当前位置:首页>文档>2024届西山区三模化学答案_2024年3月_013月合集_2024届云南省昆明市西山区高三下学期第三次教学质量检测_2024届云南省昆明市西山区高三下学期第三次教学质量检测理综

2024届西山区三模化学答案_2024年3月_013月合集_2024届云南省昆明市西山区高三下学期第三次教学质量检测_2024届云南省昆明市西山区高三下学期第三次教学质量检测理综

  • 2026-04-22 11:10:22 2026-02-14 03:01:13

文档预览

2024届西山区三模化学答案_2024年3月_013月合集_2024届云南省昆明市西山区高三下学期第三次教学质量检测_2024届云南省昆明市西山区高三下学期第三次教学质量检测理综
2024届西山区三模化学答案_2024年3月_013月合集_2024届云南省昆明市西山区高三下学期第三次教学质量检测_2024届云南省昆明市西山区高三下学期第三次教学质量检测理综
2024届西山区三模化学答案_2024年3月_013月合集_2024届云南省昆明市西山区高三下学期第三次教学质量检测_2024届云南省昆明市西山区高三下学期第三次教学质量检测理综
2024届西山区三模化学答案_2024年3月_013月合集_2024届云南省昆明市西山区高三下学期第三次教学质量检测_2024届云南省昆明市西山区高三下学期第三次教学质量检测理综

文档信息

文档格式
docx
文档大小
0.316 MB
文档页数
2 页
上传时间
2026-02-14 03:01:13

文档内容

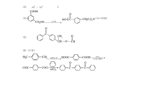
2024届西山区三模化学答案 7 8 9 10 11 12 13 B A D B D D C 27.(14分)(1)(高速)搅拌(1分) (2) Cu2+ (1分), (2分) , (2分) (3) (2分)浸取(1分) (4)PbSO,(1分) 4 (5)①将Fe3+还原为Fe2+,避免在Bi3+水解时,Fe3+同时水解,导致产物不纯(2分). ②过滤、洗涤、干燥(2分) 28. (14分,除特殊说明,每空2分) (1)VO2+在酸性条件易被氧化变质,盐酸过量会消耗步骤二中的NHHCO ,降低原料利用率 4 3 2VO+NH•2HCl+6HCl=4VOCl+N↑+6HO 2 5 2 4 2 2 2 (2) ①. 启普发生器(1分) ②. d→e→f→g→b→c③.装置B中澄清石灰水变浑 浊 (3)①.碱(1分) 当滴入最后半滴NaSO 标准液时,锥形瓶内溶液紫色褪去且半分钟 2 3 内不再改变 ②. AC(答对一个给1分) 29.(15分,除特殊说明,每空2分) (1) -615.0或-615 (2)反应速率太慢;该反应为放热反应,不利于反应向脱硫的方向进行(答对一空得1 分) (3) ①. 高温(1分) ②. 增大 (恒温恒压下,增加不参加反应的N 的体积分数,容器的体积增大,反应体系的气体压强 2 减小,该反应是气体体积增大的反应,减小压强,平衡向正反应方向移动,H 的物质的量 2 增大,但浓度减小) 不变 ③. (由表格数据可知,1000℃时,CS 的体积分数为0,说明容器中只发生反应Ⅰ,温度不变, 2 平衡常数不变,则相同分压的 HS经历相同的时间转化率相同,所以常压下,保持通入的 2 HS体积分数不变,提高投料比[V(HS):V(CH)],HS的转化率不变) 2 2 4 2 (4)4 (1个晶胞中,含有4个O离子,含Zn离子个数为 =4。晶胞结构显示,与O离子 学科网(北京)股份有限公司直接相连的Zn离子有4个,则氧离子的配位数为4)。设该晶胞的边长为anm,则 ρg∙cm-3= ,a= nm 30.(15分,除特殊说明,每空2分) 1.(1) 取代反应(1分) (2)羧基(1分) (3) sp3 、sp2 1 (4)n +(n−1)HO 2 (5) (6)(3分) 学科网(北京)股份有限公司