当前位置:首页>文档>化学-2024届新高三开学摸底考试卷(全国通用,旧教材)(答案及评分标准)_2024届新高三开学摸底考试卷_化学-2024届新高三开学摸底考试卷

化学-2024届新高三开学摸底考试卷(全国通用,旧教材)(答案及评分标准)_2024届新高三开学摸底考试卷_化学-2024届新高三开学摸底考试卷

  • 2026-03-20 22:13:44 2026-02-12 12:17:17

文档预览

化学-2024届新高三开学摸底考试卷(全国通用,旧教材)(答案及评分标准)_2024届新高三开学摸底考试卷_化学-2024届新高三开学摸底考试卷
化学-2024届新高三开学摸底考试卷(全国通用,旧教材)(答案及评分标准)_2024届新高三开学摸底考试卷_化学-2024届新高三开学摸底考试卷
化学-2024届新高三开学摸底考试卷(全国通用,旧教材)(答案及评分标准)_2024届新高三开学摸底考试卷_化学-2024届新高三开学摸底考试卷
化学-2024届新高三开学摸底考试卷(全国通用,旧教材)(答案及评分标准)_2024届新高三开学摸底考试卷_化学-2024届新高三开学摸底考试卷
化学-2024届新高三开学摸底考试卷(全国通用,旧教材)(答案及评分标准)_2024届新高三开学摸底考试卷_化学-2024届新高三开学摸底考试卷
化学-2024届新高三开学摸底考试卷(全国通用,旧教材)(答案及评分标准)_2024届新高三开学摸底考试卷_化学-2024届新高三开学摸底考试卷

文档信息

文档格式
docx
文档大小
0.224 MB
文档页数
3 页
上传时间
2026-02-12 12:17:17

文档内容

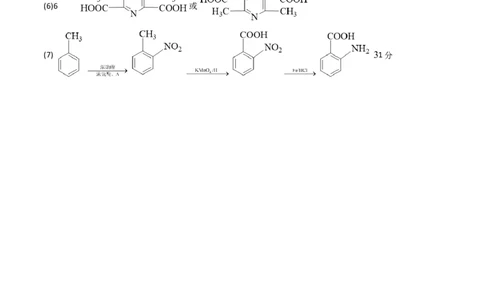
2024届新高三开学摸底考试卷(全国通用,旧教材) 化学·答案及评分标准 一、选择题:本题共15个小题,每小题3分,共45分。在每小题给出的四个选项中,只有一项是符合题 目要求的。 1-5.DABAB 6-10.CCACD 11-15.CADCB 二、非选择题:共55分。 16.(12分,每空2分) (1)粉碎矿石、充分搅拌、适当提高硫酸浓度等 MnO + 2H SO + 2FeSO =Fe (SO ) + MnSO + 2H O 2 2 4 4 2 4 3 4 2 (2)温度过低,硫的溶解度较小,温度过高,CS 沸点低大量气化 2 (3)pH>1.7之后,Fe3++3H O Fe(OH) +3H+的水解平衡正向移动,溶液中Fe3+浓度降低,所以萃取率下降 2 3 (4)Mn2++ +NH =MnCO ↓+ 3 3 (5)加热 17.(14分,除标注外,每空2分) (1)分液漏斗1分 防倒吸1分 (2)装置C中导管应该长进短出,导管短进长出错误1分 (3)③②①⑤④ (4)排净装置中空气1分 (5)做分散剂,使反应物充分混合,加快反应的速率 (6)PH +4NaClO=H PO +4NaCl 3 3 4 (7)最后一滴标准液加入后,溶液变为红色,且半分钟内不褪色 18.(14分,除标注外,每空2分) (1)CH 4 (2)0.03 (3)b (4) bd (5) a 1分 吸热 1分 随着温度升高,硫化氢会发生分解,导致硫化氢浓度减小,甲烷的平衡转化率 下降 19.(15分,除标注外,每空2分) 洪特规则 1分 > 1分 > 1分 腓分子间存在氢键,乙烯分子间无氢键 1分 V形1分 分子晶体1分 4 1分 20.(15分,除标注外,每空2分) 英语 答案及评分标准 第1页(共3页) 学学科科网网((北北京京))股股份份有有限限公公司司(1)3−甲基苯酚或间甲基苯酚 (2)酯基1分 (3)取代反应1分 (4)保护酚羟基,防止其被氧化 (5)HNO + H O+ 3 2 (6)6 或 (7) 31分 英语 答案及评分标准 第2页(共3页) 学学科科网网((北北京京))股股份份有有限限公公司司英语 答案及评分标准 第3页(共3页) 学学科科网网((北北京京))股股份份有有限限公公司司