当前位置:首页>文档>高二历史第一次月考卷(考试版A4)测试范围:1-7课(天津专用)_2024-2025高二(7-7月题库)_2024年09月试卷

高二历史第一次月考卷(考试版A4)测试范围:1-7课(天津专用)_2024-2025高二(7-7月题库)_2024年09月试卷

  • 2026-04-25 08:18:40 2026-02-19 10:21:57

文档预览

高二历史第一次月考卷(考试版A4)测试范围:1-7课(天津专用)_2024-2025高二(7-7月题库)_2024年09月试卷
高二历史第一次月考卷(考试版A4)测试范围:1-7课(天津专用)_2024-2025高二(7-7月题库)_2024年09月试卷
高二历史第一次月考卷(考试版A4)测试范围:1-7课(天津专用)_2024-2025高二(7-7月题库)_2024年09月试卷
高二历史第一次月考卷(考试版A4)测试范围:1-7课(天津专用)_2024-2025高二(7-7月题库)_2024年09月试卷
高二历史第一次月考卷(考试版A4)测试范围:1-7课(天津专用)_2024-2025高二(7-7月题库)_2024年09月试卷
高二历史第一次月考卷(考试版A4)测试范围:1-7课(天津专用)_2024-2025高二(7-7月题库)_2024年09月试卷
高二历史第一次月考卷(考试版A4)测试范围:1-7课(天津专用)_2024-2025高二(7-7月题库)_2024年09月试卷

文档信息

文档格式
docx
文档大小
0.155 MB
文档页数
7 页
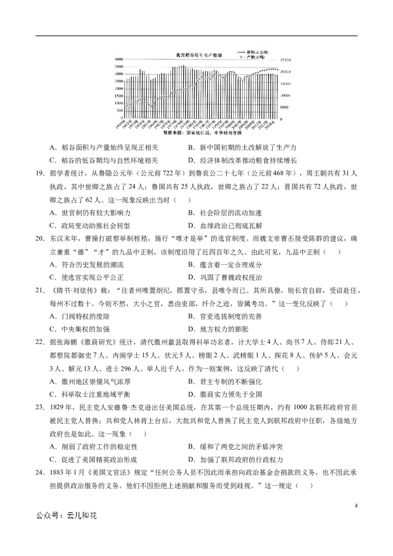
上传时间
2026-02-19 10:21:57

文档内容

2024-2025 学年高二历史上学期第一次月考卷(天津专用) (考试时间:60分钟 试卷满分:100分) 注意事项: 1.本试卷分第Ⅰ卷(选择题)和第Ⅱ卷(非选择题)两部分。答卷前,考生务必将自己的姓名、准考证 号填写在答题卡上。 2.回答第Ⅰ卷时,选出每小题答案后,用2B铅笔把答题卡上对应题目的答案标号涂黑。如需改动,用橡 皮擦干净后,再选涂其他答案标号。写在本试卷上无效。 3.回答第Ⅱ卷时,将答案写在答题卡上。写在本试卷上无效。 4.测试范围:选择性必修一第1-7课。 5.难度系数:0.75。 6.考试结束后,将本试卷和答题卡一并交回。 第Ⅰ卷 一、选择题:本题共30小题,每小题2分,共60分。在每小题给出的四个选项中,只有一项符合题目要 求。 1.有学者认为,商朝的王畿是“国都不远的地方,由国王直接控制”,王畿以外“隶属于商王朝距离遥 远的诸侯方国,对王朝所负担的义务是很有限的,也只能是名义上的服从”。这主要是因为( ) A.内外服制度弱化商王统治 B.商朝疆域局限于王畿地区 C.商朝尚未实现权力高度集中 D.商王对诸侯方国没有影响力 2.《左传·桓公二年》记载:“天子建国,诸侯立家,卿置侧室,大夫有贰宗,士有隶子弟,庶人工商各 有分亲,皆有等衰(cuī)。”。这段文字说明了( ) A.分封制与宗法制的结合 B.民本思想观念的产生 C.祖先政治上的威望增强 D.宗法观念的不断削弱 3.柏杨在《中国人史纲》中这样评价秦代的一项制度:这是一个划时代的突破和最骇人听闻的政治结构, 没有封国封爵,没有公侯伯子男。当时没有一个人敢于想象皇帝的儿子们竟会跟平民一样,没有拥有 土地,更没有拥有奴隶群。这则材料可以用来说明( ) A.分封制的推行 B.郡县制的形成 C.秦朝面临危机 D.科举制的兴起 4.行省最早是中央的临时派出机构,遇到一个地方出现紧急情况需要处理,中书省派人到该地行使中书 省的职权,事情处理结束以后,行省也随之取消。到了忽必烈统一全国之后,行省逐渐成为固定的地 方最高行政机构。这反映出行省( ) A.权力不断扩大与中央分庭抗衡 B.具有中央派出机构和地方机构的双重特点 C.促进了各民族的融合 D.有利于各地经济的交流 5.洪武九年(1376年),明朝宣布改革行省领导体制,设承宣布政使司、提刑按察使司、都指挥使司, 1号称“三司”。“三司”各司其职,每遇“大事”,布政使须“会都、按议”,再申报中央有关部门 批准。特别是遇到地方“民变”或动乱,布、按二司无权调动军队,须向朝廷申报,再由都司出兵。 据此可知,明初“三司”体制( ) A.增强了地方行政机构的自主权 B.形成纵横交错的地方治理体系 C.对地方行政运作带来双重影响 D.有效提高中央机构的行政效率 6.清代奏折制成为固定制度前,军机大臣当面聆听皇帝指示,草拟文书,形成谕旨,由军机处密封,函 面上书“办理军机处封寄某处某官开拆”或“传谕某处某官开拆”。廷寄到达后,由受命者本人拆阅 不许其他人代拆。据此可知,清代( ) A.军机大臣的位高权重 B.中央对地方的控制增强 C.军机处的保密性极强 D.皇帝直接管理地方事务 7.雅典公民大会主要议程包括对现任公职人员的考核,如不合格,立即罢免。一个官员在一年之内要经 过十次这样的检查。公职人员如果遭到差评,很可能仅仅任职一个月就被罢免。官员的任期只有一年 期满后需要再次经过选举才能续任。这些做法旨在( ) A.维护公民大会的权力与地位 B.保障每个公民的参政议政权 C.遏制以权谋私等腐败的滋生 D.防止直接民主带来暴民政治 8.12世纪中叶,英王亨利二世为加强王权而实行军事改革,允许一部分骑士交纳代役钱(即盾牌钱), 以免除每年对国王负担的40天军役。国王用此项收入招募常备雇佣军,从而减少国王在军事上对服役 者的依赖。骑士渐渐成为专营农牧业的小地主( ) A.促进了民族国家的产生 B.有利于封君封臣制度的发展 C.反映了封建关系的变革 D.会导致英国军队战斗力下降 9.汉密尔顿说:“假如把缺乏这类斗争的动机作为反对斗争的理由,那就是忘记了人是野心勃勃、存心 报复而且贪得无厌。指望几个相邻近的独立而未联合的国家一直和睦相处,那就是无视人类事变的必 然过程,蔑视数世纪以来积累的经验”。据此可知,汉密尔顿主张( ) A.实行分权与制衡 B.打造强有力中央政府 C.实行总统共和制 D.两党竞争与民主原则 10.“这样一个七拼八凑的宪法不符合任何政党的理想,但是它是唯一能持久的宪法;法国有了一个稳定 的政治制度,这还是第一次。”“它使得1789年以来支离破碎的两个法国得以和平共处:一个是革命 的法国,另一个是旧制度的法国。”据此可知,法兰西第三共和国宪法( ) A.确立了资产阶级共和政体 B.带有明显的局限性 C.与当时法国的国情相适应 D.消除了各派的矛盾 11.民国著名记者黄远庸曾这样形容民初政治:“其新者以为法律万能,但能全本抄录外国之法科全书, 吾国便不难立时变成黄金世界。其旧派则任有何种法律,然我曹自有我曹之窟穴,自有我曹之本领及 伎俩。此二派水火之不能相容。”作者意在说明当时的中国( ) A.不适用于西方民主政治 B.君主专制制度根深蒂固 C.需经历深刻的社会革命 D.民主法制建设不够完善 212.1941年11月8日,在陕甘宁边区第二届参议会上,林伯渠作政府工作报告时指出,边区成立三年来, “在边区和县级我们都建立了正规的参议会,行政工作集中于政府,创制复决之权及对于政府行政人 员选举罢免之权,则属于各该级参议会。至于乡市则采取议行合一制度”。这体现出边区政权 ( ) A.工农民主专政的特色 B.主权在民的施政宗旨 C.统一战线的斗争策略 D.新民主主义革命的性质 13.商鞅变法之前秦国农家父子兄弟多是不分家的。商鞅在变法中改造“父子无别,同室而居”的社会, 先下令“民有二男以上不分异者,倍其赋”,尔后再令“民父子兄弟同室内息者为禁”,并规定男丁 (15足岁以上)登记在册。这些规定( ) A.旨在加强教化改善社会风气 B.促进了小农经济的发展 C.促使血缘宗法制度得到加强 D.强调社会尊卑等级关系 14.孝文帝迁都洛阳不到四十年,北魏灭亡。《魏书》认为:“迁洛之举,群臣不顺,孝文设术以诈之, 示威以胁之。不知厌乎累世安乐之余,经始百年荒横之地。一事不成,旧业尽弃,欲以何为?”这种 观点认为迁都( ) A.加剧了北魏统治集团的腐败 B.动摇了北魏政权的立国根基 C.不利于民族间的交流与融合 D.丧失了保持民族特性的条件 15.宋仁宗通过科举取士和新办州县之学,巩固了儒学的尊崇地位,推动了书院讲学的日臻发达和新学风 的形成。随着新儒学的兴起,士大夫的自我意识也在觉醒,儒者的使命,不仅限于关门治学,更在于 通经致用,以圣人之学为指导,服务于国家、社会。最能体现这一变化的事件是( ) A.宋太祖罢免宿将兵权 B.金朝进入“大定之治” C.张载提出“为天地立心” D.范仲淹主持庆历新政 16.康有为《上清帝第七书》中说:“职窃考之地球……惟俄国其君权最尊,体制崇严,与中国同。其始 为瑞典削弱,为泰西摈鄙,亦与中国同。然其以君权变法,化衰为盛⋯⋯故中国变法,莫如法俄,以 君权变法,莫如采法彼得。以俄国大彼得之心为心法,以日本明治之政为政法而已。”康有为旨在( ) A.说明变法对于中国转弱为强的重要性 B.强调托古改制是历史必然选择 C.借助西方先进理论以减少变法的阻力 D.揭示俄日制度和变法的差异性 17.谷牧(时任国务院副总理)谈到1978年5月访问时说:“我同法国巴尔总理会谈时,他说,1977年 法中贸易额为什么下降,这同贵我两国的友好关系不相称。……在联邦德国访问巴伐利亚州时,州长 说,听说你们资金困难,我们愿意提供支持,50亿美元怎么样,用不着谈判,现在握握手就算定 了!”可以看出当时的中国 A.与西欧开始了经济贸易 B.已经走上改革开放道路 C.国家政策正在逐渐转变 D.彻底否定了文革的错误 18.下图为新中国成立后我国稻谷历年生产数据。对此解读正确的是( ) 3A.稻谷面积与产量始终呈现正相关 B.新中国初期的土改解放了生产力 C.稻谷的低谷期均与自然环境相关 D.经济体制改革推动粮食持续增长 19.据学者统计,从鲁隐公元年(公元前722年)到鲁哀公二十七年(公元前468年),周王朝共有31人 执政,其中世卿之族占了24人;鲁国共有25人执政,世卿之族占了22人;晋国共有72人执政,世 卿之族占了62人。这一现象反映出当时( ) A.世官制仍有较大影响力 B.社会阶层的流动加速 C.政局变动助推社会转型 D.血缘政治已彻底瓦解 20.东汉末年,曹操打破察举制桎梏,施行“唯才是举”的选官制度。而魏文帝曹丕接受陈群的建议,确 立兼重“德”“才”的九品中正制,该制度沿用了近四百年之久。由此可见,九品中正制( ) A.符合历史发展的潮流 B.蕴含着一定合理成分 C.使选官实现公平公正 D.巩固了曹魏政权统治 21.《隋书·刘炫传》载:“往者州唯置纲纪,郡置守丞,县唯令而已。其所具僚,则长官自辟,受诏赴任, 每州不过数十。今则不然,大小之官,悉由吏部,纤介之迹,皆属考功。”这一变化反映了( ) A.门阀特权的废除 B.官吏选拔制度的完善 C.中央集权的加强 D.地方权力的膨胀 22.据张海鹏《徽商研究》统计,清代徽州歙县取得科举功名者,计大学士4人、尚书7人、侍郎21人、 都察院都御史7人、内阁学士15人、状元5人、榜眼2人、武榜眼1人、探花8人、传胪5人、会元 3人、解元13人、进士296人、举人近千人。作为一则案例,这反映了清代( ) A.徽州地区崇儒风气浓厚 B.君主专制的不断强化 C.科举取士注重地域平衡 D.徽商实力领先于全国 23.1829年,民主党人安德鲁·杰克逊出任美国总统,在其第一个总统任期内,约有1000名联邦政府官员 被民主党人替换;共和党人林肯上台后,大批共和党人替换了民主党人到联邦政府中任职,各级地方 政府也是如此。这一现象( ) A.削弱了政府工作的稳定性 B.缓和了两党之间的矛盾冲突 C.促进了美国精英政治形成 D.加强了联邦政府的行政权力 24.1883年1月《美国文官法》规定“任何公务人员不因此而承担向政治基金会捐款的义务,也不因此承 担提供政治服务的义务。他们不因拒绝上述捐献和服务而受到歧视。”这一规定( ) 4A.杜绝了结党营私的政治乱象 B.使国家政治摆脱了政党的干预 C.体现了文官的政治中立特点 D.彰显了文官选拔的公开与公正 25.某法规颁布后,官方公布了高等考试的考试种类、报名和考试日期,共分普通行政人员、财务行政人 员、教育行政人员、外交官领事官及警察行政人员5种。报名者进行资格审查,5种考试应考者共有 2177人,实际应考人数总计为1872人,其中女性20人。该法规( ) A.是《文官考试法草案》 B.由南京临时政府制定 C.通过资格审查禁绝了任用亲信、拉帮结派的现象 D.与北洋政府的法规相比,具有更强的开放性和平等性 26.1908年,清政府奏准颁行《游学毕业生廷试录用章程》,规定凡在外国高等以上各学堂之毕业生,经 学部考验合格,奉旨赏给进士、举人出身后,方可参加廷试,廷试后再授予官职。这说明( ) A.清朝的文官制度确立 B.科举选官仍然是主流 C.留学毕业生选官有一定的制度安排 D.洋务运动学习外国的学制 27.1915年9月,北京政府先后颁布《义官高等号试令》和《义官普通号试令》,其中特别规定:“教育 部认可的国内私立大学或府等专门学校修习各项专门学科3年以上,有毕业文凭者,方可参加考 试。”这说明,北京政府的义官选拔( ) A.缺乏公平竞争和平等对待 B.注重提高文官队伍文化素质 C.忽视了被选者的道德品质 D.杜绝了任人唯亲的腐败现象 28.中国共产党是领导各项事业的核心力量,公务员制度是党的干部制度的一个组成部分,在公务员的管 理上,强调要坚持党的组织领导,保持党对政府重要领导人选的推荐权。这反映出我国公务员制度( ) A.突出以德为先的标准 B.存在地区行业差异 C.践行服务于民的思想 D.坚持党管干部原则 29.在中国特色社会主义干部管理制度的形成过程中,建立和推行公务员制度是干部人事制度的重大改革。 1993年,公务员制度开始推行。2005年全国人大常委会通过《中华人民共和国公务员法》,标志着公 务员制度正式形成。据此可知( ) A.政府管干部是我国干部管理制度的根本原则 B.我国不断推进干部管理的制度化法制化建设 C.公务员属于国家事业编制,应依法履行职责 D.公务员录用采取公开考试、择优录取的办法 30.西方有的国家制定了专门的《文官制度法》《文官制度改革法》《考绩法》《文官退休法》等,有的 国家制定了《国家公务员法》,这些法规对于保证常任文官忠于职守、效力国家,起了显著的作用。 这些专门的公务员法规的制定给我们的启示是( ) A.严格限制文官行政权力 B.提升公务员法制化程度 C.增加法律和法规的数量 D.增强公务人员的荣誉感 5第Ⅱ卷 二、非选择题(本题共2小题,共40分) 31.阅读材料,回答问题。(20分) 材料一 廷议是中国古代中央决策体制的重要方式,当国家遇到重大事务时,皇帝或皇帝贵成中枢 首脑召集相关官员进行讨论,参加廷议的人员也很广泛,不局限于中央高级官员,具有一定代表性, 讨论结果由皇帝最后裁定,历代皇帝的很多诏令发布之前都经过廷议。唐朝有三省长官在政事堂合议 的制度,宋明清时廷议、朝议和集议制度进一步规范化,廷议制度是中国封建社会统治阶级内部的一 种“民主”制度,在封建统治中发挥了积极作用。 ——摘编自《国家制度与社会治理》教科书和教师用书 材料二 民国初年的议会政党政治之所以昙花一现而迅速落败,在于没有找到适合中国国情的政治 体制。在封建传统根深蒂固,封建军阀势力强大的现实里,在资产阶级基础薄弱,中央威权真空的状 态下,盲目推行西方式议会政党政治的尝试是失败的。……民国初年的政党组织十分涣散,且有无休 止的议会和内阁席位的争夺,当把握重兵的北洋派的利益受威胁从而出手打击议会政党政治时,很快 倒退回独裁统治和军阀混战的状态。 ——摘编自刘松吟《民国初年的议会政党政治为什么失败》 材料三 延安时期,中国共产党积累了大量成功的执政经验,留下一批宝贵的政治遗产。随着抗战 胜利的临近,新中国也在不远的将来可以望见,“参议会”将为……所取代。“三三制”民主的统战 协商功能将分隔出去,因而更加凸显“人民民主”的实质内涵。那种重视人民群众的主体地位、政治 参与和政治教育的民主,将开辟民主的中国模式,而在抗战中形成的“延安道路”亦将延伸为“中国 道路”。 ——摘编自刘晨光《“三三制”民主:原因、问题与实质》 (1)根据材料一和结合所学知识,概括中国古代中央决策方式的特点,并指出其积极作用。(10 分) (2)根据材料二和结合所学知识,分析民国初年政党政治不能成功的原因。(6分) (3)根据材料三和所学知识,列举“延安道路”延伸为“中国道路”的具体制度表现。(4分) 32.阅读材料,完成下列要求。(20分) 材料一 1870年,英国政府颁布的枢密令正式将公开竞争考试纳入文官系统的选拔机制,这被视为 文官考试制度确立的里程碑。枢密令要求财政部及各部门领导协助文官事务委员会制定具体的规章制 度,并将考试细化为两个等级:高等级考试和低等级考试。这种更为客观、更能体现候选人任职能力 的选拔方式,最终取代了主观性极强的赐官制和政党分肥制。 ——摘编自马桦《英国文官考试制度的理性化》 材料二 南京临时政府时期,孙中山主持颁布了几部文官考试法律文本。这些文本同《临时约法》一 起初步构成了效力层次区分清晰的考试法律体系。其中《文官考试委员会官职令(草案)》作为一部 行政组织法,对考试机关职权、活动程序等均予以规定。考试机关是考试权的组织载体,相关制度直 接关系到考试权的实现。就某种程度而言,此时的考试行政组织尚未完全独立。 ——摘编自冯子轩《从宪法文本看中国近代文官考试变迁》 (1)根据材料一并结合所学知识,分析英国文官制度改革的背景并简评其实施效果。(8分) (2)根据材料并结合所学知识,概括近代英国与南京临时政府文官考试制度的异同。(8分) 6(3)谈谈上述文官考试制度对当今中国社会的借鉴意义。(4分) 7