当前位置:首页>文档>重庆市南开中学校2025届高三第四次质量检测数学答案_2024-2025高三(6-6月题库)_2024年12月试卷_1208重庆市南开中学校2025届高三第四次质量检测

重庆市南开中学校2025届高三第四次质量检测数学答案_2024-2025高三(6-6月题库)_2024年12月试卷_1208重庆市南开中学校2025届高三第四次质量检测

  • 2026-04-11 13:13:34 2026-02-19 16:08:04

文档预览

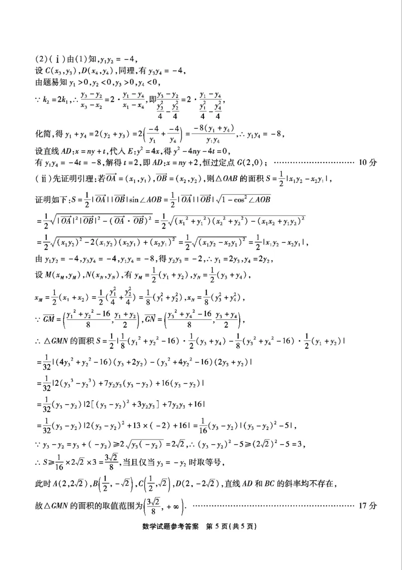
重庆市南开中学校2025届高三第四次质量检测数学答案_2024-2025高三(6-6月题库)_2024年12月试卷_1208重庆市南开中学校2025届高三第四次质量检测
重庆市南开中学校2025届高三第四次质量检测数学答案_2024-2025高三(6-6月题库)_2024年12月试卷_1208重庆市南开中学校2025届高三第四次质量检测
重庆市南开中学校2025届高三第四次质量检测数学答案_2024-2025高三(6-6月题库)_2024年12月试卷_1208重庆市南开中学校2025届高三第四次质量检测
重庆市南开中学校2025届高三第四次质量检测数学答案_2024-2025高三(6-6月题库)_2024年12月试卷_1208重庆市南开中学校2025届高三第四次质量检测
重庆市南开中学校2025届高三第四次质量检测数学答案_2024-2025高三(6-6月题库)_2024年12月试卷_1208重庆市南开中学校2025届高三第四次质量检测

文档信息

文档格式
pdf
文档大小
0.133 MB
文档页数
5 页
上传时间
2026-02-19 16:08:04