当前位置:首页>文档>化学-2024届新高三开学摸底考试卷(江西、安徽、贵州、广西、黑龙江、吉林、甘肃七省通用)(答案及评分标准)_2024届新高三开学摸底考试卷_化学-2024届新高三开学摸底考试卷

化学-2024届新高三开学摸底考试卷(江西、安徽、贵州、广西、黑龙江、吉林、甘肃七省通用)(答案及评分标准)_2024届新高三开学摸底考试卷_化学-2024届新高三开学摸底考试卷

  • 2026-04-16 23:13:56 2026-02-12 12:28:06

文档预览

化学-2024届新高三开学摸底考试卷(江西、安徽、贵州、广西、黑龙江、吉林、甘肃七省通用)(答案及评分标准)_2024届新高三开学摸底考试卷_化学-2024届新高三开学摸底考试卷
化学-2024届新高三开学摸底考试卷(江西、安徽、贵州、广西、黑龙江、吉林、甘肃七省通用)(答案及评分标准)_2024届新高三开学摸底考试卷_化学-2024届新高三开学摸底考试卷
化学-2024届新高三开学摸底考试卷(江西、安徽、贵州、广西、黑龙江、吉林、甘肃七省通用)(答案及评分标准)_2024届新高三开学摸底考试卷_化学-2024届新高三开学摸底考试卷
化学-2024届新高三开学摸底考试卷(江西、安徽、贵州、广西、黑龙江、吉林、甘肃七省通用)(答案及评分标准)_2024届新高三开学摸底考试卷_化学-2024届新高三开学摸底考试卷
化学-2024届新高三开学摸底考试卷(江西、安徽、贵州、广西、黑龙江、吉林、甘肃七省通用)(答案及评分标准)_2024届新高三开学摸底考试卷_化学-2024届新高三开学摸底考试卷
化学-2024届新高三开学摸底考试卷(江西、安徽、贵州、广西、黑龙江、吉林、甘肃七省通用)(答案及评分标准)_2024届新高三开学摸底考试卷_化学-2024届新高三开学摸底考试卷

文档信息

文档格式
docx
文档大小
0.244 MB
文档页数
3 页
上传时间
2026-02-12 12:28:06

文档内容

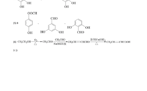
2024届新高三开学摸底考试卷03 (江西、安徽、贵州、广西、黑龙江、吉林、甘肃七省通用) 化学·答案及评分标准 一、选择题:本题共14个小题,每小题3分,共42分。在每小题给出的四个选项中,只有一项是符合题 目要求的。 1-5.CACBB 6-10.CDCDA 11-14.CCBD 二、非选择题:本题共4个小题,共58分。 15.(14分,每空2分) (1) Fe(OH) 3 (2)Zn2+、 发生双水解反应生成 和CO 气体 2 (3) (4)Na SO 2 4 (5) 4 16.(15分,除标注外,每空2分) (1)三颈烧瓶(或三口烧瓶) 1分 铜和无水硫酸铜的混合物 干燥 ,防止水蒸气与镁粉反应,干扰 与镁粉反应的含硫产物的检验 在导气管末端加装倒置漏 斗(或干燥管) (2)品红溶液不褪色 (3) 或 17.(14分,每空2分) (1)−49.5 (2) 210°C 2:1 随温度升高,反应速率加快,甲醇时空收率增大;继续升高温度,催化剂活性降低 (或者放热反应平衡逆向移动或有副反应发生等),使甲醇时空收率降低 (3)主反应是放热反应,副反应是吸热反应,升高温度,主反应平衡逆向移动,副反应平衡正向移动,且主 反应平衡移动程度占主要因素,因而使 CO 转化率、甲醇选择性均下降 0.061 2 18.(15分,除标注外,每空2分) (1) 对甲基苯酚 1分 取代反应1分 英语 答案及评分标准 第1页(共3页) 学学科科网网((北北京京))股股份份有有限限公公司司(2) (3)羟基、羧基 (4) (5) 8 、 、 (6) 3分 英语 答案及评分标准 第2页(共3页) 学学科科网网((北北京京))股股份份有有限限公公司司英语 答案及评分标准 第3页(共3页) 学学科科网网((北北京京))股股份份有有限限公公司司