当前位置:首页>文档>资料分析练习题及解析_中储粮笔试通关资料_7.模块专项练习题库_资料分析模块

资料分析练习题及解析_中储粮笔试通关资料_7.模块专项练习题库_资料分析模块

  • 2026-04-01 01:44:03 2026-02-14 05:35:26

文档预览

资料分析练习题及解析_中储粮笔试通关资料_7.模块专项练习题库_资料分析模块
资料分析练习题及解析_中储粮笔试通关资料_7.模块专项练习题库_资料分析模块
资料分析练习题及解析_中储粮笔试通关资料_7.模块专项练习题库_资料分析模块
资料分析练习题及解析_中储粮笔试通关资料_7.模块专项练习题库_资料分析模块
资料分析练习题及解析_中储粮笔试通关资料_7.模块专项练习题库_资料分析模块
资料分析练习题及解析_中储粮笔试通关资料_7.模块专项练习题库_资料分析模块
资料分析练习题及解析_中储粮笔试通关资料_7.模块专项练习题库_资料分析模块
资料分析练习题及解析_中储粮笔试通关资料_7.模块专项练习题库_资料分析模块
资料分析练习题及解析_中储粮笔试通关资料_7.模块专项练习题库_资料分析模块
资料分析练习题及解析_中储粮笔试通关资料_7.模块专项练习题库_资料分析模块
资料分析练习题及解析_中储粮笔试通关资料_7.模块专项练习题库_资料分析模块
资料分析练习题及解析_中储粮笔试通关资料_7.模块专项练习题库_资料分析模块
资料分析练习题及解析_中储粮笔试通关资料_7.模块专项练习题库_资料分析模块
资料分析练习题及解析_中储粮笔试通关资料_7.模块专项练习题库_资料分析模块

文档信息

文档格式
doc
文档大小
0.177 MB
文档页数
14 页
上传时间
2026-02-14 05:35:26

文档内容

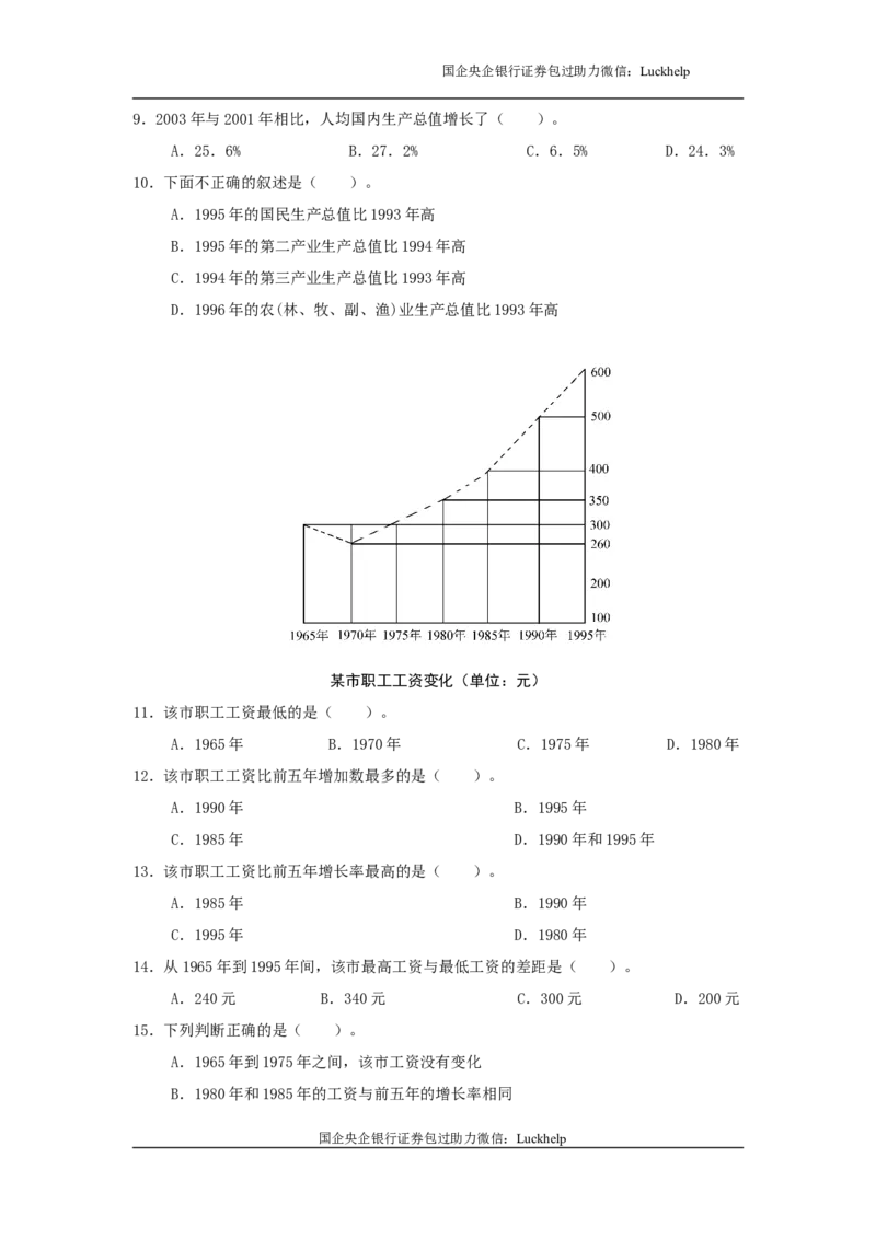
国企央企银行证券包过助力微信:Luckhelp 一、 世界煤储量在世界能源总储量中占90%,按目前规模开采可持续200年左右。据19世 纪80年代初世界能源会议等组织的资料,世界煤资源地质储量为14.3万亿吨,其中探明储 量为3.5万亿吨,约占24.5%;在总储量中硬煤占75%,褐煤占25%。按硬煤经济可采储量 以美国、俄罗斯、中国最为丰富,分别占世界总量的24.8%、21.5%、19.6%,共占2/3。 1.在世界煤炭资源地质储量中,未探明储量占总储量的( )。 A.25.1% B.74.9% C.75.5% D.25% 2.硬煤经济可采储量占世界总量比例最高的国家是( )。 A.美国 B.中国 C.俄罗斯 D.都不是 3.在世界煤炭总储量中,硬煤大约有( )。 A.9.84万亿吨 B.10.73万亿吨 C.3.58万亿吨 D.14.3万亿吨 4.在世界煤炭总储量中,硬煤占的比例比褐煤高( )。 A.50% B.25.1% C.3.3% D.24.8% 5.在世界煤炭总储量中,硬煤的储量比褐煤的储量多( )。 A.7.15万亿吨 B.3.58万亿吨 C.10.73万亿吨 D.6.78万亿吨 某工厂生产的400支灯泡使用寿命统计 使用寿命(小时) 灯泡数(支) 300~399 14 400~499 46 500~599 58 600~699 76 700~799 68 800~899 62 900~999 48 1 000~1 099 22 1 100~1 199 6 6.使用寿命在400~499小时的灯泡有多少支?( )。 A.14 B.46 C.76 D.62 7.使用寿命在700~799小时的灯泡比800~899小时的灯泡多多少支?( )。 国企央企银行证券包过助力微信:Luckhelp国企央企银行证券包过助力微信:Luckhelp A.68 B.62 C.6 D.10 8.使用寿命在1 000小时以上的灯泡有多少支?( )。 A.22 B.6 C.28 D.48 9.使用寿命在1 000小时以下的灯泡有多少支?( )。 A.220 B.280 C.372 D.370 10.使用寿命在300小时以下的灯泡有多少支?( )。 A.14 B.0 C.12 D.无法确定 我国自然科技人员数及其构成 11.与1952年相比,1978年我国科技人员增加了( )。 A.392 000人 B.39.2万人 C.3 920 000人 D.392千人 12.1986年科技人员中,占比重最大的是( )。 A.卫生技术人员 B.工程技术人员 C.农业技术人员 D.教学人员 13.1986年我国科研人员有( )。 A.363 130人 B.364 136人 C.363 146人 D.363 132人 14.1986年我国科技人员构成中,卫生技术人员所占比重比农业技术人员高( )。 A.21.4 B.20.4% C.21.4个百分点 D.21.4‰ 15.1986年我国科技人员约是1952年的( )。 A.19.4倍 B.18.4倍 C.20.4倍 D.21.4倍 国企央企银行证券包过助力微信:Luckhelp国企央企银行证券包过助力微信:Luckhelp 能源消费总量和构成 能源消费总 占能源消费总量的% 年份 量(折标准燃 料)(万吨) 煤炭 石油 天然气 水电 1980 60 275 72.10 20.85 3.06 3.99 1981 24 947 72.75 20.00 2.74 4.51 1982 62 646 74.02 18.58 2.48 4.92 1983 66 040 74.27 18.07 2.40 5.26 1984 70 904 75.31 17.45 2.33 4.91 1985 77 020 75.92 17.02 2.23 4.83 16.哪一年能源消费总量最少?( )。 A.1980 B.1981 C.1982 D.1983 17.1983年消耗的天然气为多少万吨(折标准燃料)?( )。 A.1 584.96 B.1 538.80 C.1 547.12 D.1 545.03 18.1985年能源消耗总量比1981年高多少?( )。 A.16 745 B.52 073 C.49 125 D.6 116 19.能源消费构成中,从1980年到1985年变化比例最大的是( )。 A.煤炭 B.石油 C.水电 D.天然气 20.在能源消费构成中,比例一直处于上升趋势的是( )。 A.煤炭 B.石油 C.水电 D.天然气 二、 据“国内个人捐款抽样问卷调查”表明:受过良好教育的人构成了个人捐款者群体的 主体。其中大专以上占30.1%,本科以上占31.1%。每一万个大专以上学历的人中,有64.6人 为希望工程捐过款,而每一万个小学以下学历的人,捐款不以0.05人。在接爱调查的3158 名捐赠者中,公务员、企事业干部占40.2%,工人职员占21.1%。另一项调查显示:人均月收入 介于300元和1200元之间的低中等收入的占全部捐款者的61.5%。 1.( )是个人捐款者群体的主体。 A.本科生 B.大专生 C.受过良好教育者 D.小学学历的人 2.在接受调查者中,公务员、企事业干部有( )人。 国企央企银行证券包过助力微信:Luckhelp国企央企银行证券包过助力微信:Luckhelp A.1270 B.1170 C.789 D.无法确定 3.在接受调查者中,公务员、企事业干部比工人职工多( )人。 A.504 B.604 C.666 D.无法确定 4.在个人捐款者群体的主体中,大专以上文凭的人占多大比重?( )。 A.60.2% B.31.1% C.61.2% D.无法确定 5.如果捐款者有10000人,那么月收入介于300~1200元的低中收入者有( )人。 A.5150 B.6150 C.4020 D.2110 1993-2003年某国国内生产总值指数 国民生产总 国内生产总 人均国内生产总 年份 第一产业 产二产业 第三产业 值 值 值 1993 108.7 108.7 102.0 115.8 104.9 106.8 1994 98.4 98.4 98.2 97.5 100.4 96.9 1995 107.6 107.6 97.8 113.3 109.5 106.2 1996 111.7 111.7 104.1 115.0 113.7 110.2 1997 107.6 107.6 106.1 108.2 107.8 106.1 1998 107.8 107.8 98.5 113.6 105.9 106.5 1999 105.2 105.2 107.0 101.9 110.4 103.9 2000 109.3 109.1 111.5 105.6 113.0 107.5 2001 111.1 110.9 108.3 110.4 115.2 109.3 2002 115.3 115.3 112.9 114.5 119.4 113.7 2003 113.2 113.5 101.8 118.6 118.3 111.9 说明:本题中指数的计算方法为:当年的数值与上一年数值的比乘以100。举例来说,假设第 一年的数值为m,第二年的数值为n,则第二年的指数为100×(n/m)。 6.假设1995年的国内生产总值为200亿,那么1996年的国内生产总值为( )。 A.179.1亿 B.207.6亿 C.215.2亿 D.223.4亿 7.与上一年相比,人均国内生产总值增长最快的年份是( )。 A.1994年 B.1996上 C.2002年 D.2003年 8.第三产业的指数超过人均国内生产总值的年份有( )。 A.5个 B.7个 C.9个 D.11个 国企央企银行证券包过助力微信:Luckhelp国企央企银行证券包过助力微信:Luckhelp 9.2003年与2001年相比,人均国内生产总值增长了( )。 A.25.6% B.27.2% C.6.5% D.24.3% 10.下面不正确的叙述是( )。 A.1995年的国民生产总值比1993年高 B.1995年的第二产业生产总值比1994年高 C.1994年的第三产业生产总值比1993年高 D.1996年的农(林、牧、副、渔)业生产总值比1993年高 某市职工工资变化(单位:元) 11.该市职工工资最低的是( )。 A.1965年 B.1970年 C.1975年 D.1980年 12.该市职工工资比前五年增加数最多的是( )。 A.1990年 B.1995年 C.1985年 D.1990年和1995年 13.该市职工工资比前五年增长率最高的是( )。 A.1985年 B.1990年 C.1995年 D.1980年 14.从1965年到1995年间,该市最高工资与最低工资的差距是( )。 A.240元 B.340元 C.300元 D.200元 15.下列判断正确的是( )。 A.1965年到1975年之间,该市工资没有变化 B.1980年和1985年的工资与前五年的增长率相同 国企央企银行证券包过助力微信:Luckhelp国企央企银行证券包过助力微信:Luckhelp C.1990年和1995年的工资与前五年的增长率相同 D.1970年的工资处于最低水平 某厂男女职工比例 16.这个厂在1980年男职工所占比重为多大?( )。 A.64.7% B.52% C.46% D.48% 17.1960年女职工所占比重比男职工少多少?( )。 A.15.4% B.17.4% C.29.4% D.28.4% 18.假如1980年该厂共有职工400人,那么女职工有多少人?( )。 A.192 B.208 C.194 D.216 19.假设在1995年,女职工比男职工多160人,那么1995年这个厂有多少男职工?( )。 A.2 000 B.920 C.1 080 D.1 040 20.假设1980年和1995年职工总数相等,并且在这15年间女职工增长了60人,那么男职工 减少了多少人?( )。 A.60 B.80 C.120 D.180 三 1982年全国第三次人口普查的材料表明,在我国每平方公里的平均人口为 107人,比 1964年的74人/平方公里增加了33人。我国是世界上人口密度较高的国家,但人口分布很 不平衡。大陆29个省、市、自治区中,沿海11个省、市、自治区人口密度为每平方公里302.6 人,比1964年的232.7人,上升了37.8%;内地18个省、市、自治区人口密度为每平方公里 71.4人,比1964年的47.3人,上升了50.9%,其中人口稀少的新疆、西藏、青海、甘肃、宁夏、 内蒙古从每平方公里7.2人,增加到11.8人,上升63.9%。 1.从第二次人口普查到第三次人口普查,人口增加的趋势为( )。 A.人口密度越稀的地区,人口相对增长幅度越大 B.农业越发达的地区,人口相对增长幅度越大 国企央企银行证券包过助力微信:Luckhelp国企央企银行证券包过助力微信:Luckhelp C.人口在原来密度的基础上,增长的幅度大致相同 D.工业相对落后的地区,人口的绝对数量增长较快 2.根据第三次人口普查的资料,1982年我国的人口比1964年增加约( )。 A.27.6% B.33.4% C.44.6% D.50.1% 3.根据1964年人口普查的结果,我国当时的人口约为( )。 A.6亿5千万 B.7亿1千万 C.7亿4千万 D.7亿8千万 4.西藏自治区的人口从1964年到1982年增加了( )。 A.60% B.64% C.70% D.无法统计 5.从1964年到1982年,全国人口平均每年递增( )。 A.2.1% B.2.4% C.2.5% D.2.6% 各类型企业在2000年工业产值中所占的比重(%) I 全国 东部 中部 西部 国有企业 49.1 40.2 64.8 Z 集体企业 31.4 Y 26.5 23.0 外商投资企 X 17.3 3.6 2.2 业 其他 7.0 8.0 5.1 5.7 6.表中X的数值是( )。 A.12.5 B.6.5 C.7.2 D.8.7 7.表中Y的数值是( )。 A.15.7 B.13.7 C.34.5 D.19.5 8.表中Z的数值是( )。 A.1.9 B.25 C.2.0 D.69.1 9.上表说明了( )。 A.东部地区与中、西部地区的差距越来越大 国企央企银行证券包过助力微信:Luckhelp国企央企银行证券包过助力微信:Luckhelp B.中、西部地区的工业发展速度落后于东部地区主要是由于对工业发展的贡献最大的 乡镇企业和外商投资企业在经济中的比例明显比东部低 C.各地区非国有经济发展速度不同,东西差距很大 D.今后的投资重点应该放在中、西部 10.下述判断不正确的是( )。 A.中部国有经济成分比重明显高于东部 B.国有经济成分越高,经济越缺乏活力 C.外商投资企业对东部经济发展发挥了很大作用 D.西部国有经济成分比重明显高于东部 城乡居民储蓄存款年底余额(亿元) 11.1979年农村储蓄总额是多少亿元?( )。 A.59.150 B.55.150 C.55.915 D.55.159 12.1986年比1953年储蓄存款年底余额多( )。 A.1 514.4 B.1 424.4 C.1 514.4亿 D.1 424.4亿 13.1979年比1953年的农村储蓄总额多多少( )。 A.55.145 B.54.145 C.54.145亿 D.55.135亿 14.假定1986年的城乡储蓄构成与1985年相同,则1985年的城镇居民储蓄总额是多少?( )。 A.937.197 B.973.197 C.937.197亿 D.973.197亿 15.下述判断不正确的是哪项?( )。 A.城乡居民储蓄存款年底余额逐年增长 国企央企银行证券包过助力微信:Luckhelp国企央企银行证券包过助力微信:Luckhelp B.农民的存款年底余额所占比重逐年上升 C.到1985年农民存款年底总余额已超过了城镇居民的存款总额 D.城镇居民存款年底余额所占的比重逐年下降 铁山港区1998年经济发展状况 比上年同比增 类别 产值(亿元) 长 国内生产总值 13.26 15.1% 工业总产值 7.9 19.2% 农业总产值 6.53 8.6% 乡镇企业 35.15 31.2% 财政收入 3.198万元 19.46% 16.1998年铁山港区工业总产值比农业总产值多多少亿元?( )。 A.7.9 B.1.37 C.5.36 D.1.47 17.如果1998年铁山港区15%财政收入用于福利事业,那么用于福利事业的资金是多少万元? ( )。 A.3 198 B.319.8 C.479.7 D.469.7 18.1997年铁山港区的工业总产值为多少亿元?( )。 A.6.4 B.6.6 C.6.5 D.7.1 19.1998年铁山港区与去年同比增长最快的是( )。 A.国内生产总值 B.工业总产值 C.乡镇企业 D.财政收入 20.1997年铁山港区的工农业总产值为多少亿元?( )。 A.12.64 B.14.43 C.13.59 D.13.26 答案及解析 一 1.C 【解析】由资料知已探明的储量约占24.5%,其未探明储量为100%-24.5%=75.5%。 故答案为C。 国企央企银行证券包过助力微信:Luckhelp国企央企银行证券包过助力微信:Luckhelp 2.A 【解析】比较美国、俄罗斯、中国的可采储量比例,发现所占比例最高的是美国,约 24.8%,故答案为A。 3.B 【解析】由资料可知硬煤占75%。 4.A 【解析】由资料可知,硬煤占75%,褐煤占25%,二者相差75%-25%=50%。故答案为A。 5.A 【解析】由资料知,世界煤资源地质储量占14.3万亿吨,硬煤比褐煤比例高75%- 25%=50%,14.3×(75%-25%)=7.15(万亿吨),故答案为A。 6.B 【解析】从该统计表直接可以看出,使用寿命在400~499小时的灯泡有46支。所以, 正确答案为B。 7.C 【解析】 从统计表可以得出:使用寿命在700~799小时的灯泡为68支,使用寿命在 800~899小时的灯泡为62支。所以,它们之间相差68-62=6(支)。故正确答案 为C。 8.C 【解析】从统计表中可以看出:使用寿命在1000~1099小时的灯泡为22支,使用寿 命在1100~1199小时的灯泡为6支。所以,使用寿命在1000小时以上的灯泡为: 22+6=28(支)。故正确答案为C。 9.C 【解析】由123题可以得知:使用寿命在1000小时以上的灯泡为28支;所以,使用寿 命在1000小时以下的灯泡数目为:400-28=372(支)。正确答案为C。 10.B 【解析】从统计图表可以看出:使用寿命在 300~1199小时的灯泡数目为: 14+46+58+76+68+62+48+22+6=400,而工厂共生产400支灯泡,所以,没有使用 寿命在300小时以下的灯泡。故正确答案为B。 11.C 【解析】用1978年的科技人员数减去1952年的科技人员数,可知应选C项。这里需 注意单位的换算。 12.B 【解析】直接比较扇形图中人员比重的数据可知答案为B。 13.D 【解析】科技人员的人数等于825.3(万元)×4.4%=363.132(人)。 14.C 【解析】直接用卫生技术人员所占比值减去农业技术人员所占比值,应选C项。 15.A 【解析】1986年我国科技人员约是1952年科技人员的倍数,可直接用两个年份的科 技人员数相除,825.3÷42.5=19.4,应选A项。 16.B 【解析】直接比较表中“能源消费总量”一栏中的各数值可知,1981年最少。 17.A 【解析】1983年消耗的天然气为66040×2.4%=1584.96(万吨)。 18.B 【解析】1985年能源消耗总量比1981年高出:77 020 -24 947=52 073(万吨),应 选B项。 19.B 【解析】直接比较表中各种能源所占比率的数值可知,答案为B。 国企央企银行证券包过助力微信:Luckhelp国企央企银行证券包过助力微信:Luckhelp 20.A 【解析】比较表中各种能源所占的比率数值可知,只有煤炭是一直上升的。 二 1.C 【解析】由首句“……表明:受过良好教育的人构成了个人捐款者群体的主体。”可 以看出此题的正确答案为C。 2.A 【解析】由文中“在接受调查的3158名捐赠者中,公务员、企事业干部占40.2%”, 所以公务员、企事业干部有3158×40.2%≈1270(人),故选A。 3.B 【解析】在接受调查者中,工人职工有3158×21.1%=666(人),企事业干部比工 人多1270-666=604(人),故选B。 4.C 【解析】在个人捐款者群体的主体中,大专以上文凭的人所占的比重为30.1%+31.1% =61.2%,故选C。 5.B 【解析】月收入介于300~1200元的低中收入者有10000×61.5%=6150(人),故 选B。 6.D 【解析】设96年的总值为X,那么由表格可以得出下列等式:X/200=111.7,得出结论。 7.C 【解析】从表中说明可知,计算公式为:(n-m)/m=n/m-1,由图知,1994年100n/m=96. 9,计算出人均国内生产总值是负增长,同理1996年增长10.2%,2002年增长13. 7%,2003年增长11.9%。 8.C 【解析】由图可知,除了1993年和1998年外,第三产业的指数都高于人均国内生产总 值。 9.B 【解析】设2003年的人均国内生产总值为 X,2002年为Y,2001年为Z,那 么100X/Y=111.9,100Y/Z=113.9,由此可知X/Y=1.274所需要计算的为(X-Z)/ Z=X/Z-1=0.27。 10.D 【解析】本题可用排除法。A项设1995年总值为X,1994年为Y,1993年为Z,则 100X/Y=107.6,100Y/Z=98.1,计算出X/Y=1.076×0.981=1.056,说明X比Y大; 同理可以得出B、C项的说法都是正确的,因此本题选D。 11.B 【解析】由图表可知,该市职工工资在1965年为300元,1970年为260元,1975年 为300元,1980年为350元,故B项260元为最低点。 12.D 【解析】由图表可知,该市职工工资1990年比1985年增加了100元,1995年比1990 年也增加了100元,1985年比1980年只增加了50元,故D项正确。 13.B 【解析】所谓增长率,是指增长的百分比,1985年比1980年的350元增加了50元, 增长率为50/350=14%; 1990年比1985年的400元增加了100元,增长率为 国企央企银行证券包过助力微信:Luckhelp国企央企银行证券包过助力微信:Luckhelp 100/400=25%; 1995 年比 1990 年的 500 元增加了 100 元,增长率为 100/500=20%; 1980年比1975年的300元增加了50元,增长率为50/300=16. 7%,可以看出,B项的增长率最高。 14.B 【解析】最高工资是1995年的600元,最低工资是1970年的260元,相差340元,故 选项B正确。 15.D 【解析】1965年到1975年之间,工资在1970年达到最低点,工资经历了先减后长的 变化,所以A项错。在第128题已经计算过,1980年工资比前五年的增长率为 16.7%,1985年工资比前五年的增长率为14%,是不同的; 1990年工资比前五年 的增长率为25%,1995年工资比前五年的增长率为20%,也是不同的,所以选项 B、C也错了,只有D项正确。 16.B 【解析】 对照1980年的扇形图,可看出空白代表的男职工,应选B项。 17.C 【解析】对照1960年男女职工的扇形比例图可知,64.7%-35.3%=29.4%,即少了 29.4%,应选C项。 18.A 【解析】1980年女职工占总数的48%,所以女职工人数等于400×48%=192(人),应 选A项。 19.B 【解析】假设男职工为x人,则可得出原有职工人数为x/46%人,则女职工人数为 x/46%-x人。所以,x/46%-x-x=160,经过运算可知,x为920人,应选B项。 20.A 【解析】因为总人数相同,则女职工人数增加多少,男职工人数就会相应减少多少。 所以应选A项。 三 1.A 【解析】这道题相对来说还是比较简单的,只需要从资料中找出相关的数字来进行大 小比较就可以了。由题干知人口密度高的地区上升了37.8%,人口密度居中的地 区人口增加了50.9%,人口稀少的地区上升了63.9%,可见人口密度越稀少的地 区,人口相对增长幅度越大,故选项A正确。 2.C 【解析】根据数据资料,1982年我国的第三次人口普查中,我国每平方公里的平均人 口为107人,比1964年的每平方公里74人增加了33人,所以我国1982年的人 口比1964年的人口增加的水平为:33÷74≈44.6%。故本题应该选C。 3.B 【解析】根据1964年的人口普查结果,我国每平方公里的人口为74人。根据地理常 识知道,我国的领土面积为960万平方公里,所以我国1964年的人口约为: 9600000×74≈7.1(亿),即我国1964年的人口约为7亿1千万。 国企央企银行证券包过助力微信:Luckhelp国企央企银行证券包过助力微信:Luckhelp 4.D 【解析】文章资料中并没有给出西藏自治区的相关人口数目,文章中人口稀少的地区 包含了西藏,但同时也包含了新疆、青海、宁夏、内蒙古等地区。所以无论是 1982年还是1964年的西藏自治区人口都无法知道,其增加的幅度也不能统计。 故选D。 5.A 【解析】1964年的全国人口为平均每平方公里74人,到了1982年,全国人口为平均 每平方公里107人,如果设平均每年人口递增X,则74(1+X)的18次方就等于 107,运算的结果为X≈2.1%,故本题选A。 6.A 【解析】全国企业的总和应该是100%,即国有企业、集体企业、外商投资企业加上其 他类型的总和应该是100%。所以表中的X=100-49.1-31.4-7.0=12.5,即 外商投资企业占全国工业产值的比重为12.5%。 7.C 【解析】此题的算法与上题相同。东部地区的企业总和为100%,则国有企业、集体企 业、外商投资企业加上其他类型的总和应该是100%。所以图中的Y=100-40.2 -17.3-8.0=34.5,即集体企业占东部工业产值的比重为34.5%。 8.D 【解析】此题的算法与上面两道题相同。西部地区的工业产值总和为100%,则国有企 业、集体企业、外商投资企业加上其他类型的总和应该是100%。所以图中的Z= 100-23.0-2.2-5.7=69.1,即国有企业占西部工业产值的比重为69.1%。 9.B 【解析】此题需要根据图中的数值来进行推理。图表中并没有反映出东部地区与中、 西部地区的差距,故选项A不正确;选项C同样认为由于各地区非国有经济发展 速度不同,所以东西差距大,这也是不正确的;图表只是反映了一种现实状况, 并不能说明今后的投资重点应该放在中、西部。选项B是正确的,从图表可以看 出,中、西部地区的集体企业和外商投资企业在经济中所占的比例明显低于东 部地区。 10.B 【解析】选项B的判断是错误的。图表中并不能反映出国有经济占有比值的大小与 经济活力之间的关系,因此不能主观猜测国有经济成分越高,经济就越缺乏活 力,其他几个选项都可以从图表中推出是正确的。 11.C 【解析】这道题需要做简单的计算。1979年底的居民存款年底余额为211亿元,其中 农村占的比重为26.5%,因此211×26.5%=55.915(亿元)。 12.C 【解析】用1986年的居民储蓄存款年底余额减去1953年的居民储蓄存款年底余额 即得到答案,即1523-8.6=1514.4(亿元)。故选C。 13.D 【解析】这道题需要做的计算相对复杂一些。首先得分别计算出1979年和1953年 国企央企银行证券包过助力微信:Luckhelp国企央企银行证券包过助力微信:Luckhelp 的农村储蓄总额,然后再找出两者的差值。即:211×26.5%-8.6×20.7%=54. 135(亿元)。因此正确答案为D。 14.D 【解析】这道题需要简单计算。用1986年的居民储蓄存款年底余额乘以城镇居民储 蓄所占的比值即可。即1523×63.9%=973.197(亿元)。因此选D。 15.C 【解析】选项C的判断是错误的,不需计算即可知道,到1985年,在居民储蓄存款年 底余额中,农村储蓄存款所占的比例仍然小于城镇的储蓄存款所占的比例,因 此农村的存款年底总余额仍然少于城镇居民的存款总额,说农村的存款年底总 余额已经超过了城镇居民的存款总额显然是错误的。故选C。 16.B 【解析】1998年铁山港区工业总产值比农业总产值多:7.9-6.53=1.37(亿元),故选 B。 17.C 【解析】用于福利事业的资金为:3198×15%=479.7(万元),应选C项。 18.B 【解析】1997年的工业总产值:7.9÷(1+19.2%)≈6.6(亿元),应选B项。 19.C 【解析】比较同比增长一栏,增长最快的应该是乡镇企业。 20.A 【解析】同理算出1997年的农业总产值:6.53÷(1+8.6%)≈6.04(亿元),再算出与 工业总产值的和,答案为A。 国企央企银行证券包过助力微信:Luckhelp