,即 ,即 是空集,或是连续自然数构成的集合. 若 ,令 ,则 ,由 得 , 学科网(北京)股份有限公司所以 ,即 ,即 是空集,或是连续自然数构成的集合, 因此 , 的分布只可能是如下三种情况: (i) ,此时,对任意的 ,由 得 , 所以对任意的 ,注意到 ,所以 , 等号当且仅当 时取到; (ii)存在整数 ,使得 对任意的 ,对任意的 ,所以 (iii) .此时,对任意的 ,与情形1类似, 对任意的 ,注意到 , 所以 , 综上, 的最小值为 . 【点睛】思路点睛:根据“相邻数列”的定义,按照 或 分类讨论不同情形, 结合数列 的定义求解即可. 6.(23-24高二上·北京顺义·期末)设数列 的前n项和为 .若对任意 .总存在 .使 得 .则称 是“M数列”. (1)判断数列 ( )是不是“M数列”,并说明理由; 学科网(北京)股份有限公司(2)设 是等差数列,其首项 .公差 .且 是“M数列” ①求d的值和数列 的通项公式: ②设 ,直接写出数列 中最小的项. 【答案】(1)不是,理由见解析 (2)① , ;② 【分析】(1)直接由“M数列”的定义进行判断即可. (2)①由题意关于 的方程 即 恒有正整数解,结合 数论知识即可求解出 ;②由题意得 ,故当当 时或当 时, 取 最小值. 【详解】(1)数列 不是“M数列”,理由如下: ∵ ,当 时, ,此时找不到 ,使得 . 所以数列 不是“M数列”. (2)① 是等差数列,且首项 ,公差 , 则 , 故对任意 ,总存在 ,使得 成立, 则 ,其中 为非负整数, 要使 ,需要 恒为整数,即d为所有非负整数的公约数, 又 ,所以 ,所以 . 学科网(北京)股份有限公司②∵ ,所以 . 由 的单调性知在 为减函数,在 为增函数, 当 时, ;当 时, . 所以,当 时, 有最小值 .即数列 中最小的项为 . 【点睛】关键点睛:第二问的关键是得到关于 的方程 恒有正整数解,由此得 出 ,从而顺利得解. 7.(23-24高二上·广西玉林·期末)定义:若无穷数列 满足 是公比为 的等比数列, 则称数列 为“ 数列”.设数列 中, . (1)若 ,且数列 为“ 数列”,求数列 的通项公式; (2)若数列 是“ 数列”,是否存在正整数 ,使得 ,若存在,请求出所 有满足条件的正整数 ;若不存在,请说明理由. 【答案】(1) (2)存在, 【分析】(1)根据 且数列 为“ 数列”可知, ,即 , 判断数列 为等差数列,从而求得通项公式; (2)结合题中定义可求得 ,不等式化为 ,利用 学科网(北京)股份有限公司得 ,利用 得 ,从而解得不等式 组即可. 【详解】(1)因为 ,且数列 为“ 数列”, 所以 , 即 ,所以 是以首项为 ,公差 的等差数列, 所以 ; (2)由数列 是“ (2)数列”, 得 ,所以 , 即 , , 所以 ,所以 时, , 当 时上式也成立,故 . 假设存在正整数 ,使得 , 则 , 由 , 可知 ,所以 , 又因为 为正整数,所以 , 又 , 学科网(北京)股份有限公司所以 . , , . 故存在满足条件的正整数 ,且 . 【点睛】“新定义”主要是指即时定义新概念、新公式、新定理、新法则、新运算五种,然后根据 此新定义去解决问题,有时还需要用类比的方法去理解新的定义,这样有助于对新定义的透彻理解. 但是,透过现象看本质,它们考查的还是基础数学知识,所以说“新题”不一定是“难题”,掌握 好三基,以不变应万变才是制胜法宝. 数列不等式(共7题) 一、填空题 1.(23-24高二上·吉林·期末)已知 为等差数列 的前n项和, 为其公差,且 , 给出以下命题: ① ;② ;③使得 取得最大值时的n为8;④满足 成立的最大n值为17 其中正确命题的序号为 . 【答案】①③ 【分析】由 及等差数列前n项和的函数性质判断①③;应用等差数列前n项和公式可得 ,并令 得 ,即可判断②④. 【详解】由 ,即 存在最大值 ,故 ,①③对; 则 ,即 , 学科网(北京)股份有限公司可得 ,故 ,且 ,②错; 令 ,则 且 ,即 ,而 , 所以 ,故 ,即满足 成立的最大n值为15,④错. 故答案为:①③ 2.(23-24高二上·山东青岛·期末)已知数列 的通项公式 ,记 为 在区间 内项的个数,则 ;使得不等式 成立的 的最 小值为 . 【答案】 12 【分析】根据题意可得 ,对 分奇偶数讨论计算 的值;由题设得不等式 ,再按 为奇数和偶数,求出 的最小值. 【详解】依题意,令 ,得 , 当 为奇数时, 可以被 整除,于是 , 当 为偶数时, 不能被 整除,则 , 所以 ; 当 为奇数时, 为偶数, , 即 ,而 ,则 ,即 ,又 为奇数,则 的最小值为 , 当 为偶数时, 为奇数, , 而 ,则 ,即 ,因此 的最小值为 , 所以 的最小值为 . 故答案为: ; 【点睛】关键点点睛:由条件建立不等式,再按 是奇数、偶数分类求解是解决本题的关键. 学科网(北京)股份有限公司3.(23-24高二上·海南·期末)在数列 中, .若对任意的 ,不等式 恒成立,则实数 【答案】 【分析】利用等比数列求和公式得 ,再对 分奇偶数讨论即可. 【详解】若 ,可得 , 且 符合上式,所以 , 则 , , , 即 的所有偶数项都小于 ,所有奇数项都大于 , 故 对任意的 恒成立. 故答案为: . 【点睛】关键点睛:本题的关键是利用累加法和等比数列求和公式得 ,最后对 分奇偶数讨论即可. 二、解答题 4.(22-23高二上·江苏盐城·期末)已知数列 满足 ,且 . 学科网(北京)股份有限公司(1)求数列 的通项公式; (2)设 ,且数列 的前n项和为 ,若 恒成立,求实数 的取值范围. 【答案】(1) (2) 【分析】(1)写出当 时的等式,再与原式两式相除求解即可; (2)由(1) ,再根据错位相减求解可得 ,再化简不等式可得 ,再设 ,根据作差法判断 的单调性,进而可得最大值. 【详解】(1) , 当 时, , 两式相除得; , 又 符合上式,故 ; (2) , , , 错位相减得: , , 即 ,由 ,得 , 学科网(北京)股份有限公司设 ,则 , 故 , 由 , 由 可知, 随着 的增大而减小, 故 , 故 恒成立,知 单调递减, 故 的最大值为 ,则 5.(23-24高二上·浙江绍兴·期末)物理学家牛顿用“作切线”的方法求函数零点时,给出了“牛 顿数列”,它在航空航天中应用非常广泛.其定义是:对于函数 ,若满足 ,则称数列 为牛顿数列.已知 ,如图,在横坐标为 的点处作 的切线,切线与x轴交点的横坐标为 ,用 代替 重复上述过程得到 ,一直下 去,得到数列 . (1)求数列 的通项公式; (2)若数列 的前n项和为 ,且对任意的 ,满足 ,求整数 的最小值. (参考数据: , , , ) 学科网(北京)股份有限公司【答案】(1) (2) 【分析】(1)首先根据导数的几何意义求切线方程,并令 ,得到数列 的递推公式,即可 求解; (2)法一,由(1)可知, ,利用错位相减法求数列 的前 项和 ,代入 不等式,参变分离为 ,转化为作差判断数列 的单调性,再求数 列的最大值,即可求解; 法二,利用裂项相消法求数列 的前 项和 ,代入不等式,参变分离为 ,转 化为作商判断数列 的单调性,再求数列的最大值,即可求解. 【详解】(1) , 在点 处的切线方程为: 令 ,得 , 所以 是首项为1,公比为 的等比数列, 故 (2)令 法一:错位相减法 学科网(北京)股份有限公司, , 两式相减得: 化简得: 故 , 化简得 令 , 则 , 当 时, ,即 , 当 时, ,即 , 所以 从而整数 ; 法二:裂项相消法 由 , 学科网(北京)股份有限公司设 且 , 则 , 于是 ,得 , 即 所以 故 ,化简得 令 , 则 时, , 当当 时, ,即 , 当 时, ,即 , 所以 从而整数 【点睛】关键点点睛:本题的关键是第一问理解题意,理解 与 的关系,从而求出数列 的 通项公式,后面的问题迎刃而解. 学科网(北京)股份有限公司6.(23-24高二下·贵州黔南·期末)对于 ,若数列 满足 ,则称这个数列为 “K数列”. (1)已知数列1,2m, 是“K数列”,求实数m的取值范围. (2)是否存在首项为 的等差数列 为“K数列”,且其前n项和 使得 恒成立?若 存在,求出数列 的通项公式;若不存在,请说明理由. (3)已知各项均为正整数的等比数列 是“K数列”,数列 不是“K数列”,若 , 试判断数列 是否为“K数列”,并说明理由. 【答案】(1) (2)不存在,理由见解析 (3)答案见解析 【分析】(1)根据题意得到 ,且 ,,再解不等式组即可; (2)首先假设存在等差数列 符合要求,从而得到 成立,再分类讨论 和 的情况,即可得到答案. (3)首先设数列 的公比为q,则 ,根据题意得到 , 从而得到 为最小项,同理得到 为最小项,再利用“ 数列”的定义得到 , 或 , ,再分类讨论即可得到答案. 【详解】(1)由题意得 ,且 ,解得 ,所以实数m的取值范围是 . 学科网(北京)股份有限公司(2)不存在.理由:假设存在等差数列 符合要求,设公差为d,则 , 由 得 . 由题意,得 对 均成立,即 . 当 时, ; 当 时, 恒成立, 因为 ,所以 ,与 矛盾, 所以这样的等差数列 不存在. (3)设数列 的公比为q,则 . 因为 的每一项均为正整数,且 , 所以在 中, 为最小项. 同理, 中, 为最小项. 由 为“K数列”,只需 ,即 . 又因为 不是“ 数列”,且 为最小项, 所以 ,即 . 由数列 的每一项均为正整数,可得 , 所以 或 . 当 时, ,则 . 令 ,则 , 学科网(北京)股份有限公司又 , 所以 为递增数列,即 , 因为 , 所以对于任意的 ,都有 ,即数列 为“K数列”. 当 时, ,则 . 因为 ,所以数列 不是“K数列”. 综上所述,当 时, ,数列 为“K数列”; 当 时, ,数列 不是“K数列”. 【点睛】关键点点睛:需要根据题中所给的“K数列”满足的条件,分析数列满足的关系式再进行 列式分析,属于难题. 7.(22-23高二上·北京·期末)设满足以下两个条件的有穷数列 , ,…, 为 阶“Q 数列”: ① ;② . (1)分别写出一个单调递增的3阶和4阶“Q数列”; (2)若2018阶“Q数列”是递增的等差数列,求该数列的通项公式; (3)记n阶“Q数列”的前k项和为 ,求证 . 【答案】(1)三阶“ 数列”: , , ;四阶“ 数列”: , , , (2) (3)证明见解析 【分析】(1)借助新定义利用等差数列,写出一个单调递增的3阶和4阶“ 数列”; 学科网(北京)股份有限公司(2)利用某 阶“ 数列”是等差数列,根据已知条件分别求出首项和公差即可; (3)判断k=n时, ,然后证明k<n时,利用数列求和以及绝对值三角不等式证明即可. 【详解】(1)不妨设其数列为等差数列,因为 阶“ 数列”单调递增, 则由 , 可知: ,且 , 解得: ,所以 ,故 , 解得: ,故三阶“ 数列”: , , ; 同理,不妨设4阶“ 数列”为等差数列,公差为 , 因为4阶“ 数列”单调递增, 由 可知: , 即 , ,所以 ,且 , 因为 ,所以 , 即 ,解得: , 将 代入 中,解得:, 可得四阶“ 数列”: , , , . (2)设等差数列 , , , , 公差为 , , ∵ ,∴ , ∴ ,则 , ,根据已知条件得: ①, ②, 学科网(北京)股份有限公司两式相减得: ,即 , 根据 ,得 ,, . (3)当 时,显然 成立; 当 时,根据条件①得 , 即 , ∴ , ∴ . 【点睛】关键点点睛:定义新数列,要将不熟悉的问题进行转化,转化为我们熟悉的问题,本题中将“ 数列”转化为等差数列,利用等差数列的性质进行求解较为简单,第三问的难点是利用绝对值三角 不等式进行证明. 学科网(北京)股份有限公司