当前位置:首页>文档>五年级上数学一课一练-统计表和条形统计图(二)-苏教版2_小学1-6年级全部试卷_数学_五年级_3-10-3、小学五年级数学上册_3-10-3-2、练习题、作业、试题、试卷_苏教版_课时练

五年级上数学一课一练-统计表和条形统计图(二)-苏教版2_小学1-6年级全部试卷_数学_五年级_3-10-3、小学五年级数学上册_3-10-3-2、练习题、作业、试题、试卷_苏教版_课时练

  • 2026-04-09 10:41:46 2026-02-19 12:21:37

文档预览

五年级上数学一课一练-统计表和条形统计图(二)-苏教版2_小学1-6年级全部试卷_数学_五年级_3-10-3、小学五年级数学上册_3-10-3-2、练习题、作业、试题、试卷_苏教版_课时练
五年级上数学一课一练-统计表和条形统计图(二)-苏教版2_小学1-6年级全部试卷_数学_五年级_3-10-3、小学五年级数学上册_3-10-3-2、练习题、作业、试题、试卷_苏教版_课时练
五年级上数学一课一练-统计表和条形统计图(二)-苏教版2_小学1-6年级全部试卷_数学_五年级_3-10-3、小学五年级数学上册_3-10-3-2、练习题、作业、试题、试卷_苏教版_课时练
五年级上数学一课一练-统计表和条形统计图(二)-苏教版2_小学1-6年级全部试卷_数学_五年级_3-10-3、小学五年级数学上册_3-10-3-2、练习题、作业、试题、试卷_苏教版_课时练
五年级上数学一课一练-统计表和条形统计图(二)-苏教版2_小学1-6年级全部试卷_数学_五年级_3-10-3、小学五年级数学上册_3-10-3-2、练习题、作业、试题、试卷_苏教版_课时练

文档信息

文档格式
docx
文档大小
0.094 MB
文档页数
5 页
上传时间
2026-02-19 12:21:37

文档内容

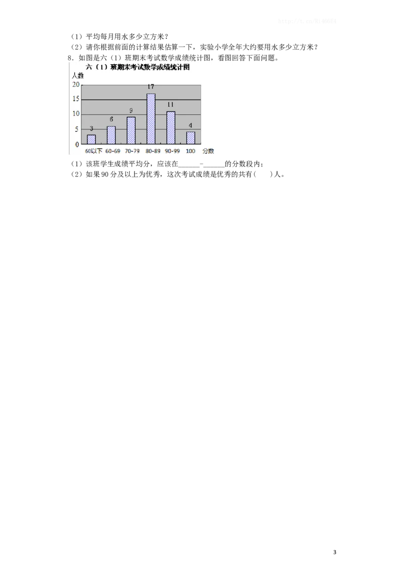
http://t.cn/Ri466E4 新苏教版小学数学五年级上册统计表和条形统计图(二): 复式条形图 1.如图是六、一班上期数学成绩统计图(学生分数都是整数分),其中( )分数 段人数最多。 A.0-59 B.80-99 C.100 2.如图显示了四个同学的身高.图表中没有学生的名字,已知小刚最高,小丽最矮, 小明比小红高,请问小红的身高是( )。 A.150厘米 B.125厘米 C.100厘米 D.75厘米 3.如图是某服装店四个季度的销量统计图(单位:万元),从图中可以看出,销量最 高的是( )。 A.第一季度 B.第二季度 C.第三季度 D.第四季度 4.2010年初前,我国西南地区发生重大旱灾,某小学学生利用零用钱向遭受旱灾的 学校捐资。 教育 1http://t.cn/Ri466E4 (1)( )年级的捐资金额最多,这个学校平均每个年级捐款是( )元。 (2)二年级捐资金额比四年级捐资金额少( )元。 (3)四年级捐资金额比五年级少( )元。 5.深圳市某风景点近几年来游客人数统计图。 (l)2000年的游客人数比1998年增长( )万人。 (2)2002年的游客人数比2000年增长( )万人。 6.如图是广本汽车销售店年一月至五月的销售情况统计图。 请你根据上图,完成以下的填空: ①( )月的销售量最少。 ②二月份的销售量比一月份多( )台。 7.如图是实验小学今年1~4月份的用水情况统计图。 教育 2http://t.cn/Ri466E4 (1)平均每月用水多少立方米? (2)请你根据前面的计算结果估算一下,实验小学全年大约要用水多少立方米? 8.如图是六(1)班期末考试数学成绩统计图,看图回答下面问题。 (1)该班学生成绩平均分,应该在______-______的分数段内; (2)如果90分及以上为优秀,这次考试成绩是优秀的共有( )人。 教育 3http://t.cn/Ri466E4 参考答案 1.B 【解析】由统计图可知:0-59分的有3人,60-79分的有10人,80-99分的有20人,100 分的有7人;故选:B。 考点:复式条形图。 总结:只要细心便可得出答案哦。 2.C 【解析】运用排除法,去掉最高和最矮,再由小明比小红高判断余下的两个。 小刚最高,小丽最矮,那么小红就不是最高的150厘米和75厘米;还剩下125厘米和100 厘米,由于小明比小红高,那么高的125厘米就是小明的身高,较矮的100厘米就是小红 的身高。故答案选:C。 考点:复式条形图。 总结:本题需要从统计图上找出四个升高数据,再根据题目给出的条件进行排除和推理。 3.D 【解析】本图是条形统计图,直条最高的表示数据最大,由此求解.从图中可以看出,销 量最高的是第四季度.故选:D 考点:复式条形图。 总结:本题抓住条形统计图的特点,根据直条表示数据的多少直接求解。 4.六,430,50,100 【解析】(1)比较直条高矮就可找出捐款的多少;求出六个年级捐款的总数,然除以6就 是平均每个年级捐款的钱数;(2)用四年级捐款的钱数减二年级捐款的钱数即可;(3) 求出四年级比五年级少捐多少钱即可。 (1)六年级的捐资金额最多; (370+350+420+400+500+540)÷6, =2580÷6, =430(元). 答:这个学校平均每个年级捐款是 430元. (2)400-350=50(元) 答:二年级捐资金额比四年级捐资金额少50元 (3)(500-400=100(元) 答:四年级捐资金额比五年级少100元 考点:复式条形图。 总结:先根据统计图读出数据,再结合问题找出数量关系列式求解. 5.4,6.5 【解析】读图可知,1998年的人数是8万人,2000年的人数是12万人,2002年的人数是 18.5万人。(l)2000年的游客人数比1998年增长()万人,只需12-8=4(万人); (2)2002年的游客人数比2000年增长()万人.只需18.5-12=6.5(万人)。 考点:复式条形图。 总结:要学会看题型选择最简单的方法。 6.一,20 【解析】①通过观察统计图可知:一月份的销售量最少.②根据求一个数比另一个多几用 减法解答。 解:①一月份的销售量最少。 ②80-60=20(台); 教育 1http://t.cn/Ri466E4http://t.cn/Ri466E4 答:二月份的销售量比一月份多20台。 考点:复式条形图。 总结:此题考查的目的是理解掌握条形统计图的特点及作用,并且能够根据统计图提供的 信息解决有关的实际问题。 7.528立方米 【解析】(1)(48+56+32+40)÷4=44(立方米) 答:平均每月用水44立方米。 (2)44×12=528(立方米) 答:实验小学全年大约要用水528立方米。 8.70,79;15 【解析】(3+6+9+17+11+4)÷6≈8.3 所以答案为:70-79;11+4=15(人),所以答案为15。 教育 http://t.cn/Ri466E42