当前位置:首页>文档>高二地理第一次月考卷(考试版A4)测试范围:第1章~第3章第2节(北京专用)_2024-2025高二(7-7月题库)_2024年09月试卷

高二地理第一次月考卷(考试版A4)测试范围:第1章~第3章第2节(北京专用)_2024-2025高二(7-7月题库)_2024年09月试卷

  • 2026-03-27 11:38:31 2026-02-19 10:39:55

文档预览

高二地理第一次月考卷(考试版A4)测试范围:第1章~第3章第2节(北京专用)_2024-2025高二(7-7月题库)_2024年09月试卷
高二地理第一次月考卷(考试版A4)测试范围:第1章~第3章第2节(北京专用)_2024-2025高二(7-7月题库)_2024年09月试卷
高二地理第一次月考卷(考试版A4)测试范围:第1章~第3章第2节(北京专用)_2024-2025高二(7-7月题库)_2024年09月试卷
高二地理第一次月考卷(考试版A4)测试范围:第1章~第3章第2节(北京专用)_2024-2025高二(7-7月题库)_2024年09月试卷
高二地理第一次月考卷(考试版A4)测试范围:第1章~第3章第2节(北京专用)_2024-2025高二(7-7月题库)_2024年09月试卷
高二地理第一次月考卷(考试版A4)测试范围:第1章~第3章第2节(北京专用)_2024-2025高二(7-7月题库)_2024年09月试卷
高二地理第一次月考卷(考试版A4)测试范围:第1章~第3章第2节(北京专用)_2024-2025高二(7-7月题库)_2024年09月试卷
高二地理第一次月考卷(考试版A4)测试范围:第1章~第3章第2节(北京专用)_2024-2025高二(7-7月题库)_2024年09月试卷
高二地理第一次月考卷(考试版A4)测试范围:第1章~第3章第2节(北京专用)_2024-2025高二(7-7月题库)_2024年09月试卷

文档信息

文档格式
docx
文档大小
9.112 MB
文档页数
9 页
上传时间
2026-02-19 10:39:55

文档内容

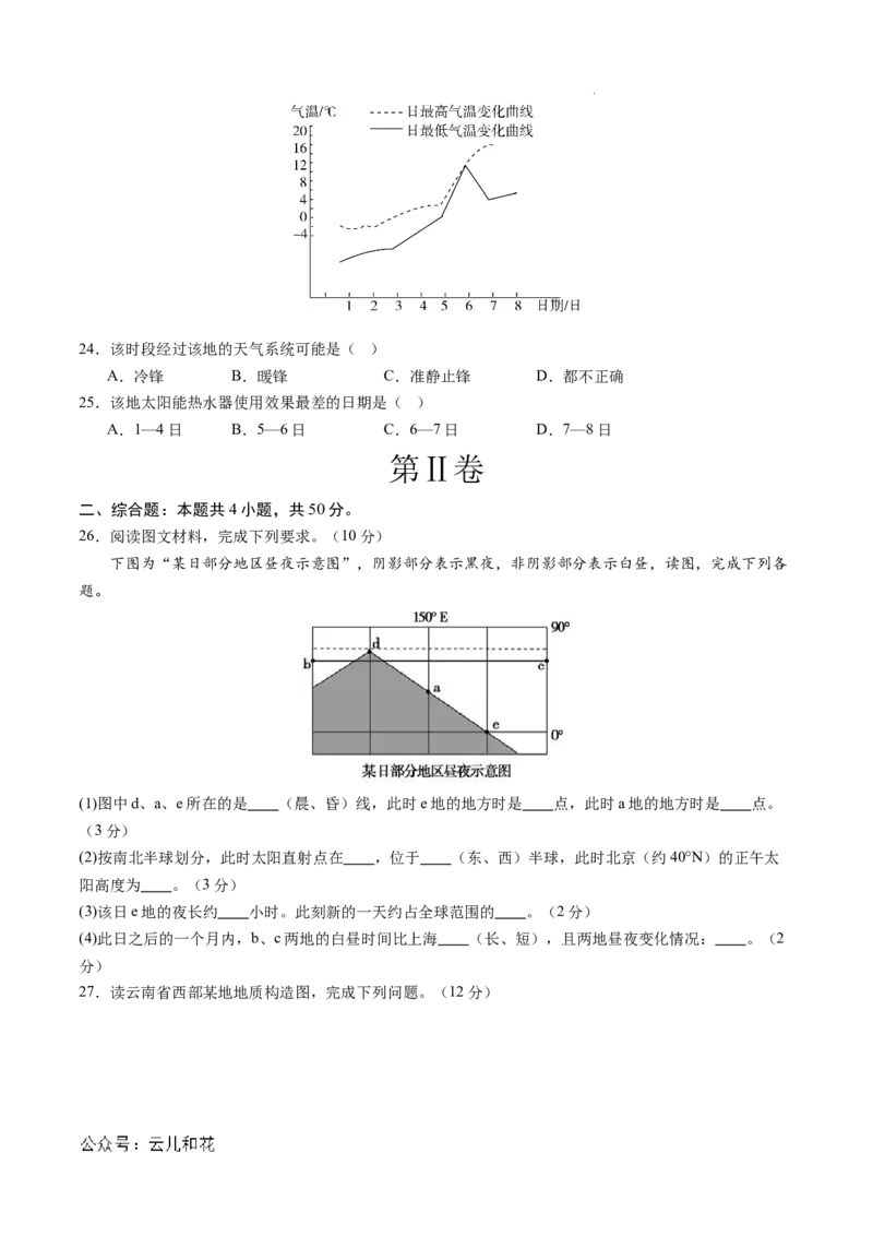
2024-2025 学年高二地理上学期第一次月考卷 (考试时间:90分钟 试卷满分:100分) 注意事项: 1.本试卷分第Ⅰ卷(选择题)和第Ⅱ卷(非选择题)两部分。答卷前,考生务必将自己的姓名、准 考证号填写在答题卡上。 2.回答第Ⅰ卷时,选出每小题答案后,用2B铅笔把答题卡上对应题目的答案标号涂黑。如需改动, 用橡皮擦干净后,再选涂其他答案标号。写在本试卷上无效。 3.回答第Ⅱ卷时,将答案写在答题卡上。写在本试卷上无效。 4.测试范围:人教版2019第1章~第3章第2节 5.考试结束后,将本试卷和答题卡一并交回。 6.难度系数:0.8 第Ⅰ卷 一、选择题:本题共25小题,每小题2分,共50分。在每小题给出的四个选项中,只有一项符合题 目要求。 北斗七星几乎是夜空中最亮、最容易识别的恒星。我国古代先民不仅用它来指示方向,还能用它区分 季节。图1为一年内四个日期的同一时刻看到的北斗七星位置的合成图。图2为北半球某地同一天甲、乙 两个不同时刻观测到的北斗七星与北极星的相对位置。完成下面小题。 1.图1中北斗七星斗柄的朝向变化是由于地球的( ) A.逆时针公转 B.逆时针自转 C.顺时针公转 D.顺时针自转 2.图2中,若甲是17:00,则乙约为( ) A.11:00 B.14:00 C.20:00 D.23:00 某中学以本地红花生长与应用为主题,开展跨学科学习系列活动。图1为活动方案略图,图2示意不 同地区的景观。读图,完成下面小题。 学科网(北京)股份有限公司3.采摘红花时,临近( ) A.雨水 B.小满 C.小暑 D.处暑 4.红花生长期间,同学们可观察的现象是( ) A.白昼时间先变长后变短 B.太阳辐射强度逐渐减弱 C.日落方位先南移后北移 D.正午旗杆影长逐渐变长 5.图示意贵阳与周边部分城市高铁线路及贵阳到达相应城市的时间。读图,完成下面小题。 学科网(北京)股份有限公司国庆放假,王同学计划从成都出发乘高铁到贵阳旅游,为免受阳光长时间照射且能欣赏窗外风景,出发时 间(北京时间)和座位最好选( ) A.8:00左右出发,左侧靠窗 B.10:00左右出发,左侧靠窗 C.12:00左右出发,左侧靠窗 D.14:00左右出发,右侧靠窗 北京时间2024年4月25日20时59分,神舟十八号载人飞船在酒泉卫星发射中心(40°58'N, 100°16'E)成功发射,并于26日凌晨与空间站组合体完成交会对接。神舟十七号的航天员于4月30日返回 地球。据此完成下列问题。 6.神舟十八号发射时,与我国处于同一天的范围大致占全球的( ) A.1/24 B.1/8 C.7/8 D.23/24 7.与神舟十八号发射时晨昏线相符的是( ) A. B. C. D. 下图为某日最线图,a、c为晨线的顶点,b点为晨线的中点,晨线在地球上为西北—东南走向,b点 的经度为50°E。据此完成下面小题。 8.根据图中信息判断有关此时各地时间的叙述,正确的是( ) A.世界时可能是2时40分 B.a点地方时可能是12时 C.b点地方时可能是14时 D.c点地方时可能是0时 9.假设一沿水平方向运动的物体从a点过b点到c点,其运动过程中的方向偏转表现是( ) A.向东—向西—向东 B.向西—向东—向西 C.向右—不偏转—向左 D.向左—不偏转—向右 中国山水画家多师法自然,其作品往往具有明显的地域特征,图为我国四幅山水画作品。完成14-15 小题。 学科网(北京)股份有限公司10.画中描绘喀斯特地貌景观的是( ) A.① B.② C.③ D.④ 11.画③中描绘的地貌类型形成原因是( ) A.冰川作用、风力作用 B.流水作用、冰川作用 C.风力作用、流水作用 D.生物作用、流水作用 白龙堆雅丹地貌位于罗布泊东北部,是在以灰白色沙泥岩夹石膏层为主的河湖相沉积物基础上发育, 高10—20m,长200—500m,弯曲延伸,远望就如蜷伏在大漠上的白色巨龙。下图示意白龙堆雅丹地貌及 周边地区。据此完成下面小题。 12.白龙堆雅丹地貌的延伸方向为( ) A.西北—东南方向 B.东北—西南方向 C.南北方向 D.东西方向 13.关于白龙堆雅丹地貌形成过程的推测,正确的是( ) A.地壳抬升—湖水干涸—地面龟裂—地壳下沉—风力、流水侵蚀—岩层沉积 B.地壳抬升—岩层沉积—地壳下沉—湖水干涸—地面龟裂—风力、流水侵蚀 C.地壳下沉—岩层沉积—地壳抬升—风力、流水侵蚀—湖水干涸—地面龟裂 D.地壳下沉—岩层沉积—地壳抬升—湖水干涸—地面龟裂—风力、流水侵蚀 广东省石根山风景区,有无数奇形怪状的岩石,景色优美。调查发现,石根山风景区岩石多由某类 硬度高、矿物结晶颗粒较大的致密岩石发生变质作用形成的。下面为石根山风景区景观图和岩石圈物质循 环示意图。读图,完成18-20小题。 学科网(北京)股份有限公司14.图中序号对应的地质作用,正确的是( ) A.①——外力作用 B.②——岩浆活动 C.③——变质作用 D.④——重熔再生 15.材料中的“某类硬度高、矿物结晶颗粒较大的致密岩石”和构成石根山风景区的主体岩石分别对应图 中的( ) A.甲、丙 B.甲、丁 C.乙、丙 D.乙、丁 16.石根山景观形成的地质过程是( ) A.岩浆侵入-变质作用-地壳抬升-风化、侵蚀 B.岩浆喷出-地壳抬升-变质作用-风化、侵蚀 C.岩浆喷出一变质作用一地壳抬升-沉积作用 D.岩浆侵入一地壳抬升-沉积作用-变质作用 下图为某区域地质剖面示意图。读图完成下面小题。 17.图中岩石形成最晚的是( ) A.甲 B.乙 C.页岩 D.石灰岩 18.图中乙岩石最可能的是( ) A.板岩 B.片麻岩 C.大理岩 D.玄武石 19.导致图中甲处岩层顶部缺失的原因是( ) A.背斜的底部岩性疏松被侵蚀而成 B.向斜的顶部岩性疏松被侵蚀而成 C.背斜的顶部岩性坚硬被侵蚀而成 D.背斜的顶部岩性疏松被侵蚀而成 循隆高速公路位于青海省循化撒拉族自治县和化隆回族自治县境内,全长40.4千米(桥隧比达 54%),有将近15千米路段穿越黄河公伯峡库区峡谷地带(见下图)。该地带地势陡峭、岩层破碎、地震 断层多,滑坡、崩塌、危岩及泥石流等不良地质地段随处可见,生态环境脆弱。该段公路最初的设计方案 是沿着库区两岸修建明线,但最终采用了桥隧比高达98%的方案。据此完成21-22小题。 学科网(北京)股份有限公司20.循隆高速全线桥隧比达54%的主要目的是( ) A.串联更多聚落 B.减小洪涝灾害威胁 C.提高运行效率 D.拓展桥隧建设市场 21.循隆高速公伯峡水库段最终采用“桥隧比达98%”的方案,主要得益于( ) A.缩短路程的需要 B.地形限制和环保要求提高 C.节省投资的需要 D.科技进步和生产力水平的提高 根据地层剖面特征可以推测所在区域地质历史时期的气候变化。某科研小组在黄河源区某河段沿岸进 行地层剖面考察发现:支沟山洪沉积层由该支沟爆发的山洪沉积而成;古洪水沉积层主要由黄河干流泥沙 沉积而成,该层为水平层理,分选性好,内部呈现粗细相间的沉积特征;随着气候变化又先后形成风成黄 土层和现代草甸土层。下图为该考察点位置及剖面地层序列示意图。据此完成下面小题。 22.根据材料,下列关于支沟山洪沉积层沉积物特征的描述,正确的是( ) A.颗粒细小,以粉砂、黏土为主 B.分选性好,磨圆度好 C.水平与垂直方向沉积物颗粒大小分异显著 D.层理结构不明显 23.推测古洪水沉积层形成期间发生特大洪水的次数最可能是( ) A.一次 B.两次 C.三次 D.四次 读我国某地某时段气温变化示意图,据此完成下面小题。 学科网(北京)股份有限公司24.该时段经过该地的天气系统可能是( ) A.冷锋 B.暖锋 C.准静止锋 D.都不正确 25.该地太阳能热水器使用效果最差的日期是( ) A.1—4日 B.5—6日 C.6—7日 D.7—8日 第Ⅱ卷 二、综合题:本题共4小题,共50分。 26.阅读图文材料,完成下列要求。(10分) 下图为“某日部分地区昼夜示意图”,阴影部分表示黑夜,非阴影部分表示白昼,读图,完成下列各 题。 (1)图中d、a、e所在的是 (晨、昏)线,此时e地的地方时是 点,此时a地的地方时是 点。 (3分) (2)按南北半球划分,此时太阳直射点在 ,位于 (东、西)半球,此时北京(约40°N)的正午太 阳高度为 。(3分) (3)该日e地的夜长约 小时。此刻新的一天约占全球范围的 。(2分) (4)此日之后的一个月内,b、c两地的白昼时间比上海 (长、短),且两地昼夜变化情况: 。(2 分) 27.读云南省西部某地地质构造图,完成下列问题。(12分) 学科网(北京)股份有限公司(1)简述云南省西部山高谷深地貌的形成过程。(4分) (2)指出甲地地质构造,并说明其形成现今谷地地貌的原因。(4分) (3)该地油气资源匮乏,试从地质构造角度说明理由。(4分) 28.阅读图文材料,完成下列要求。(13分) 材料一:下图为某地地质构造及地貌剖面示意图 (1)说出上图中甲、乙两处地质构造的名称:甲: ,乙: ,简述丙地貌的成因 。(4分) (2)指出上图中①②岩体中的形成较早的是 ;①岩石形成的主要地质作用是 ,②岩石形成的主要地 质作用是 。(5分) 材料二:下图为干旱型冲积扇(旱扇)和湿润型冲积扇(湿扇)示意图。 (3) 从物质来源、动力机制等角度简析冲积扇的形成条件(4分) 29.阅读材料,完成下列问题。(15分) 材料一:奥卡万戈三角洲别名为“奥卡万戈沼泽”,位于非洲博茨瓦纳西北部,面积约15000平方公 里,是世界上最大的内陆三角洲。这是一片位于卡拉哈里沙漠中部的天然绿洲,各种各样的动物都被吸引 至此,从而形成了相互联系非常紧密的动物群落。是世界上最大的内陆湿地,也是非洲南部现存最大的野 生动物保护区。非洲自然景观壮丽,其中①地是内陆三角洲——奥卡万戈三角洲,它由发源于高原的河流 在流入内陆盆地后形成,三角洲的面积在一年中季节差异大。 学科网(北京)股份有限公司材料二:好望角位于非洲西南端,因多暴风雨,海浪汹涌,故又称为“风暴角”。好望角及其邻近海 域一直是印度洋与大西洋互通的航道要冲。载重量在25万吨以上的巨轮无法通过苏伊士运河,需绕道非洲 南端的好望角。好望角海域几乎终年大风大浪,冬季常有“杀人浪”出现,这种浪波弱则5~6m高,强则 高达15m以上,浪头犹如悬崖峭壁,浪背如缓缓的山坡,受其侵袭而蒙难的船只不计其数,该海域是世界 最危险的航海区域之一。2022我国多地经历了自1961年以来最热的夏季,酷热难耐之际,一位正在南非 桌山旅游的网友发出“来桌山避暑吧”的邀请,引起网络热议。 (1)根据材料一说明奥卡万戈三角洲面积最大的季节是 ,并解析该季节面积最大的形成原因 。(3 分) (2)根据材料二和所学知识解析好望角海域冬季成为世界最危险的航海区域的主要原因。(6分) (3)从地理角度解析说明网友发出“来桌山避暑吧”的邀请的理由。(6分) 学科网(北京)股份有限公司