当前位置:首页>文档>高2023级第二次月考数学答案_2024-2025高二(7-7月题库)_2025年05月试卷_0526四川省南充市高级中学2024-2025学年高二下学期5月月考试题

高2023级第二次月考数学答案_2024-2025高二(7-7月题库)_2025年05月试卷_0526四川省南充市高级中学2024-2025学年高二下学期5月月考试题

  • 2026-04-11 06:36:12 2026-02-19 09:27:20

文档预览

高2023级第二次月考数学答案_2024-2025高二(7-7月题库)_2025年05月试卷_0526四川省南充市高级中学2024-2025学年高二下学期5月月考试题
高2023级第二次月考数学答案_2024-2025高二(7-7月题库)_2025年05月试卷_0526四川省南充市高级中学2024-2025学年高二下学期5月月考试题
高2023级第二次月考数学答案_2024-2025高二(7-7月题库)_2025年05月试卷_0526四川省南充市高级中学2024-2025学年高二下学期5月月考试题
高2023级第二次月考数学答案_2024-2025高二(7-7月题库)_2025年05月试卷_0526四川省南充市高级中学2024-2025学年高二下学期5月月考试题
高2023级第二次月考数学答案_2024-2025高二(7-7月题库)_2025年05月试卷_0526四川省南充市高级中学2024-2025学年高二下学期5月月考试题
高2023级第二次月考数学答案_2024-2025高二(7-7月题库)_2025年05月试卷_0526四川省南充市高级中学2024-2025学年高二下学期5月月考试题
高2023级第二次月考数学答案_2024-2025高二(7-7月题库)_2025年05月试卷_0526四川省南充市高级中学2024-2025学年高二下学期5月月考试题
高2023级第二次月考数学答案_2024-2025高二(7-7月题库)_2025年05月试卷_0526四川省南充市高级中学2024-2025学年高二下学期5月月考试题
高2023级第二次月考数学答案_2024-2025高二(7-7月题库)_2025年05月试卷_0526四川省南充市高级中学2024-2025学年高二下学期5月月考试题
高2023级第二次月考数学答案_2024-2025高二(7-7月题库)_2025年05月试卷_0526四川省南充市高级中学2024-2025学年高二下学期5月月考试题
高2023级第二次月考数学答案_2024-2025高二(7-7月题库)_2025年05月试卷_0526四川省南充市高级中学2024-2025学年高二下学期5月月考试题

文档信息

文档格式
docx
文档大小
0.481 MB
文档页数
11 页
上传时间
2026-02-19 09:27:20

文档内容

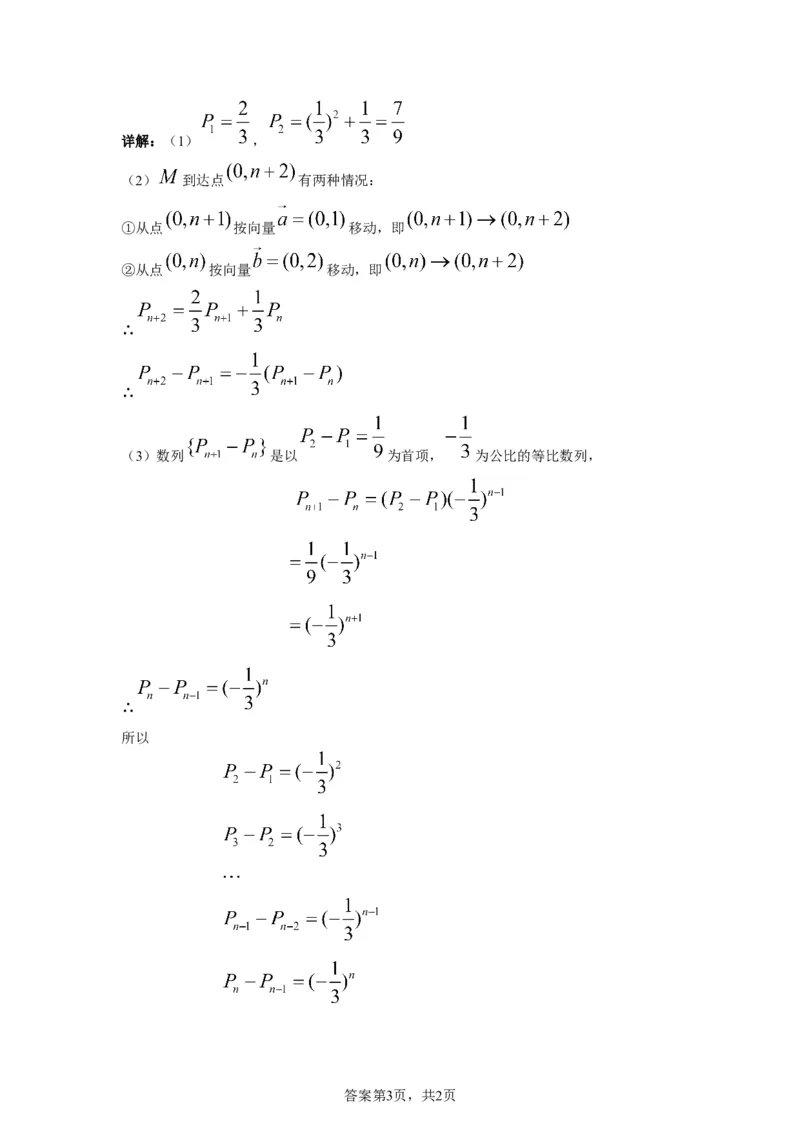
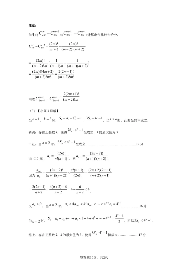
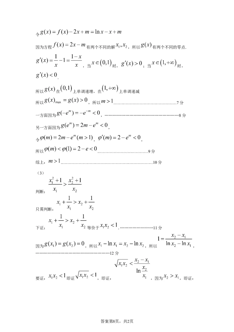
南充高中高2023级第二次月考数学参考答案 题号 1 2 3 4 5 6 7 8 9 10 11 答案 D C A C A D B D ABD BD ABD 8.D 【详解】由 可得 ,即 , 当 时, ,不等式 在 上显然成立; 当 时,令 ,则 在 上恒成立, 由 ,在 上 ,所以 在 上单调递增, 又 时, , ,所以只需 在 上恒成立, 即 恒成立. 令 ,则 ,即 在 上单调递增, 其中 ,故 ,所以此时有 .综上, . 故选:D. 11.ABD 【详解】对于A选项, ,A对; 对于B选项,由题意可知: ,B对; 对于C选项,设第 次“美好成长”后共插入 项,即 ,共有 个间隔,且 , 则第 次“美好成长”后再插入 项,则 , 可得 ,且 , 答案第1页,共2页故数列 是以首项为 ,公比为 的等比数列, 则 ,故 ,C错; 对于D选项,因为 ,且 , 所以, ,且 , 所以数列 是首项为 ,公比为 的等比数列, 所以, ,故 , 所以, , 所以,数列 的前 项和为 ,D对. 故选:ABD. 12. 13. 14. .............................................................................................................................2分 或者化简为: ..........................................3分 答案第2页,共2页详解:(1) , (2) 到达点 有两种情况: ①从点 按向量 移动,即 ②从点 按向量 移动,即 ∴ ∴ (3)数列 是以 为首项, 为公比的等比数列, ∴ 所以 答案第3页,共2页两边分别累加得 15.(1) ; (2) 除以7的余数为6 【详解】(1)已知等比数列 是递增,且 可得 .................................................................3分 ∴ ,其前n项和 .................................................................6分 (2)由(1)得, 由二项式定理得 .......................................9分 设 , ∴ ∴ 除以7的余数为6 .................................................................13分 16.(1)单调递增区间为 , ,单调递减区间为 . (2)最大值为2,最小值为 . 【详解】(1)由题意得 , 由题意得 ,即 ,解得 , ...........................................................2分 答案第4页,共2页故 ,定义域为R, ,令 得 或 ,令 得 , 故 在 , 上单调递增,在 上单调递减, ..............................6分 易知 为极小值点, 符合题意, 所以 单调递增区间为 , , 单调递减区间为 . ...........................................................8分 (2)由(1)知, 在 , 上单调递增,在 上单调递减,...........10 分 当 变化时, 的变化情况如下表所示. 1 + 0 - 0 + 单调递增 极大值 单调递减 极小值 单调递增 所以 , .又 , ,...........13分 因为 , 故 的最大值为2,最小值为 . ...........................................................15分 17.(1) 答案第5页,共2页(2) 【详解】(1)因为椭圆过点 ,所以 ,又 ,且 , 解得 ,所以椭圆 的方程为 ;...........................................................5分 (2) 由题意,得 ,直线 , ............................................7分 设 , , , , 联立 ,消去 ,得 , 显然△ , , 则点 的横坐标 , 点 的纵坐标 . 即 , 所以线段 的垂直平分线方程为: , .....................................11 分 令 ,得 ;令 ,得 , 答案第6页,共2页所以 的面积 , 的面积 . ....................................13分 因为 与 的面积相等, 所以 ,解得 , 所以当 与 的面积相等时,直线 的斜率 . ....................................15 分 18.(1) ………………1分 ∵曲线 在 处的切线方程为 . ∴ ……………………2分 ∴ …………………3分 (2)方法一:函数 有两个不同的零点 . 等价于方程 有两个不同的根 . 将方程 变形为 方程 的根等价于 与 的函数图像有两个不同的交 点…………………………………………………………………………………………6分 令 . 在 单减, 单增.…………………………………………………8分 .…………………………………………………………………9分 ∴ 的取范围为 ……………………………………………………………10分 方法二: 答案第7页,共2页令 因为方程 有两个不同的解 ,所以 有两个不同的零点. ,当 时, ;当 时, . 所以 在 上单调递增,在 上单调递减 所以 ,所以 .………………………………………7分 一方面因为 ,………………………………………………8分 另一方面因为 , 令 , , 所以 .………………………………9分 综上: .…………………………………………………………10分 (3) 判断: 只需判断: 下证: 等价于 .……………………11分 因为 ,所以 ,所以 , ………………………………………………12分 要证: 即证 ,即证: ,因为 ,即证: 答案第8页,共2页,令 ……………15分 设 ,则 , 所以 ,所以 .……………17分 19.(1) ………………………………………………………………………………3分 (2)第 行的 个数之和为 ···········4分 ········5分 …………… ……………………………………………………………………………7分 第 行的最后一个数为 …………………………………………8分 ……………………………………………………………………………………10分 所以第 行的 个数之和与第 行的最后一个数相等. 答案第9页,共2页注意: 学生将 与 计算出作比较也给分. 同理 (3)【小问3详解】 当 , 时, , ,当 时,此时显然不成立. 猜测:存在正整数k,使得 恒成立,k的最大值为3. 下证:当 时, 恒成立.………………………………………12分 由(1)知, ,则 , 因为 . 又 ,当 时, .……………16分 当 时, ,所以 . 综上:存在正整数k,k的最大值为3,使得 恒成立.………………17分 答案第10页,共2页答案第11页,共2页