当前位置:首页>文档>第四章4.14.1.2课后课时精练_E015高中全科试卷_数学试题_必修1_02.同步练习_5.同步练习(第五套)_(新教材)人教数学必修第1(课件+课时练+单元测试+复习)第4章(共60份打包)

第四章4.14.1.2课后课时精练_E015高中全科试卷_数学试题_必修1_02.同步练习_5.同步练习(第五套)_(新教材)人教数学必修第1(课件+课时练+单元测试+复习)第4章(共60份打包)

  • 2026-03-31 17:42:08 2026-02-16 09:36:19

文档预览

第四章4.14.1.2课后课时精练_E015高中全科试卷_数学试题_必修1_02.同步练习_5.同步练习(第五套)_(新教材)人教数学必修第1(课件+课时练+单元测试+复习)第4章(共60份打包)
第四章4.14.1.2课后课时精练_E015高中全科试卷_数学试题_必修1_02.同步练习_5.同步练习(第五套)_(新教材)人教数学必修第1(课件+课时练+单元测试+复习)第4章(共60份打包)
第四章4.14.1.2课后课时精练_E015高中全科试卷_数学试题_必修1_02.同步练习_5.同步练习(第五套)_(新教材)人教数学必修第1(课件+课时练+单元测试+复习)第4章(共60份打包)

文档信息

文档格式
doc
文档大小
0.137 MB
文档页数
3 页
上传时间
2026-02-16 09:36:19

文档内容

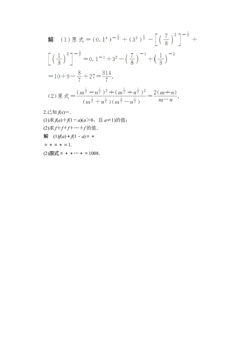
A级:“四基”巩固训练 一、选择题 1.若a>0,b>0,m,n都是有理数,则下列各式不成立的是( ) A.=am·b-n B.m=-m C.am+an=amn D.am·a-n=am-n 答案 C 解析 由有理数指数幂的运算性质,可知C不成立. 2.若(1-2x) 有意义,则x的取值范围是( ) A.(-∞,+∞) B.∪ C. D. 答案 D 解析 ∵(1-2x) =,∴1-2x>0,x<. 3.设a>0,将表示成分数指数幂,其结果是( ) A.a B.a C.a D.a 答案 C 4.设2a=5b=m,且+=2,则m等于( ) A. B.10 C.20 D.100 答案 A 5.设a-a=m,则=( ) A.m2-2 B.2-m2 C.m2+2 D.m2 答案 C 解析 将a-a=m平方得(a-a)2=m2,即a-2+a-1=m2,所以a+a-1=m2 +2,即a+=m2+2⇒=m2+2.二、填空题 6.若y=(3x-2) +(2-3x) +有意义,则实数x,y分别为________,________. 答案 解析 y=(3x-2) +(2-3x) +=++,要使式子有意义必须有解得x=,y=. 7.若10x=3,10y=,则102x-y=________. 答案 解析 102x-y=(10x)2÷10y=(3-)2÷=3÷3=. 8.设α,β是方程5x2+10x+1=0的两个根,则2α·2β=__________,(2α)β= __________. 答案 2 解析 利用一元二次方程根与系数的关系,得 α+β=-2,αβ=, 则2α·2β=2α+β=2-2=,(2α)β=2αβ=2. 三、解答题 9.已知a2m+n=2-2,am-n=28(a>0,且a≠1),求a4m+n的值. 解 因为 ①×②,得a3m=26,所以am=22.将am=22代入②,得22×a-n=28,所以an= 2-6,所以a4m+n=a4m·an=(am)4·an=(22)4×2-6=22=4. 10.已知a2x=+1,求的值. 解 令ax=t,则t2=+1, 所以= = =t2+t-2-1=+1+-1 =+1+-1-1=2-1. B级:“四能”提升训练2.已知f(x)=. (1)求f(a)+f(1-a)(a>0,且a≠1)的值; (2)求f+f+f+…+f的值. 解 (1)f(a)+f(1-a)=+ =+=+=1. (2)原式=++…+=1008.