当前位置:首页>文档>福建省三明市2025年普通高中高三毕业班质量检测数学答案_2025年5月_250510福建省三明市2025年普通高中高三毕业班质量检测(全科)

福建省三明市2025年普通高中高三毕业班质量检测数学答案_2025年5月_250510福建省三明市2025年普通高中高三毕业班质量检测(全科)

  • 2026-04-09 22:23:43 2026-02-11 19:28:22

文档预览

福建省三明市2025年普通高中高三毕业班质量检测数学答案_2025年5月_250510福建省三明市2025年普通高中高三毕业班质量检测(全科)
福建省三明市2025年普通高中高三毕业班质量检测数学答案_2025年5月_250510福建省三明市2025年普通高中高三毕业班质量检测(全科)
福建省三明市2025年普通高中高三毕业班质量检测数学答案_2025年5月_250510福建省三明市2025年普通高中高三毕业班质量检测(全科)
福建省三明市2025年普通高中高三毕业班质量检测数学答案_2025年5月_250510福建省三明市2025年普通高中高三毕业班质量检测(全科)
福建省三明市2025年普通高中高三毕业班质量检测数学答案_2025年5月_250510福建省三明市2025年普通高中高三毕业班质量检测(全科)
福建省三明市2025年普通高中高三毕业班质量检测数学答案_2025年5月_250510福建省三明市2025年普通高中高三毕业班质量检测(全科)
福建省三明市2025年普通高中高三毕业班质量检测数学答案_2025年5月_250510福建省三明市2025年普通高中高三毕业班质量检测(全科)
福建省三明市2025年普通高中高三毕业班质量检测数学答案_2025年5月_250510福建省三明市2025年普通高中高三毕业班质量检测(全科)
福建省三明市2025年普通高中高三毕业班质量检测数学答案_2025年5月_250510福建省三明市2025年普通高中高三毕业班质量检测(全科)
福建省三明市2025年普通高中高三毕业班质量检测数学答案_2025年5月_250510福建省三明市2025年普通高中高三毕业班质量检测(全科)
福建省三明市2025年普通高中高三毕业班质量检测数学答案_2025年5月_250510福建省三明市2025年普通高中高三毕业班质量检测(全科)

文档信息

文档格式
pdf
文档大小
0.224 MB
文档页数
7 页
上传时间
2026-02-11 19:28:22

文档内容

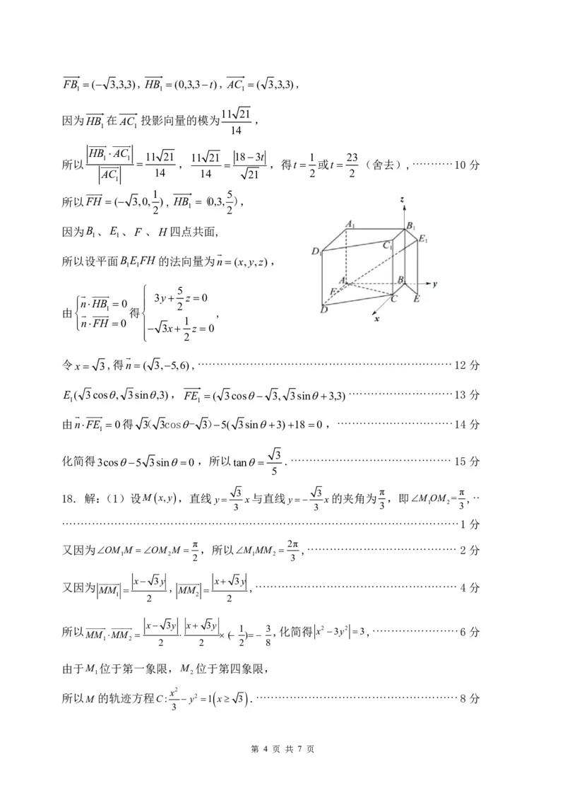
三明市 2025 年普通高中高三毕业班质量检测 数学参考答案及评分细则 评分说明: 1.本解答给出了一种或几种解法供参考,如果考生的解法与本解答不同,可根据试题的主要考查 内容比照评分标准制定相应的评分细则. 2.对计算题,当考生的解答在某一步出现错误时,如果后继部分的解答未改变该题的内容和难度, 可视影响的程度决定后继部分的给分,但不得超过该部分正确解答应给分数的一半;如果后继部分的 解答有较严重的错误,就不再给分. 3.解答右端所注分数,表示考生正确做到这一步应得的累加分数. 4.只给整数分数.选择题和填空题不给中间分. 一、选择题:本大题考查基础知识和基本运算.每小题5分,满分40分. 1.C 2.D 3.B 4.A 5.B 6.A 7.A 8.D 二、选择题:本大题考查基础知识和基本运算.每小题6分,满分18分.全部选对的得6 分,部分选对的得部分分,有选错的得0分. 9.AC 10.ACD 11.BCD 三、填空题:本大题考查基础知识和基本运算.每小题5分,满分15分. 3  1 12.5 13. 14. 0,  3  4 四、解答题:本大题共5小题,共77分.解答应写出文字说明、证明过程或演算步骤. 5 2 15.(1)证明:因为2na  ( )n 2n1a , n1 3 3 n 5 所以a 2a  ,············································································1分 n1 n 3n1 1 6 1 a  2a  (2 a  ),·························································· 3分 n1 3n1 n 3n1 n 3n 1 1 1 因为a  ,所以a  0,a  0,······················································4分 1 3 1 3 n 3 1 a  n1 3n1 所以 2··················································································5分 1 a  n 3n 1 1 所以数列{a  }为等比数列是首项为a  ,公比为2的等比数列.···············6分 n 3n 1 3 1 (2)由(1)可得数列{a  }为首项为2,公比为2的等比数列, n 3n 1 1 所以a  2n,即a  2n  ································································7分 n 3n n 3n 1 1 ( )n1 所以S  22n1  3 3  2n1  1 ( 1 )n  3 ,(注:S  2n1  3 ( 1 )n1  3 应得分) n 12 1 2 3 2 n 2 3 2 1 3 ··········································································································9分 因为数列{S }为单调递增数列,······························································10分 n 第 1 页 共 7 页 {#{QQABBQYswggwwhSACB5KQ0GyCgsQkIGiJYoEgRAUOAxigJNIBKA=}#}1 1 3 当n 9时,S  210  ( )9  1024  2025, 9 2 3 2 1 1 3 当n 10时,S 211 ( )10  2025,··············································12分 10 2 3 2 所以,使不等式S 2025成立的n的最小值为10.······································13分 n 16.解:(1)设A“一次回答问题,AI软件答对问题”, B“选出语文问题让AI回答”,(注:若设事件合理则得分)························1分 2 3 依题意,P(B) ,P(B) ,·····································································2分 5 5 3 1 P(A|B) ,P(A|B) ,·······································································3分 4 2 2 3 3 1 3 所以P(A) P(B)P(A|B)P(B)P(A|B)     ,······························5分 5 4 5 2 5 3 依题意,X 的所有可能取值为0,1,2,3,4,X ~ B(4, ),·····················7分 5 3 12 所以E(X)4  .··········································································· 8分 5 5 (2)设C “共回答5道题后停止,其中最后2道题AI软件均答对”, D “共回答5道题后停止,其中最后3道题AI软件均答错”,······················9分 那么P(Y 5) P(C)P(D),·································································10分 3 2 216 所以P(C)C1( )3 ( )2  ,·······················································12分 2 5 5 3125 3 2 48 所以P(D) ( )4  ,·································································14分 5 5 3125 264 所以P(Y 5) .············································································15分 3125 17.(15分)证明:(1)ABC中,AC 2 3,AB 3,CB  3 ,  由余弦定理得ACB  ,······································································1分 3  又因为直线AD 与直线AC 所成角为 ,AD// AD , 1 1 3 1 1 所以DAC为直线AD 与直线AC 所成角或其补角, 1 1   又因为CD  AD,所以DAC(0, ),则DAC  ,·································· 3分 2 3 所以BC//FA ,又BC//BC ,所以FA //BC ,·················································4分 1 1 1 1 又BC 平面E FA ,FA 平面E FA,所以BC //平面E FA .····························6分 1 1 1 1 1 1 1 第 2 页 共 7 页 {#{QQABBQYswggwwhSACB5KQ0GyCgsQkIGiJYoEgRAUOAxigJNIBKA=}#}π π (2)(法一)因为AC 2 3,AB 3,CB  3 , 由勾股定理得ABC  ,且DAB  , 2 2 ··········································································································7分 因为ABCD ABC D 为直四棱柱,故以A为原点,AD,AB,AA 所在直线分别为x轴、y轴、 1 1 1 1 1 z轴,建立如图所示的空间直角坐标系, 则A(0,0,0),B (0,3,3),F( 3,0,0),H(0,0,t),t[0,3].·····································8分 1 11 21 HB (0,3,3t),AC ( 3,3,3),因为HB 在AC 投影向量的模为 , 1 1 1 1 14   HB 1 AC 1 11 21 183t 11 21 1 23 所以   即  ,得t  或t  (舍去),············ 10分 AC 14 21 14 2 2 1  1 5 所以FH ( 3,0, ),HB (0,3, ), 2 1 2 因为B 、E 、F 、H 四点共面, 1 1  所以设平面BE FH 的法向量为n(x,y,z), 1 1  1    3x z 0  nHB 0   2 由  1 得 , nFH 0  3y 5 z 0  2  令x 3,得n( 3,5,6),···································································12分 E ( 3cos,3 3sin,3),FE ( 3cos 3,3 3sin,3),······················13分 1 1   由nFE 0得 (3 3cos- 3)5(3 3sin)180 ,·······························14分 1 3 化简得3cos5 3sin0,所以tan .··········································· 15分 5 π π (法二)因为AC 2 3,AB 3,CB  3 , 由勾股定理得ABC  ,且DAB  , 2 2 ··········································································································7分 因为ABCD ABC D 为直四棱柱,故以B为原点,BC,AB,BB 所在直线分别为x轴、y轴、 1 1 1 1 1 z轴,建立如图所示的空间直角坐标系,则A(0,3,0),B (0,0,3),F( 3,3,0), 1 H(0,3,t),t[0,3].················································································8分 第 3 页 共 7 页 {#{QQABBQYswggwwhSACB5KQ0GyCgsQkIGiJYoEgRAUOAxigJNIBKA=}#}FB ( 3,3,3),HB (0,3,3t),AC ( 3,3,3), 1 1 1 11 21 因为HB 在AC 投影向量的模为 , 1 1 14   HB 1 AC 1 11 21 11 21 183t 1 23 所以   ,  ,得t  或t  (舍去),···········10分 AC 14 14 21 2 2 1  1 5 所以FH ( 3,0, ),HB  (0,3, ), 2 1 2 因为B 、E 、F 、H 四点共面, 1 1  所以设平面BE FH 的法向量为n(x,y,z), 1 1  5   3y z 0  nHB 0   2 由  1 得 , nFH 0   3x 1 z 0  2  令x 3,得n( 3,5,6),····································································12分 E ( 3cos, 3sin,3),FE ( 3cos 3, 3sin3,3)····························13分 1 1   由nFE 0得 (3 3cos- 3)5( 3sin3)180 ,·······························14分 1 3 化简得3cos5 3sin0,所以tan .··········································· 15分 5 18. 解:(1)设Mx,y,直线 y 3 x 与直线 y 3 x 的夹角为 π ,即M OM = π ,·· 3 3 3 1 2 3 ··········································································································1分 π 2π 又因为OM M OM M  ,所以M MM  ,········································ 2分 1 2 2 1 2 3  x 3y  x 3y 又因为 , ,······················································4分 MM  MM  1 2 2 2 所以   x 3y x 3y 1 3,化简得 x23y2 3,·······················6分 MM MM    ( ) 1 2 2 2 2 8 由于M 位于第一象限,M 位于第四象限, 1 2 所以M 的轨迹方程C: x2 y2 1  x 3 .······················································8分 3 第 4 页 共 7 页 {#{QQABBQYswggwwhSACB5KQ0GyCgsQkIGiJYoEgRAUOAxigJNIBKA=}#}(2)由题可知直线斜率不为0,故设直线BD方程为xmy2(m0),············9分 B(x ,y ),D(x ,y ),A(x ,y ),G(x ,0), 1 1 2 2 2 2 0 xmy2  联立直线BD与曲线C,可得x2 且m0,   y2 1  3 化简得(m2 3)y2 4my10, 4m 1 m2 30, 0,y  y  ,y y  0,·······························11分 1 2 m2 3 1 2 m2 3 y  y 设直线AB方程为y  1 2 (xx ) y , x x 1 1 1 2  y (x x ) my (y  y ) 令y 0,得x  1 1 2 x  1 1 2 my 2,··························12分 0 y  y 1 y  y 1 1 2 1 2 2my y 3 所以x  1 2 2 ,······································································13分 0 y  y 2 1 2 1 1 1 1 3(m2 1) 所以 S  GH  y  y   | y  y |  ,························14分 BGD 2 1 2 2 2 1 2 2 3m2 3 4t 3 2 1 3 令t 3m2(0,3),(S )2    (  )2  ,····························15分 BGD 4 t2 4 t 4 64 2 2 1 3 所以 ( ,),(S )2  ,S  , t 3 BGD 12 BGD 6 3 综上,BGD面积的取值范围为( ,).·············································· 17分 6 19.解:(1)令 f xx24 x ,其中xR,则 f xx2 4 x  x2 4 x  f x, 所以,函数 f xx24 x 为偶函数,··························································2分 函数 f(x)x24 x 的一条2阶临界直线方程为y4.····································· 3分 1 (2)若 f(x)exlnx, f(x)e(x lnx ),··············································· 4分 x 1 2 1 令g(x)ex(lnx ),g(x)ex(lnx  ),············································ 5分 x x x2 2 1 x2 2x2 令h(x)lnx  ,h(x) 0,··············································6分 x x2 x3 第 5 页 共 7 页 {#{QQABBQYswggwwhSACB5KQ0GyCgsQkIGiJYoEgRAUOAxigJNIBKA=}#}所以x[1,)时g(x)单调递增, 所以g(x)  g(1)e0,x[1,)时, f(x)单调递增,···························7分 min 所以不存在x ,x [1,),使得 f(x ) f(x ), 1 2 1 2 综上可知函数y f x不存在2阶临界直线.·················································8分 (3)当x[0,1),f(x)2(x2sinx),令g(x) x2sinx,g(x)12cosx12cos10, 所以 f(x)在x[0,1)单调递减, 因为 f(0)0, f(1)24sin1,所以x[0,1), f(x)(24sin1,0],··················9分 2 因为4cos134 30, 2      4cos13(24sin1)4(sin1cos1)54 2sin( 1)5, 1( ,  ), 4 4 2 4 3  2 所以4 2sin( 1)54 2 (1 3)50, 4 4 则存在x [0,1),使 f(x )4cos13,····················································11分 0 0 当x[n,n1),nN*, f(x) f(x1)4cos13,所以 f(x) f(x1), 所以 f(x ) f(x 1) f(x n),················································12分 0 0 0 因为函数 f(x)在(x , f(x ))处的切线方程为y  f(x )(xx ) f(x ), 0 0 0 0 0 函数 f(x)在(x n, f(x n))处的切线方程y  f(x n)(xx n) f(x n), 0 0 0 0 0 又因为 f(x n) f(x )(4cos13)n,······················································13分 0 0 所以 f(x n)(xx n) f(x n) f(x )(xx )nf(x ) f(x n) 0 0 0 0 0 0 0  f(x )(xx )(4cos13)n f(x )(4cos13)n  f(x )(xx ) f(x ), 0 0 0 0 0 0 所以 f(x n)(xx n) f(x n) f(x )(xx ) f(x ),··························15分 0 0 0 0 0 0 所以直线y  f(x n)(xx n) f(x n)与直线y  f(x )(xx ) f(x )重合, 0 0 0 0 0 0 则x ,x ,,x ,为方程 f(x) f(x )(xx ) f(x )的解, 1 2 n 0 0 0 第 6 页 共 7 页 {#{QQABBQYswggwwhSACB5KQ0GyCgsQkIGiJYoEgRAUOAxigJNIBKA=}#}且k  f(x ) f(x 1) f(x n),··············································16分 0 0 0 又因为n可趋近于无穷大,所以存在直线y  f(x )(xx ) f(x )为函数y f x的无限阶 0 0 0 临界直线.···························································································17分 第 7 页 共 7 页 {#{QQABBQYswggwwhSACB5KQ0GyCgsQkIGiJYoEgRAUOAxigJNIBKA=}#}