当前位置:首页>文档>湖南省湘潭市2021年中考生物试题(原卷版)_8.生物中考真题2015-2024年_地区卷_湖南省_湖南湘潭生物18-22

湖南省湘潭市2021年中考生物试题(原卷版)_8.生物中考真题2015-2024年_地区卷_湖南省_湖南湘潭生物18-22

  • 2026-04-08 11:22:29 2026-02-22 06:55:10

文档预览

湖南省湘潭市2021年中考生物试题(原卷版)_8.生物中考真题2015-2024年_地区卷_湖南省_湖南湘潭生物18-22
湖南省湘潭市2021年中考生物试题(原卷版)_8.生物中考真题2015-2024年_地区卷_湖南省_湖南湘潭生物18-22
湖南省湘潭市2021年中考生物试题(原卷版)_8.生物中考真题2015-2024年_地区卷_湖南省_湖南湘潭生物18-22
湖南省湘潭市2021年中考生物试题(原卷版)_8.生物中考真题2015-2024年_地区卷_湖南省_湖南湘潭生物18-22
湖南省湘潭市2021年中考生物试题(原卷版)_8.生物中考真题2015-2024年_地区卷_湖南省_湖南湘潭生物18-22
湖南省湘潭市2021年中考生物试题(原卷版)_8.生物中考真题2015-2024年_地区卷_湖南省_湖南湘潭生物18-22
湖南省湘潭市2021年中考生物试题(原卷版)_8.生物中考真题2015-2024年_地区卷_湖南省_湖南湘潭生物18-22
湖南省湘潭市2021年中考生物试题(原卷版)_8.生物中考真题2015-2024年_地区卷_湖南省_湖南湘潭生物18-22
湖南省湘潭市2021年中考生物试题(原卷版)_8.生物中考真题2015-2024年_地区卷_湖南省_湖南湘潭生物18-22
湖南省湘潭市2021年中考生物试题(原卷版)_8.生物中考真题2015-2024年_地区卷_湖南省_湖南湘潭生物18-22
湖南省湘潭市2021年中考生物试题(原卷版)_8.生物中考真题2015-2024年_地区卷_湖南省_湖南湘潭生物18-22

文档信息

文档格式
doc
文档大小
0.321 MB
文档页数
11 页
上传时间
2026-02-22 06:55:10

文档内容

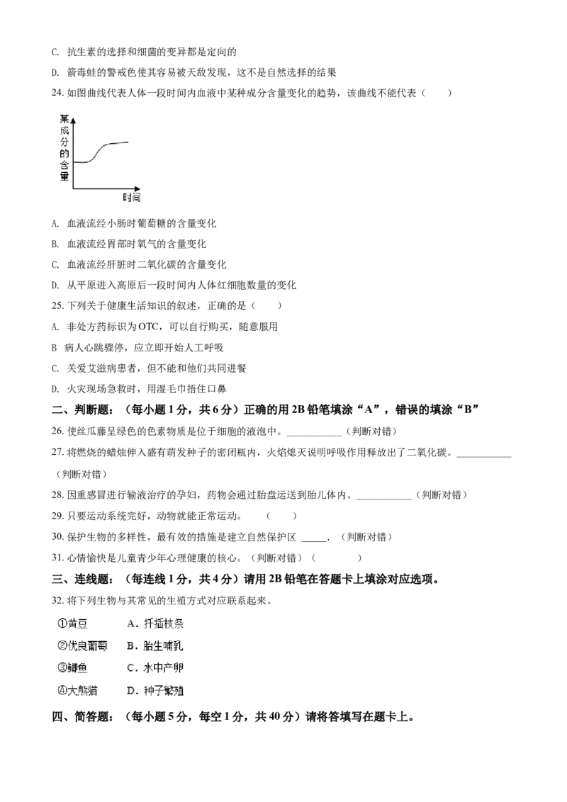
2021 年湖南省湘潭市中考生物试卷 一、选择题:(每小题2分,共50分)以下各题均只有一个最佳答案,请将所选的代号用 2B铅笔填涂在答题卡上。 1. 含羞草受到人手指的触碰后,叶子会合拢,这一现象体现的生物特征是( ) A. 生活需要营养 B. 能生长繁殖 C. 能对外界刺激作出反应 D. 具有遗传变异的特性 2. 如图是某湿地生态系统的食物网简图,下列说法不正确的是( ) A. 该食物网中包含四种生物的食物链有四条 B. 该食物网中生物体内的能量最终来源于太阳能 C. 生物C和D之间既有捕食关系又有竞争关系 D. 在该食物网中,G体内有毒物质的含量最高 3. 橘子是生活中常见的水果。吃橘子时,剥去橘子的外皮,你会发现里面有一些“丝络”,橘子瓣有很多 汁水,你认为橘皮,“络”、橘肉分别对应的主要组织是( ) A. 上皮组织、输导组织、营养组织 B. 上皮组织、分生组织、肌肉组织 C. 保护组织、输导组织、营养组织 D. 保护组织、机械组织、结缔组织 4. 叶既是吸收水分和无机盐的主要器官又是光合作用的主要场所的植物是( ) A. 葫芦藓 B. 海带 C. 卷柏 D. 花生 5. 剥开一颗长粒花生,看到里面有五粒花生米,下列对此现象解释合理的是( ) A. 一朵花中有五个子房 B. 一朵花中有五颗胚珠 C. 此颗花生由五朵花结出 D. 一朵花的一个胚珠中有五颗卵细胞 的 6. 生产生活中,下列采取 措施与目的不一致的是( )A. 移栽植物时根部带土团——保护幼根和根毛 B. 晒干谷子才入粮仓储存——减少有机物的消耗 C. 给果木打针输液一一主要为植物提供有机物 D. 种庄稼时要“正其行,通其风”——利于补充光合作用的原料 7. 下列有关青春期生理变化的叙述,正确的是( ) A. 生殖器官开始形成 B. 男孩在青春期偶尔遗精会影响身体健康 C. 身高突增是青春期的一个显著特征 D. “女大十八变,越变越好看,”引起这种变化的器官是子宫 8. 人体生命活动的维持需要不断从外界摄取营养,下列相关说法不正确的是( ) A. 青少年应选择含蛋白质、钙较丰富的食物 B. 米、面中含有淀粉,是人体主要供能物质 C. 皮肤干燥、夜盲症患者多吃新鲜的柑橘可以大大缓解症状 D. 蛋白质是建造和修复身体的重要原料 9. 如表是杨女士在医院体检时检验报告单中的部分数据,分析她可能存在的问题是( ) 血液细胞计数(个/立方毫米) 红细胞(百万) 白细胞(百万) 血小板(万) 正常 3.5~5.0 40~100 10~30 杨女士 2.81 81 27 A. 无能力抵抗疾病 B. 皮肤划伤小口后会出血不止 C. 心跳不规则 . D 组织细胞中氧含量较低 10. 用体重相近,发育正常且程度相似的甲、乙、丙三只雄性小狗进行实验,甲不作处理,乙、丙分别切 除某种内分泌腺,几个月后分别测定其血液中的激素含量,如表所示(单位:微克/100毫升血液),据表 分析错误的是( ) 激素名称 甲 乙 丙 甲状腺激素 3 3.1 0.08 生长激素 6 0.05 6.05 A. 甲 在实验中起对照作用B. 乙切除的是垂体 C. 丙切除的是甲状腺 D. 手术后丙狗发育正常 11. “倒车,请注意!”路人听见提示音后,可以及时躲避车辆,避免了交通事故的发生。下列叙述中, 正确的是( ) A. 该反射活动不需要大脑参与 B. 该反射活动使人体更好地应对外界环境 C. 倒车提示音刺激鼓膜产生神经冲动 D. 听觉最终形成于耳蜗中 12. 关节中可以减少骨与骨之间摩擦的滑液存在于( ) A. 关节囊 B. 关节腔 C. 关节头 D. 关节窝 13. 小亮的宠物狗“豆豆”经过7~8天的训练,就学会了到指定的地方大小便。关于“豆豆”定点大小便 的行为,下列说法错误的是( ) A. 这种行为是小狗生来就有的,由体内遗传物质所决定的 B. 这种行为是一种比较复杂的反射活动 C. 同种的不同宠物狗,学会定点大小便所花的时间可能不一样 D. 这种行为,是在先天性行为的基础上形成的 14. 我国科学家陈薇院士带领科研团队研发的新冠疫苗是将新冠病毒的部分基因插入到腺病毒中,构建出 重组腺病毒载体疫苗,下列实例中所运用的生物技术与此不同的是( ) A. 利用大肠杆菌生产胰岛素 B. “多莉”羊的诞生 C. 导入杀虫毒素基因培育抗虫棉 D. 注入大鼠生长激素基因培育超级鼠 15. 下列有关生活中食品保存和发酵食品制作的叙述,错误的是( ) A. 制作腐乳和酱主要是利用了霉菌的作用 B. 真空包装能延长食品保存时间,是因为抑制了需氧菌的生长繁殖 C. 白酒酿造过程中,首先需要酵母菌将淀粉分解成葡萄糖 D. 制作酸奶时,先将牛奶加热煮沸是为了杀死杂菌 16. “鹰击长空,鱼翔浅底,万类霜天竞自由”。关于诗中动物的叙述错误的是( ) A. 鹰有发达的翼,飞行能力较强 B. 鹰的体温恒定,能适应多变的环境 C. 鳍摆动为鱼游泳提供主要动力 D. 鱼依靠鳃进行呼吸,适于水中生活 17. “身体呈圆筒形,由许多彼此相似的体节组成,靠刚毛辅助运动”,具有以上特征的动物是( ) A. 蝗虫 B. 蚯蚓 C. 蛔虫 D. 水螅18. 下列属于相对性状的是( ) A. 小苗的A型血和小森的B型血 B. 豌豆的圆粒与菜豆的皱粒 C. 小梦的双眼皮与小莉的双眼皮 D. 菊花的红色和柑橘花的白色 19. 牛的体细胞中有30对染色体,其性别决定与人类相同。其卵细胞中染色体组成是 A. 29条+X B. 29条+Y C. 29对+XX D. 29对+XY 20. 下列各种疾病中,都属于传染病的是( ) A. 肺结核、糖尿病、坏血病 B. 蛔虫病、佝偻病、水痘 C. 高血压、手足口病、淋病 D. 麻疹、流感、乙型肝炎 21. 用显微镜观察草履虫时,在不更换目镜的情况下,依次观察到如图甲和图乙的视野,下列相关叙述正 确的是( ) A. 观察图乙所用的物镜比观察图甲的物镜短 B. 要从图甲转换成图乙视野应先将玻片往右上方移动 C. 图甲中出现“A”所示情况的原因是玻片未擦干净 D. 图甲视野中草履虫的纤毛区分度不高,可尝试转换发较小光圈进行观察 22. 如图表示人体内部分血管及血流方向,下列说法错误的是( ) A. A、C血管中的成分可能是一样的 B. 如果A血管内流的是静脉血,C血管内流的一定是动脉血 C. 若B是毛细血管,A、C可能都是小动脉 D. B血管管壁只有一层上皮细胞构成,适于进行物质交换 23. 下列关于自然选择的叙述,正确的是( ) A. 蚊子为了适应蚊香的环境,产生了抗药性变异 B. 常刮大风的海岛上,昆虫的残翅是有利变异C. 抗生素的选择和细菌的变异都是定向的 D. 箭毒蛙的警戒色使其容易被天敌发现,这不是自然选择的结果 24. 如图曲线代表人体一段时间内血液中某种成分含量变化的趋势,该曲线不能代表( ) A. 血液流经小肠时葡萄糖的含量变化 B. 血液流经胃部时氧气的含量变化 C. 血液流经肝脏时二氧化碳的含量变化 D. 从平原进入高原后一段时间内人体红细胞数量的变化 25. 下列关于健康生活知识的叙述,正确的是( ) A. 非处方药标识为OTC,可以自行购买,随意服用 . B 病人心跳骤停,应立即开始人工呼吸 C. 关爱艾滋病患者,但不能和他们共同进餐 D. 火灾现场急救时,用湿毛巾捂住口鼻 二、判断题:(每小题1分,共6分)正确的用2B铅笔填涂“A”,错误的填涂“B” 26. 使丝瓜藤呈绿色的色素物质是位于细胞的液泡中。___________(判断对错) 27. 将燃烧的蜡烛伸入盛有萌发种子的密闭瓶内,火焰熄灭说明呼吸作用释放出了二氧化碳。___________ (判断对错) 28. 因重感冒进行输液治疗的孕妇,药物会通过胎盘运送到胎儿体内。___________(判断对错) 29. 只要运动系统完好,动物就能正常运动。 ( ) 30. 保护生物的多样性,最有效的措施是建立自然保护区 _____.(判断对错) 31. 心情愉快是儿童青少年心理健康的核心。(判断对错)( ) 三、连线题:(每连线1分,共4分)请用2B铅笔在答题卡上填涂对应选项。 32. 将下列生物与其常见的生殖方式对应联系起来。 四、简答题:(每小题5分,每空1分,共40分)请将答填写在题卡上。33. 阅读以下两则资料,回答相关问题: 要料一:2021年5月22日,中国“杂交水稻之父”袁隆平于长沙病逝,享年91岁,生前他带领团队研发 的海水稻实现了“向中国百万亩盐碱地要粮”的愿景,海水稻是耐盐碱水稻的俗称,能生长在海边滩涂等 盐(碱)浓度在0.3%以上的盐碱地,具有抗病虫、耐盐碱、不需施肥三大特性,2017年中国科学院夏新 所带领的团队成功研发出巨型稻,替袁老实现了“天下乘凉”的梦想,“巨型稻”平均株高超过1.8米, 茎杆壮实,直径粗约1厘米,抗病虫、抗倒伏能力强,还能为鱼类、蛙类等稻田养殖动物提供良好的栖息 环境,实现与青蛙、鱼、等“和谐共处”的生态种养新模式,大大提高生态效益和经济效益。 数料二:图一中A、B、C、D表示水稻的不同结构层次,图二、图三分别表示稻花(两性花)和稻谷的基 本结构。 (1)从植物体结构层次上来看,稻谷属于图一中[]___________层次(“[]”填图中字母, “(___________)”填名称)。 (2)图三稻谷中④是新植物体的幼体,是由图二①中的精子与②中的___________结合之后发育而来。 (3)在巨型稻农田生态系统中,光照、温度、青蛙、鱼类等影响巨型稻生活的因素统称为__________。 (4)巨型稻的茎杆直径能达约1厘米,但不能像很多树木一样不断增粗,这是因为水稻的茎_______。 (5)海水稻能在海边滩涂等盐碱地生长,你推测其不需要施肥的原因是_________。 34. 生物兴趣小组的同学为研究子叶在种子萌发和幼苗生长中的作用,设计了如下实验: ①取菜豆种子500粒,平均分成五组(一~五),浸入水中24小时,让其萌发。 ②选择其中4组种子,在萌发的不同时间除去子叶。 ③两周后,收集所有幼苗,烘干,称量干重(主要是有机物的质量),所得结果如表所示。 组别 处理方法 平均干重(克/株) 一 不除去子叶 4.3 二 在萌发的第4天除去子叶 0.7 三 在萌发的第7天除去子叶 1.8 四 在萌发的第10天除去子叶 4.0 五 在萌发的第13天除去子叶 4.3 (1)菜豆种子浸种时间不能太长,否则种子会因缺少___________而死亡。(2)由表格可知,在种子萌发第___________天时除去子叶,对幼苗的生长几乎不会造成影响。 (3)图一表示菜豆种子的萌发过程,其中X是由种子胚中的___________发育而来。 (4)图二表示在自然状态下,完整的种子萌发过程中质量的变化,其中可表示有机物质量变化的曲线是 ___________。 (5)菜农常在黑暗条件下萌发豆苗(豆芽菜),出售时因豆苗总质量远大于萌发时所用豆子的总质量而 收获经济效益,你认为该现象可用图二曲线中的___________段来解释最合理(填图二中字母)。 35. 人体是一个统一的整体,生命活动的完成依赖于各系统既有分工又协调配合。如图为人体部分生理活 动过程示意图,其中A、B、C、D表示系统,①②③表示生理过程,④⑤表示生理结构,请据图回答问题: (1)过程①时,与A系统相关的膈肌状态为___________。 (2)在B系统中,小肠是人体吸收营养物质的主要场所,下列与吸收功能关联不紧密的一项是 ___________。 A.小肠绒毛内有丰富的毛细血管 B.小肠很长,内有环形皱装和小肠绒毛 C.大量消化液都汇入小肠内 D.小肠绒毛表面由一层上皮细胞构成 (3)B系统消化吸收的氨基酸进入C系统后,氨基酸随血液循环经过心脏四腔的顺序是___________。(4)小明肺炎住院,需静脉点滴治疗,为便于准确将针刺入手臂中的血管,扎针前护士会在针刺部位的 ___________(填“近心端”或“远心端”)用胶皮管捆扎起来,使血管影胀。 (5)在D系统中,正常情况下⑤处结构中的液体与组织细胞处的血液相比缺少___________。 36. 每个人都生活在复杂多变的环境中,当环境发生变化时,我们的身体会作出相应的反应。请结合刘晓 同学乘坐公交车放学回家途中的经历,利用所学知识,回答相关问题: (1)刘晓坐在公交车上,远处的高楼、树木和近处的行人都能看清楚,这是由于人的眼球通过调节图甲 中[]___________的曲度,使远近物体形成的物像都能清晰地落在视网膜上。 (2)刘晓坐在座位上,翘着二郎腿,突然想起今天生物课上做过一个有趣的实验:膝跳反射,便试着做 了一下,但现象不明显;叩击膝盖下方的韧带时,小腿并没有迅速向上抬起。乙图是膝跳反射的反射弧示 意图,请将图中字母进行排序,以表示该反射过程中神经冲动的产生和传导过程(提示:从a点开始) ___________。你认为刘晓体验膝跳反射不成功可能的原因是___________。(答出一条即可) (3)急刹车时刘晓不小心头碰到前排座椅靠背上,受到惊吓,刺激了___________内调节呼吸、心跳的神 经中枢,使她出现心跳加速,呼吸急促的反应,同时她体内的肾上腺素分泌增加,神经兴奋性增加,反应 更加灵敏,以上情况说明人体生命活动是由___________共同调节的结果。 37. 今年我国已有多款新冠疫苗获批上市,接种新冠疫苗是筑起群体免疫屏障的最好办法,截止到6月3日, 累计报告全国接种新冠病毒疫苗超7亿剂次,请分析回答: (1)健康人、新冠肺炎、新冠肺炎病人、新冠肺炎病人的飞沫、新冠病毒分别属于___________。 ①传染源 ②传染病 ③病原体 ④传播途径 ⑤易感人群 A.④⑤③②① B.⑤②①③④ C.⑤①②③④ D.⑤②①④③(2)如图为人体初次及再次免疫过程中,抗体产生的一般规律,请据图回答:在第一次受到抗原刺激时, ___________细胞会产生相应的抗体。当同样的抗原再次刺激时,机体会快速产生___________(填“大 量”或“少量”)的相应抗体,将抗原清除。 (3)注射新冠病毒疫苗属于预防传染病措施中的___________。 (4)新冠病毒疫苗接种温馨提示:回家后注射部位保持清洁,24小时内不洗澡。这是因为注射的针孔部 位有损伤,皮肤和黏膜组成的人体第___________道防线被破坏,容易造成感染。 38. 垃圾分类关系着广大人民群众的生活环境,随着我市公共绿地建设的迅速发展,枯枝落叶等垃级不断 增多,某兴趣社同学开展了“细菌对落叶的分解作用”的探究,实验方案如下: 方案一:将樟树的部分落叶进行灭菌处理后,平均分成甲、乙两组,甲组接种细菌,乙组不接种细菌,两 组都放在相同且适宜的环境中恒温培养。 方案二:取樟树和枫树的等量落叶,分别标为丙组和丁组,将两组落叶进行灭菌处理后,丙组接种细菌, 丁组不接种细菌,两组都放在相同且适宜的环境中恒温培养。 根据上述实验方案,回答下列问题: (1)该实验探究提出的问题是___________? 的 (2)比较以上两种实验方案,你认为较科学 是方案________,原因是该方案符合________原则。 (3)在两组实验的恒温培养过程中,方案一的甲组和方案二的丙组如果出现了大量光滑黏稠的白色物 质,则可判断这是___________。 (4)生活中,我们用过的矿泉水瓶和废纸张应投入图中的___________(填序号)垃圾箱里。 39. 某校生物兴趣社的同学为探究绿色植物在维持碳一氧平衡中的作用,在老师的带领下设计了如图一所 示的密闭透明的实验装置(此实验忽略温度等因素对装置内气体体积等的影响):将图一装置放在室外培养24小时,连接氧气检测仪,测得装置内一昼夜氧气浓度的变化曲线如图二;图三表示该装置内植物叶肉 细胞中的某些生理活动,请据图分析作答: (1)分析图一和图二可知,随着时间推移,红墨水滴的位置在一天中___________时移动到最右端(填数 字)。 (2)图三中丙代表氧气,则甲代表的能量转换器是___________(填细胞结构)。 (3)若图三中数字④和⑥所示的生理活动不发生时,对应的是图二曲线中的_________段(填图中字母)。 (4)分析图二,该植物在一天中积累了有机物,依据是曲线中A点低于________点(填图中字母)。 (5)若想利用图一装置继续探究绿色植物的蒸腾作用,则应对装置进行的改进是___________。 40. 阅读科普短文,回答问题。 常见的双胞胎有同卵双胞胎和异卵双胞胎,同卵双胞胎是由一个受精卵发育而来,共用一个胎盘;异卵双 胞胎是由两个不同的受精卵发育而来,有两个胎盘。 2014年来自澳洲的一名28岁女性,怀孕6周的超声波检查结果显示,她怀上了一对双胞胎,影像中可以 清楚地看到只有一个胎盘,表明这对双胞胎应该是同卵双胞胎,但是14周的超声波检查让医生觉得困感, 影像中显示了一个男孩和一个女孩,而这在一般情况下是不可能发生在同卵双胞胎中的。 如何解释这对奇怪的双胞胎呢?他们极有可能是一个卵细胞与两个精子受精融合而成的(如图所示)。 首先,两个精子进入同一个卵细胞,形成一个异常受精卵,经过特殊的细胞分裂之后,形成了三种细胞, 其中一种细胞包含来自两个精子的染色体,也就是说,它只包含来自父亲的遗传物质,没有来自母亲的遗 传物质;而另外两种细胞,既包含来自父亲的遗传物质又包含来自母亲的遗传物质。在发育过程中,仅含 有父亲遗传物质的细胞死亡,含有父母双方遗传物质的细胞继续分裂,之后分开为两个胚胎,形成了双胞 胎,这称为“半同卵”双胞胎。目前全世界仅发现两例“半同卵”双胞胎,有关双胞胎遗传学的研究还在继续。 请结合短文内容,分析作答: (1)自然状态下,精子与卵细胞在___________内结合形成受精卵。 (2)文中提到的这一例“半同卵”双胞胎是由异常受精卵发育而成。由图二到图三过程中细胞核1分裂成 4和5,2分裂成6和7,3分裂成8和9,在这个过程中,染色体会先___________,后均分,进入两个新 细胞核中,确保新细胞核与原细胞核含有相同的染色体,若甲体内的染色体来自4和9,那么,乙体内的 染色体来自___________(填数字序号)。 (3)人的能卷舌(A)对不能卷舌(a)为显性,若妈妈能卷舌,孩子甲不能卷舌,乙能卷舌。据图可知, 图二中细胞核1携带的基因为___________,孩子乙能卷舌的A基因来自于父亲的概率为___________。