当前位置:首页>文档>2014数学一解析_26.考研数学(一)(二)(三)真题_26.1考研数学(一)真题_02.1987-2025年数一真题答案解析

2014数学一解析_26.考研数学(一)(二)(三)真题_26.1考研数学(一)真题_02.1987-2025年数一真题答案解析

  • 2026-03-06 23:54:49 2026-02-23 17:11:17

文档预览

2014数学一解析_26.考研数学(一)(二)(三)真题_26.1考研数学(一)真题_02.1987-2025年数一真题答案解析
2014数学一解析_26.考研数学(一)(二)(三)真题_26.1考研数学(一)真题_02.1987-2025年数一真题答案解析
2014数学一解析_26.考研数学(一)(二)(三)真题_26.1考研数学(一)真题_02.1987-2025年数一真题答案解析
2014数学一解析_26.考研数学(一)(二)(三)真题_26.1考研数学(一)真题_02.1987-2025年数一真题答案解析
2014数学一解析_26.考研数学(一)(二)(三)真题_26.1考研数学(一)真题_02.1987-2025年数一真题答案解析
2014数学一解析_26.考研数学(一)(二)(三)真题_26.1考研数学(一)真题_02.1987-2025年数一真题答案解析
2014数学一解析_26.考研数学(一)(二)(三)真题_26.1考研数学(一)真题_02.1987-2025年数一真题答案解析
2014数学一解析_26.考研数学(一)(二)(三)真题_26.1考研数学(一)真题_02.1987-2025年数一真题答案解析
2014数学一解析_26.考研数学(一)(二)(三)真题_26.1考研数学(一)真题_02.1987-2025年数一真题答案解析
2014数学一解析_26.考研数学(一)(二)(三)真题_26.1考研数学(一)真题_02.1987-2025年数一真题答案解析
2014数学一解析_26.考研数学(一)(二)(三)真题_26.1考研数学(一)真题_02.1987-2025年数一真题答案解析

文档信息

文档格式
pdf
文档大小
3.637 MB
文档页数
11 页
上传时间
2026-02-23 17:11:17

文档内容

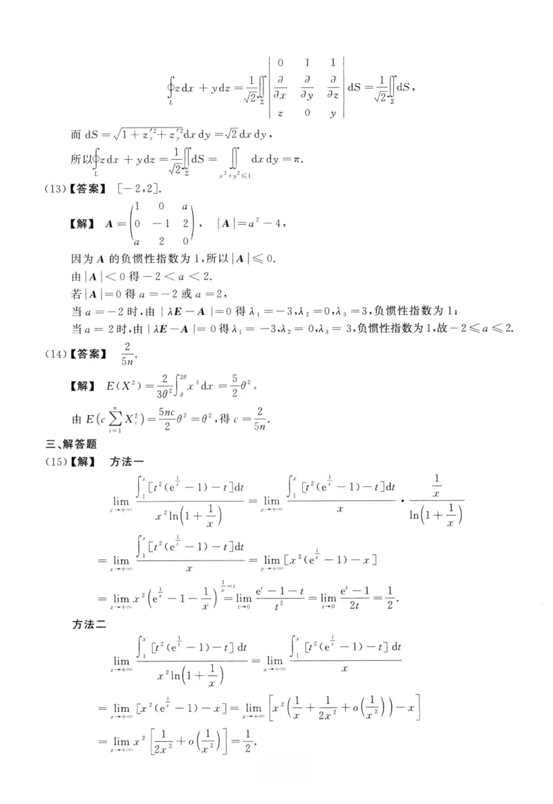
2014年数学(一)真题解析 一、选择题 (1)【答案】(C). 【解】对y + sin —, x 由 lim — = lim (1 + —sin —) = 1, lim (3/ — x) = limsin — = 0 得曲线y =x + sin —有斜渐近线y =x,应选(C). x (2)【答案】(D). 【解】 方法一 令 = /(j?) —g(j?) = /(a-) —/(0)(l —j?) —/(l)jr 且爭"(h ) = f "〈工), 当f"〈工)$ 0时,申"(z ) = f"(工)$0,曲线y =(p (工)为凹函数, 因为卩(0)=0,甲(1)=0,所以当z G [0,1]"时,卩(z) W0, 即7"(工)£ g (工),应选(D). 方法二 如图所示,当f"(工)A 0时,y =/(jc )为凹函数, 因为y=gQ)为连接A(0,/(0))与B(l,/(1))的直线, 所以/(攵)M g (工),应选(D). 方法点评:本题考查函数大小比较. 利用凹凸性证明不等式是不等式证明的重要方法,设函数/(^)在[a,b]上二阶可导,且 /"(•r)$0(W0),若 f (a) =/(6) =0,则当工 G \_a ,b~\ 时,/'(工)=0($0). (3)【答案】(D). A = rcos 9 , 【解】 令 . b = r sin 9 , ] 则0 sin 6 + cos 0 O2 = ^(r ,(9) | 守 , 则]j、~ = JZ d^JroU,+,nS/(rcos 0 ,rsin (9)rdr H-Jn /(rcos 9 ,rsin (9)rdr, 应选(D). (4)【答案】(A). 【解】 令 F(a,b) = [ (jr — a cos x — bsin x )2 dj? (jc2 +a2cos2jr + 62sin2a: — 2ax cos x — 2bg sin x +2absin x cos jc )dz =2 (o'2 + a2cos2jc + 62sin2jr — 2bx sin 工)d_z J o_A 3 3 71 + 2a2 cos2jc dx + 21)1 sin2 jc dr — 4b jc si 0 0 J 0 _A 3 + 4/ 2 cos2 j; dj? + 462 rf si . n 2 x dj? 一 4b •— 7T sin x dx 3兀 0 'o 2 - o 2 =—7t 3 + 兀az + id, 一 4k6 , 3 F: = 2iza = 0 9 由 . 得 a = 0 9 b = 2 9 Fb = 2tcZ? 一 4tu = 0 A =F: 2tt , B = F鴛=0, C =F;b = 2 兀, 由 AC-B2 =4兀? > 0且 A >0 得 a = 0 ,b =2时,F(a,b)取最小值,故5 = 0,山=2, 应选(A). (5)【答案】(B). 0 a b 0 a 0 1) a 0 h a 0 0 b 【解】 =——a 0 d 0 0 c 0 0 d 0 c 0 d c 0 d 0 0 d =一 ad {ad 一 be ) + be {ad 一 be ) =一a1 d.2 + 2a bed 一 b2 c2 = 一(ad — be)2 , 应选(E). (6)【答案】(A). 【解】 若线性无关, I1 0 由(a】+ Z?a3 ,a2 + /a3) = (a】,a2 -a3) 0 1 為秩相等,因为 因为(«! .a2 ,a3)可逆9所以a} 十ba 3, a 2 + /a 3的秩与矩阵0 1 0\ 1 °\ 0 1两列不成比例,所以 r 0 1=2,故 a ] + ba3 皿 2 +心 3 线性无关. k I ' k 反之,若a】 +kaA,ai +加 线性无关,a】,a2 .«3不一定线性无关, 3 如a{ ,a2线性无关,a 3 =0.显然a( + ka3, a 2 + /a:j 线性无关,但a { ,a,,a,线性相关, 应选(A). (7) 【答案】(E). 【解】 由F(B) =0. 5得P(巨)=0.5, 由 A 相互独立及减法公式得 P(A -B) =P(AB) =P(A)P(B) =0. 5P(A) =0. 3, 则 P(A) =0. 6,从而 F(A) =0. 4, 于是 P(B - A) -P(AB) =P(A)P(B) =0. 4 X 0. 5 =0. 2,应选(E). (8) 【答案】(D). 1 1 f+°° 【解】£(¥,) = ^:/1(j;)+/2(^)]d3;=y[E(X1)+E(X2)],E(Y2) =*[E(X1)+E(X2)],显然 E(YQ =E(Y2). i r+°° i E(Y!)=- y2LfAy)+f2(y)ldy =-[E(Xh + , Z J —8 Z 1 1 1 1 D(Y1)^j[E(XD+E(Xl)]--[E(X1)T ~-[E(X2)T --ECXJECX,) = ^D(Xi)+^0(X2)+*|:E(XD +E(X;)]-*E(Xi)E(X2), -jDCXJ + jD(X2) +*E(Xi -X2)2, D(y2) = jEDCXj) +D(X2)J,显然 DCYJ > D(Y2),应选(D). 二、填空题 (9)【答案】— y — z — 1 = 0. 【解】 F =jj2 (1 — sin y ) + j/2 (1 — sin x ) — z , n = (2h (1 — sin y) — j/2 cos ,2^ (1 — sin 工)一工'cos y , — 1), 在点(1 9 0 9 1 )处的法向量为II = (2 9 — 1,一 1)9切平面为 7T : 2(.z 一 1) 一 y 一 (n 一 1) =0,1 卩 2工—y 一 z — 1=0. (10)【答案】1. 【解】 由 /'‘(工)=2(工一1)口 G [0,2]得/ (工)=(工一1)2 + C9J: G [0,2], 因为 /(0) = 0,所以 C = — 1,故/'(7 )=力2 — 2鼻 M G [0,2], /(7)=/(-1)=-/(1)=1. (11)【答案】工尹+】. 【解】xyf + 3/ (In 工—\ny ) =0 化为岁 + —In — = 0 , djr x y 令“ =2,则“十工典—“in " =0,变量分离得-石…血_,、=主 x ax 况(Inzz 一 1) x 积分得 ln(ln w — 1) = In jc + In C,艮卩 In u = Cx + 1, 原方程通解为 y = x eCj +1,由 j/ (1) = e3 得 C = 2 ,故 3/ =xex+x. (12)【答案】Tt. Lz = cos t, 【解】 方法一 令5j/ = sin ,(起点t = 0 9终点t = 2tt),则 〔n = — sin 19 2n f n 6.x + y dz = sinLck + sin t (— cos t)dt = sin2zdz + sin t (— cos £)df L 0 J —7T =2 sin2 tdt = 4 2 sin2 tdt =n J 0 J 0 方法二 设截口面上侧为工,则 n =(0,1,1) ,cos a = 0 ,cos =丄,cos 7 =丄,由斯托克斯公式得 V2 V20 1 1 3 do- + 3/ dz = — 11 3x L 0 而 dS = a/1 + z^.2+ z'y djr dj/ =麗d_z djy , 所以djr + j/dz =丄『dS = 『dx dj/ = k. L 7 (13)[答案】[—2,2]. /I 0 【解】A= 0 -1 2 ,\A \ =a2 — 4, 'a 2 0丿 因为A的负惯性指数为1,所以|A|<0. 由 |A|<0 得一2 o,故X = \为函数y = /(^)极小值点9极小值为y = —2. y = —2 cLz 9 (17)【解】 3 j: azz —= e" cos y • ff e2j cos y • ff,, —e工 cos y ■ /' + e2r sin2 y ■/〃 9 3x 3y2 带z I 32 z _ 2工胃 =e f, dx oy a2 Z d2z 令况=e" cos y 9 由-_7 ------7 = ( 4z + eT cos y ) e2'J 得 3jc dy' f"2 =4/(") +”,或 y〃(")—V(“) 9 U 解得/(“)=Ge"" +C2J" — 土", [G +c2 =0, 由 /(o)= 0,yz(0)= 0 得丿 G=_ C= 1 解得 寺 命, I— 2 C i + 2 C 2 故 f(u) = 7-(e2u — e~2u)----u. Io 4 方法点评:本题考查偏导数与二阶常系数非齐次线性微分方程. 偏导数与微分方程结合问题是一种综合和重要的题型,首先按题目要求计算出相应的偏 导数,根据给定的等量关系式将偏导数代入等式中,整理得微分方程,再根据微分方程的类型 对微分方程求解. (18)【解】 方法一 令X0:z=l(^2+j/2 < 1),取下侧,其中X与/围成的几何体为0, 由高斯公式得 @ (工一1)3dj^dz + (j/ — 1)3dzda;十(z — 1)djr Ay = —Jjj"[3(工 一 1 )2 + 3(.y — 1 )2 + l]dv n 由三重积分的对称性与奇偶性性质得]J_zch=0, ]]JydQ=0, n n 从而 /=—』[3(于+夕2)— 6工—6j/ + 7]dp=—JJ[3(工彳+夕?)+ 7]血 n nodZ f [3(jc 2 + J/') + 7]du = — [ dz [ de]'臥 (3 厂3 +7r)dr J o J o0 J o< T 3 2丄 +7 7 Z dz = — 2兀 T + I =一 4开 9 o 由于II x 一 l)3dj/dz + (y 一 1)3 dzdjr + (z — Ddx dy =jj z 一 1) djr dj/ = 0 , 故/ =jj (jc — 1 )3dj/dz + (3/ — l)3dNcLr + (z — 1)djr dj/ = —4兀・ 2 方法二 由z — x2 + y2得字=2z,字=2》,曲面的法向量为"=(—2z, — 2y,l), dx dy 2oc _ 2y _______1 cos a = 9 cos ,cos 7 \/1 + 2 + 4j/2 %/1 + 4jc2 + 4y2 丿1 + 4工 2 + 4j/2 cos a dy dz = cos a dS cos y dS = — 2工 dr djy , cos y cos y dS = — 2j/djr dy 9 令 D = {(z,jy) | x2 y2 < 1},则 x — 1)3 (— 2jc ) + (,一 1 )3 (— 2J/) + (n — 1 )]cLz dy 2 Jj [(j? 一 1 )3 (— 2jc ) + (y — l)3 (— 2y ) + (jc 2 + y2 — l)]dzdy D :jj(- 2工4 - 2j/4 - 5jc2 - 5j/2 — 1)djr dj/ D f 2ndO f (2r°cos4(9 + 2r5sin°0 + 5厂3 + r)dr J o 0 cos"0 + £sii?0 + # + y-) do 8 r 5tt 外 ------1 4----------7T = 一 47T. 3 2 (19)【证明】(I )由 cos an — an = cos b n 得 a ” = cos an 一 cos b„ , 因为5〉0,所以s cos a —cos bn〉()9 故 OVa” V»9 又因为工X 收敛,所以»”收敛,故lima” =0. n = l n = l "f°° (Il )方法一由 an = cos an 一 cos bn 得 (a„ + bn \ . (a„ ~b„\ 2sm --------- sm --------- 2 2 an cos an 一 cos bn \ 2 / \ 2 / o n — a n b„ b„ bn 2b” 7 2 _ 2 1 8 8 » 2 __ 2 因为o w七严 且工X收敛,所以工七产收敛, 力。" 厶b n / n = \ n = \ 由正项级数比较审敛法得工 护收敛. n = 1 ° na ...b„ a„ 1 — cos b„ 5 方法二 lim — = lim — = lim-------------- “foo b” ”fg b n ”f°° b n 1 — cos bn 1 [• 5 1 [. 5 1 刃黑 l-cos-6; = H 匹 s+l —coss = 1 且级数工久收敛,根据正项级数比较审敛法得级数Y 严收敛. n = l n = 1 n 方法点评:本题考查正项级数的比较审敛法. 在判断正项级数收敛时,若存在另一个正项级数且知其敛散性,一般使用比较审敛法. I1 一2 3 —4 \ /I — 2 3 _4\ /I -2 3 -4 (20)[解】(I)A= 0 1 -1 1 -> 0 1 - 1 1—0 1 一 1 1 '1 2 —3, 'o 4 - 3 1 / 'o 0 0 1 -3 I1 -2 0 0 0 1 0 1 0 10-2 ♦ 0 1 0 1-3 则方程组AX-0的一个基础解系为§ =(—1,2,3,1)1 (n)方法一 I1 -2 3 -4 1 0 °\ I1 -2 3 -4 1 0 0 由(A : E)= 0 1 -1 1 0 1 0 ~» 0 ] -1 1 0 1 0 1' 4 2 0 -3 0 0 '0 4 -3 1 -1 0 1 -2 3 -4 : 1 0 °〕 I1 -2 0 5 : 4 12 -3 1 -1 1 0 1 () - 0 1 0 -2^-1 -3 1 1丿 0 1 -3 i -1 -4 '0 0 1 -3 i -1 -4 1 0 0 1 ;2 6 T、 1 0 -2 -1 -3 1 • 0 1 -3 1 -1 -4 1 2 — k [ 6 — ^2 -^3-1 2局一 1 2k 2 — 3 2孔+ 1 得3 = (紅,紅,力为任意常数). 3k 1 — 1 3紅一4 3k 3 + 1 ki k2 方法二 令 B =(X] ,X2,X3), 则 AB —E 等价于 AX】=ex , AX2 =e?, AX3 = e3 , 方程组AX】=e】的通解为 (铝为任意常数),方程组AX2 =e2 的通解为 -r '6 ' —紅+ 6 2 -3 2k 2 — 3 + = Ck2为任意常数), 3 -4 3紅一 4 .1 、0 , 、 k2 , 方程组AXs =e3 的通解为 g为任意常数), 一為 1 + 2 2b、— 1 故B = 为任意常数). 3k! — 1 方法三 JC ! — 2x 4 + 7 — 4工 10 = 1, J7 2 — 5 + 3工 8 — 4工 11 = 0 9 JC 3 — 2乂 6 + 3工 9 — 4无 12 = 0 9 工1 工2 力3 + 0, X 4 ——3C. 7 JC io = 工4 力5 工6 令B = 9由AB = E得』x 5 —工8 +工11 = 1, S ^8 工9 久6 —力9 +2 12 = 0, 工12 + 2工 4 --3jcio =0, ^2 + 2工 5 - -3x I】 =0, 玄3 + 2工6 ~- 12 = 1, 解得一《i+2 — 怡2+6 -k3-l' 2k.、— 1 2k 2 — 3 2孔+ 1 故B = (紀,紅也3为任意常数). 3k 1 — 1 3怡 2 — 4 b\ k2 方法点评:求未知矩阵一般有如下三种情形: (1) 矩阵方程经过化简得AX =B或XA =B,其中A可逆,则X =A XB或X =BA 1 ; (2) 矩阵方程经过化简得AX=B,其中A不可逆或A不是方阵,则一般将AX=B拆成几 个方程组,求每个方程组的通解,将通解合成矩阵X; (3) 矩阵对角化法 设A的特征值为入1,入2,…,入”,其对应的线性无关的特征向量为a〕‘a?,…,a”, 右 0 … 0 ' 0 A 2 …0 令 P — (a x ,a 2 ,••• ,a,,) ,P 可逆,且 P AP =. . ., 0 0 A] 0 ・・・ 0 0入2 ・・♦ 0 于是A =P P \ : 0 0 … (21)【证明】 1 1 … 1 '0 … 0 1 1 1 … 1 0 … 0 2 令A = 9 B = : : : : 1 1 … 1 0 … 0 n 由丨入E—A | = 0得A的特征值为入]=•••=入”_i=0,入”=”, 由|入| = 0得B的特征值为入]=•••=入”_i=0,入 因为A t=A, 所以A可对角化; 因为r(OE-B) =r(B) =1,所以B可对角化, 因为特征值相同且都可对角化,所以A〜B. 方法点评:本题考查矩阵相似. 设为两个“阶矩阵,若A〜B,则的特征值相同;反之,若A,B的特征值相同, 两矩阵不一定相似,即特征值相同是两个矩阵相似的必要而非充分条件. 注意如下结论: (1) 若特征值相同,且A,B都可相似对角化,则A〜於; (2) 若A』特征值相同,但A ,3中一个可相似对角化,另一个不可相似对角化,则两矩阵 一定不相似. (22)【解】(I )Fy(y) =P{Y^y} = P{X =1}P{Y y | X =1} +P{X=2}P{YWy I X =2}= jP{Y^y \ X=l}+^P{Y^y \ X=2}, 当 _yV0 时,Fy(y) = 0; 0£_y V 1 时,Fy(y)=* ・2丰丄.2 =型. 当 • 了 7 * T _ 4 ; 2. =2十丄. 当 lWjy <2 时,Fy(y) =— + — • ¥ 4 2' 当 y > 2 时,Fy()) 1, 0, 夕V0, 0 < 3; < 1, 故Y的分布函数为Fy(y)=V 1 J V2, 1, 夕$ 2. 2 I 0 < y < 1, (n )几(夕)=乂丄 1 1 <夕 < 2, 0, 其他. ‘1 3工, + '2 T E(Y)= ——dj- —d_z g o 4 i 4 飞十 =区 2工 工2 -r-e •T > 0 , (23)【解】(I )总体X的密度函数为=< o 0, X2 *-|-00 °。+°° X尹 2 T *4-°° E(X)= xf {jc )cLr = 2 2 Ze_z 0 2# \!兀0 =4^ 2 E(X2)= +°° 专e一方dz =e X 2 =0『(2) =9. 0 u 0 (11 )设工 i 2 , •,工”为样本x1,x2,-,x„的观察值,似然函数为 L(0)=y(,;0)/•(工2;0"丁(工”;。)=< 亦 © ,工],工2,…,工”', k 其他. 当E ,工 ,…口"〉0时9 1 2 , 占 、 ・・・+云 In L(0) = n In 2 + 工 In x z 一 nln 9---- • - z -- [ - + -- « -- z -- : -- + --------------, / = i & 由吕lnL(0)=_# +,十孔打…十= 0得0的最大似然估计值为0” =丄工云, e e n Z=1 的 故0的最大似然估计量为0=丄Sxt « ,=1(ID)因为{X:}是独立同分布的随机变量序列,且E(Xj) =E(Xb =0, 所以根据辛钦大数定律依概率收敛于E(xb =e, ",=1 故存在a —9,使得对任意的£ > 0,有limP { \ 9 — a丨$ € } = 0. ”f 8
基本 文件 流程 错误 SQL 调试
  1. 请求信息 : 2026-03-10 09:55:38 HTTP/1.1 GET : https://www.yeyulingfeng.com/wendang/324976.html
  2. 运行时间 : 0.092427s [ 吞吐率:10.82req/s ] 内存消耗:5,190.97kb 文件加载:144
  3. 缓存信息 : 0 reads,0 writes
  4. 会话信息 : SESSION_ID=d021361ed377fa5fdc4f9ab78966e8e5
  1. /yingpanguazai/ssd/ssd1/www/wwww.yeyulingfeng.com/public/index.php ( 0.79 KB )
  2. /yingpanguazai/ssd/ssd1/www/wwww.yeyulingfeng.com/vendor/autoload.php ( 0.17 KB )
  3. /yingpanguazai/ssd/ssd1/www/wwww.yeyulingfeng.com/vendor/composer/autoload_real.php ( 2.49 KB )
  4. /yingpanguazai/ssd/ssd1/www/wwww.yeyulingfeng.com/vendor/composer/platform_check.php ( 0.90 KB )
  5. /yingpanguazai/ssd/ssd1/www/wwww.yeyulingfeng.com/vendor/composer/ClassLoader.php ( 14.03 KB )
  6. /yingpanguazai/ssd/ssd1/www/wwww.yeyulingfeng.com/vendor/composer/autoload_static.php ( 6.05 KB )
  7. /yingpanguazai/ssd/ssd1/www/wwww.yeyulingfeng.com/vendor/topthink/think-helper/src/helper.php ( 8.34 KB )
  8. /yingpanguazai/ssd/ssd1/www/wwww.yeyulingfeng.com/vendor/topthink/think-validate/src/helper.php ( 2.19 KB )
  9. /yingpanguazai/ssd/ssd1/www/wwww.yeyulingfeng.com/vendor/ralouphie/getallheaders/src/getallheaders.php ( 1.60 KB )
  10. /yingpanguazai/ssd/ssd1/www/wwww.yeyulingfeng.com/vendor/topthink/think-orm/src/helper.php ( 1.47 KB )
  11. /yingpanguazai/ssd/ssd1/www/wwww.yeyulingfeng.com/vendor/topthink/think-orm/stubs/load_stubs.php ( 0.16 KB )
  12. /yingpanguazai/ssd/ssd1/www/wwww.yeyulingfeng.com/vendor/topthink/framework/src/think/Exception.php ( 1.69 KB )
  13. /yingpanguazai/ssd/ssd1/www/wwww.yeyulingfeng.com/vendor/topthink/think-container/src/Facade.php ( 2.71 KB )
  14. /yingpanguazai/ssd/ssd1/www/wwww.yeyulingfeng.com/vendor/symfony/deprecation-contracts/function.php ( 0.99 KB )
  15. /yingpanguazai/ssd/ssd1/www/wwww.yeyulingfeng.com/vendor/symfony/polyfill-mbstring/bootstrap.php ( 8.26 KB )
  16. /yingpanguazai/ssd/ssd1/www/wwww.yeyulingfeng.com/vendor/symfony/polyfill-mbstring/bootstrap80.php ( 9.78 KB )
  17. /yingpanguazai/ssd/ssd1/www/wwww.yeyulingfeng.com/vendor/symfony/var-dumper/Resources/functions/dump.php ( 1.49 KB )
  18. /yingpanguazai/ssd/ssd1/www/wwww.yeyulingfeng.com/vendor/topthink/think-dumper/src/helper.php ( 0.18 KB )
  19. /yingpanguazai/ssd/ssd1/www/wwww.yeyulingfeng.com/vendor/symfony/var-dumper/VarDumper.php ( 4.30 KB )
  20. /yingpanguazai/ssd/ssd1/www/wwww.yeyulingfeng.com/vendor/guzzlehttp/guzzle/src/functions_include.php ( 0.16 KB )
  21. /yingpanguazai/ssd/ssd1/www/wwww.yeyulingfeng.com/vendor/guzzlehttp/guzzle/src/functions.php ( 5.54 KB )
  22. /yingpanguazai/ssd/ssd1/www/wwww.yeyulingfeng.com/vendor/topthink/framework/src/think/App.php ( 15.30 KB )
  23. /yingpanguazai/ssd/ssd1/www/wwww.yeyulingfeng.com/vendor/topthink/think-container/src/Container.php ( 15.76 KB )
  24. /yingpanguazai/ssd/ssd1/www/wwww.yeyulingfeng.com/vendor/psr/container/src/ContainerInterface.php ( 1.02 KB )
  25. /yingpanguazai/ssd/ssd1/www/wwww.yeyulingfeng.com/app/provider.php ( 0.19 KB )
  26. /yingpanguazai/ssd/ssd1/www/wwww.yeyulingfeng.com/vendor/topthink/framework/src/think/Http.php ( 6.04 KB )
  27. /yingpanguazai/ssd/ssd1/www/wwww.yeyulingfeng.com/vendor/topthink/think-helper/src/helper/Str.php ( 7.29 KB )
  28. /yingpanguazai/ssd/ssd1/www/wwww.yeyulingfeng.com/vendor/topthink/framework/src/think/Env.php ( 4.68 KB )
  29. /yingpanguazai/ssd/ssd1/www/wwww.yeyulingfeng.com/app/common.php ( 0.03 KB )
  30. /yingpanguazai/ssd/ssd1/www/wwww.yeyulingfeng.com/vendor/topthink/framework/src/helper.php ( 18.78 KB )
  31. /yingpanguazai/ssd/ssd1/www/wwww.yeyulingfeng.com/vendor/topthink/framework/src/think/Config.php ( 5.54 KB )
  32. /yingpanguazai/ssd/ssd1/www/wwww.yeyulingfeng.com/config/alipay.php ( 3.59 KB )
  33. /yingpanguazai/ssd/ssd1/www/wwww.yeyulingfeng.com/vendor/topthink/framework/src/think/facade/Env.php ( 1.67 KB )
  34. /yingpanguazai/ssd/ssd1/www/wwww.yeyulingfeng.com/config/app.php ( 0.95 KB )
  35. /yingpanguazai/ssd/ssd1/www/wwww.yeyulingfeng.com/config/cache.php ( 0.78 KB )
  36. /yingpanguazai/ssd/ssd1/www/wwww.yeyulingfeng.com/config/console.php ( 0.23 KB )
  37. /yingpanguazai/ssd/ssd1/www/wwww.yeyulingfeng.com/config/cookie.php ( 0.56 KB )
  38. /yingpanguazai/ssd/ssd1/www/wwww.yeyulingfeng.com/config/database.php ( 2.48 KB )
  39. /yingpanguazai/ssd/ssd1/www/wwww.yeyulingfeng.com/config/filesystem.php ( 0.61 KB )
  40. /yingpanguazai/ssd/ssd1/www/wwww.yeyulingfeng.com/config/lang.php ( 0.91 KB )
  41. /yingpanguazai/ssd/ssd1/www/wwww.yeyulingfeng.com/config/log.php ( 1.35 KB )
  42. /yingpanguazai/ssd/ssd1/www/wwww.yeyulingfeng.com/config/middleware.php ( 0.19 KB )
  43. /yingpanguazai/ssd/ssd1/www/wwww.yeyulingfeng.com/config/route.php ( 1.89 KB )
  44. /yingpanguazai/ssd/ssd1/www/wwww.yeyulingfeng.com/config/session.php ( 0.57 KB )
  45. /yingpanguazai/ssd/ssd1/www/wwww.yeyulingfeng.com/config/trace.php ( 0.34 KB )
  46. /yingpanguazai/ssd/ssd1/www/wwww.yeyulingfeng.com/config/view.php ( 0.82 KB )
  47. /yingpanguazai/ssd/ssd1/www/wwww.yeyulingfeng.com/app/event.php ( 0.25 KB )
  48. /yingpanguazai/ssd/ssd1/www/wwww.yeyulingfeng.com/vendor/topthink/framework/src/think/Event.php ( 7.67 KB )
  49. /yingpanguazai/ssd/ssd1/www/wwww.yeyulingfeng.com/app/service.php ( 0.13 KB )
  50. /yingpanguazai/ssd/ssd1/www/wwww.yeyulingfeng.com/app/AppService.php ( 0.26 KB )
  51. /yingpanguazai/ssd/ssd1/www/wwww.yeyulingfeng.com/vendor/topthink/framework/src/think/Service.php ( 1.64 KB )
  52. /yingpanguazai/ssd/ssd1/www/wwww.yeyulingfeng.com/vendor/topthink/framework/src/think/Lang.php ( 7.35 KB )
  53. /yingpanguazai/ssd/ssd1/www/wwww.yeyulingfeng.com/vendor/topthink/framework/src/lang/zh-cn.php ( 13.70 KB )
  54. /yingpanguazai/ssd/ssd1/www/wwww.yeyulingfeng.com/vendor/topthink/framework/src/think/initializer/Error.php ( 3.31 KB )
  55. /yingpanguazai/ssd/ssd1/www/wwww.yeyulingfeng.com/vendor/topthink/framework/src/think/initializer/RegisterService.php ( 1.33 KB )
  56. /yingpanguazai/ssd/ssd1/www/wwww.yeyulingfeng.com/vendor/services.php ( 0.14 KB )
  57. /yingpanguazai/ssd/ssd1/www/wwww.yeyulingfeng.com/vendor/topthink/framework/src/think/service/PaginatorService.php ( 1.52 KB )
  58. /yingpanguazai/ssd/ssd1/www/wwww.yeyulingfeng.com/vendor/topthink/framework/src/think/service/ValidateService.php ( 0.99 KB )
  59. /yingpanguazai/ssd/ssd1/www/wwww.yeyulingfeng.com/vendor/topthink/framework/src/think/service/ModelService.php ( 2.04 KB )
  60. /yingpanguazai/ssd/ssd1/www/wwww.yeyulingfeng.com/vendor/topthink/think-trace/src/Service.php ( 0.77 KB )
  61. /yingpanguazai/ssd/ssd1/www/wwww.yeyulingfeng.com/vendor/topthink/framework/src/think/Middleware.php ( 6.72 KB )
  62. /yingpanguazai/ssd/ssd1/www/wwww.yeyulingfeng.com/vendor/topthink/framework/src/think/initializer/BootService.php ( 0.77 KB )
  63. /yingpanguazai/ssd/ssd1/www/wwww.yeyulingfeng.com/vendor/topthink/think-orm/src/Paginator.php ( 11.86 KB )
  64. /yingpanguazai/ssd/ssd1/www/wwww.yeyulingfeng.com/vendor/topthink/think-validate/src/Validate.php ( 63.20 KB )
  65. /yingpanguazai/ssd/ssd1/www/wwww.yeyulingfeng.com/vendor/topthink/think-orm/src/Model.php ( 23.55 KB )
  66. /yingpanguazai/ssd/ssd1/www/wwww.yeyulingfeng.com/vendor/topthink/think-orm/src/model/concern/Attribute.php ( 21.05 KB )
  67. /yingpanguazai/ssd/ssd1/www/wwww.yeyulingfeng.com/vendor/topthink/think-orm/src/model/concern/AutoWriteData.php ( 4.21 KB )
  68. /yingpanguazai/ssd/ssd1/www/wwww.yeyulingfeng.com/vendor/topthink/think-orm/src/model/concern/Conversion.php ( 6.44 KB )
  69. /yingpanguazai/ssd/ssd1/www/wwww.yeyulingfeng.com/vendor/topthink/think-orm/src/model/concern/DbConnect.php ( 5.16 KB )
  70. /yingpanguazai/ssd/ssd1/www/wwww.yeyulingfeng.com/vendor/topthink/think-orm/src/model/concern/ModelEvent.php ( 2.33 KB )
  71. /yingpanguazai/ssd/ssd1/www/wwww.yeyulingfeng.com/vendor/topthink/think-orm/src/model/concern/RelationShip.php ( 28.29 KB )
  72. /yingpanguazai/ssd/ssd1/www/wwww.yeyulingfeng.com/vendor/topthink/think-helper/src/contract/Arrayable.php ( 0.09 KB )
  73. /yingpanguazai/ssd/ssd1/www/wwww.yeyulingfeng.com/vendor/topthink/think-helper/src/contract/Jsonable.php ( 0.13 KB )
  74. /yingpanguazai/ssd/ssd1/www/wwww.yeyulingfeng.com/vendor/topthink/think-orm/src/model/contract/Modelable.php ( 0.09 KB )
  75. /yingpanguazai/ssd/ssd1/www/wwww.yeyulingfeng.com/vendor/topthink/framework/src/think/Db.php ( 2.88 KB )
  76. /yingpanguazai/ssd/ssd1/www/wwww.yeyulingfeng.com/vendor/topthink/think-orm/src/DbManager.php ( 8.52 KB )
  77. /yingpanguazai/ssd/ssd1/www/wwww.yeyulingfeng.com/vendor/topthink/framework/src/think/Log.php ( 6.28 KB )
  78. /yingpanguazai/ssd/ssd1/www/wwww.yeyulingfeng.com/vendor/topthink/framework/src/think/Manager.php ( 3.92 KB )
  79. /yingpanguazai/ssd/ssd1/www/wwww.yeyulingfeng.com/vendor/psr/log/src/LoggerTrait.php ( 2.69 KB )
  80. /yingpanguazai/ssd/ssd1/www/wwww.yeyulingfeng.com/vendor/psr/log/src/LoggerInterface.php ( 2.71 KB )
  81. /yingpanguazai/ssd/ssd1/www/wwww.yeyulingfeng.com/vendor/topthink/framework/src/think/Cache.php ( 4.92 KB )
  82. /yingpanguazai/ssd/ssd1/www/wwww.yeyulingfeng.com/vendor/psr/simple-cache/src/CacheInterface.php ( 4.71 KB )
  83. /yingpanguazai/ssd/ssd1/www/wwww.yeyulingfeng.com/vendor/topthink/think-helper/src/helper/Arr.php ( 16.63 KB )
  84. /yingpanguazai/ssd/ssd1/www/wwww.yeyulingfeng.com/vendor/topthink/framework/src/think/cache/driver/File.php ( 7.84 KB )
  85. /yingpanguazai/ssd/ssd1/www/wwww.yeyulingfeng.com/vendor/topthink/framework/src/think/cache/Driver.php ( 9.03 KB )
  86. /yingpanguazai/ssd/ssd1/www/wwww.yeyulingfeng.com/vendor/topthink/framework/src/think/contract/CacheHandlerInterface.php ( 1.99 KB )
  87. /yingpanguazai/ssd/ssd1/www/wwww.yeyulingfeng.com/app/Request.php ( 0.09 KB )
  88. /yingpanguazai/ssd/ssd1/www/wwww.yeyulingfeng.com/vendor/topthink/framework/src/think/Request.php ( 55.78 KB )
  89. /yingpanguazai/ssd/ssd1/www/wwww.yeyulingfeng.com/app/middleware.php ( 0.25 KB )
  90. /yingpanguazai/ssd/ssd1/www/wwww.yeyulingfeng.com/vendor/topthink/framework/src/think/Pipeline.php ( 2.61 KB )
  91. /yingpanguazai/ssd/ssd1/www/wwww.yeyulingfeng.com/vendor/topthink/think-trace/src/TraceDebug.php ( 3.40 KB )
  92. /yingpanguazai/ssd/ssd1/www/wwww.yeyulingfeng.com/vendor/topthink/framework/src/think/middleware/SessionInit.php ( 1.94 KB )
  93. /yingpanguazai/ssd/ssd1/www/wwww.yeyulingfeng.com/vendor/topthink/framework/src/think/Session.php ( 1.80 KB )
  94. /yingpanguazai/ssd/ssd1/www/wwww.yeyulingfeng.com/vendor/topthink/framework/src/think/session/driver/File.php ( 6.27 KB )
  95. /yingpanguazai/ssd/ssd1/www/wwww.yeyulingfeng.com/vendor/topthink/framework/src/think/contract/SessionHandlerInterface.php ( 0.87 KB )
  96. /yingpanguazai/ssd/ssd1/www/wwww.yeyulingfeng.com/vendor/topthink/framework/src/think/session/Store.php ( 7.12 KB )
  97. /yingpanguazai/ssd/ssd1/www/wwww.yeyulingfeng.com/vendor/topthink/framework/src/think/Route.php ( 23.73 KB )
  98. /yingpanguazai/ssd/ssd1/www/wwww.yeyulingfeng.com/vendor/topthink/framework/src/think/route/RuleName.php ( 5.75 KB )
  99. /yingpanguazai/ssd/ssd1/www/wwww.yeyulingfeng.com/vendor/topthink/framework/src/think/route/Domain.php ( 2.53 KB )
  100. /yingpanguazai/ssd/ssd1/www/wwww.yeyulingfeng.com/vendor/topthink/framework/src/think/route/RuleGroup.php ( 22.43 KB )
  101. /yingpanguazai/ssd/ssd1/www/wwww.yeyulingfeng.com/vendor/topthink/framework/src/think/route/Rule.php ( 26.95 KB )
  102. /yingpanguazai/ssd/ssd1/www/wwww.yeyulingfeng.com/vendor/topthink/framework/src/think/route/RuleItem.php ( 9.78 KB )
  103. /yingpanguazai/ssd/ssd1/www/wwww.yeyulingfeng.com/route/app.php ( 3.82 KB )
  104. /yingpanguazai/ssd/ssd1/www/wwww.yeyulingfeng.com/vendor/topthink/framework/src/think/facade/Route.php ( 4.70 KB )
  105. /yingpanguazai/ssd/ssd1/www/wwww.yeyulingfeng.com/vendor/topthink/framework/src/think/route/dispatch/Controller.php ( 4.74 KB )
  106. /yingpanguazai/ssd/ssd1/www/wwww.yeyulingfeng.com/vendor/topthink/framework/src/think/route/Dispatch.php ( 10.44 KB )
  107. /yingpanguazai/ssd/ssd1/www/wwww.yeyulingfeng.com/app/controller/Index.php ( 9.69 KB )
  108. /yingpanguazai/ssd/ssd1/www/wwww.yeyulingfeng.com/app/BaseController.php ( 2.05 KB )
  109. /yingpanguazai/ssd/ssd1/www/wwww.yeyulingfeng.com/vendor/topthink/think-orm/src/facade/Db.php ( 0.93 KB )
  110. /yingpanguazai/ssd/ssd1/www/wwww.yeyulingfeng.com/vendor/topthink/think-orm/src/db/connector/Mysql.php ( 5.44 KB )
  111. /yingpanguazai/ssd/ssd1/www/wwww.yeyulingfeng.com/vendor/topthink/think-orm/src/db/PDOConnection.php ( 52.47 KB )
  112. /yingpanguazai/ssd/ssd1/www/wwww.yeyulingfeng.com/vendor/topthink/think-orm/src/db/Connection.php ( 8.39 KB )
  113. /yingpanguazai/ssd/ssd1/www/wwww.yeyulingfeng.com/vendor/topthink/think-orm/src/db/ConnectionInterface.php ( 4.57 KB )
  114. /yingpanguazai/ssd/ssd1/www/wwww.yeyulingfeng.com/vendor/topthink/think-orm/src/db/builder/Mysql.php ( 16.58 KB )
  115. /yingpanguazai/ssd/ssd1/www/wwww.yeyulingfeng.com/vendor/topthink/think-orm/src/db/Builder.php ( 24.06 KB )
  116. /yingpanguazai/ssd/ssd1/www/wwww.yeyulingfeng.com/vendor/topthink/think-orm/src/db/BaseBuilder.php ( 27.50 KB )
  117. /yingpanguazai/ssd/ssd1/www/wwww.yeyulingfeng.com/vendor/topthink/think-orm/src/db/Query.php ( 15.71 KB )
  118. /yingpanguazai/ssd/ssd1/www/wwww.yeyulingfeng.com/vendor/topthink/think-orm/src/db/BaseQuery.php ( 45.13 KB )
  119. /yingpanguazai/ssd/ssd1/www/wwww.yeyulingfeng.com/vendor/topthink/think-orm/src/db/concern/TimeFieldQuery.php ( 7.43 KB )
  120. /yingpanguazai/ssd/ssd1/www/wwww.yeyulingfeng.com/vendor/topthink/think-orm/src/db/concern/AggregateQuery.php ( 3.26 KB )
  121. /yingpanguazai/ssd/ssd1/www/wwww.yeyulingfeng.com/vendor/topthink/think-orm/src/db/concern/ModelRelationQuery.php ( 20.07 KB )
  122. /yingpanguazai/ssd/ssd1/www/wwww.yeyulingfeng.com/vendor/topthink/think-orm/src/db/concern/ParamsBind.php ( 3.66 KB )
  123. /yingpanguazai/ssd/ssd1/www/wwww.yeyulingfeng.com/vendor/topthink/think-orm/src/db/concern/ResultOperation.php ( 7.01 KB )
  124. /yingpanguazai/ssd/ssd1/www/wwww.yeyulingfeng.com/vendor/topthink/think-orm/src/db/concern/WhereQuery.php ( 19.37 KB )
  125. /yingpanguazai/ssd/ssd1/www/wwww.yeyulingfeng.com/vendor/topthink/think-orm/src/db/concern/JoinAndViewQuery.php ( 7.11 KB )
  126. /yingpanguazai/ssd/ssd1/www/wwww.yeyulingfeng.com/vendor/topthink/think-orm/src/db/concern/TableFieldInfo.php ( 2.63 KB )
  127. /yingpanguazai/ssd/ssd1/www/wwww.yeyulingfeng.com/vendor/topthink/think-orm/src/db/concern/Transaction.php ( 2.77 KB )
  128. /yingpanguazai/ssd/ssd1/www/wwww.yeyulingfeng.com/vendor/topthink/framework/src/think/log/driver/File.php ( 5.96 KB )
  129. /yingpanguazai/ssd/ssd1/www/wwww.yeyulingfeng.com/vendor/topthink/framework/src/think/contract/LogHandlerInterface.php ( 0.86 KB )
  130. /yingpanguazai/ssd/ssd1/www/wwww.yeyulingfeng.com/vendor/topthink/framework/src/think/log/Channel.php ( 3.89 KB )
  131. /yingpanguazai/ssd/ssd1/www/wwww.yeyulingfeng.com/vendor/topthink/framework/src/think/event/LogRecord.php ( 1.02 KB )
  132. /yingpanguazai/ssd/ssd1/www/wwww.yeyulingfeng.com/vendor/topthink/think-helper/src/Collection.php ( 16.47 KB )
  133. /yingpanguazai/ssd/ssd1/www/wwww.yeyulingfeng.com/vendor/topthink/framework/src/think/facade/View.php ( 1.70 KB )
  134. /yingpanguazai/ssd/ssd1/www/wwww.yeyulingfeng.com/vendor/topthink/framework/src/think/View.php ( 4.39 KB )
  135. /yingpanguazai/ssd/ssd1/www/wwww.yeyulingfeng.com/vendor/topthink/framework/src/think/Response.php ( 8.81 KB )
  136. /yingpanguazai/ssd/ssd1/www/wwww.yeyulingfeng.com/vendor/topthink/framework/src/think/response/View.php ( 3.29 KB )
  137. /yingpanguazai/ssd/ssd1/www/wwww.yeyulingfeng.com/vendor/topthink/framework/src/think/Cookie.php ( 6.06 KB )
  138. /yingpanguazai/ssd/ssd1/www/wwww.yeyulingfeng.com/vendor/topthink/think-view/src/Think.php ( 8.38 KB )
  139. /yingpanguazai/ssd/ssd1/www/wwww.yeyulingfeng.com/vendor/topthink/framework/src/think/contract/TemplateHandlerInterface.php ( 1.60 KB )
  140. /yingpanguazai/ssd/ssd1/www/wwww.yeyulingfeng.com/vendor/topthink/think-template/src/Template.php ( 46.61 KB )
  141. /yingpanguazai/ssd/ssd1/www/wwww.yeyulingfeng.com/vendor/topthink/think-template/src/template/driver/File.php ( 2.41 KB )
  142. /yingpanguazai/ssd/ssd1/www/wwww.yeyulingfeng.com/vendor/topthink/think-template/src/template/contract/DriverInterface.php ( 0.86 KB )
  143. /yingpanguazai/ssd/ssd1/www/wwww.yeyulingfeng.com/runtime/temp/10a0c909b6afa23b5a52a2e2d58c3c0f.php ( 21.72 KB )
  144. /yingpanguazai/ssd/ssd1/www/wwww.yeyulingfeng.com/vendor/topthink/think-trace/src/Html.php ( 4.42 KB )
  1. CONNECT:[ UseTime:0.000445s ] mysql:host=127.0.0.1;port=3306;dbname=wenku;charset=utf8mb4
  2. SHOW FULL COLUMNS FROM `fenlei` [ RunTime:0.000688s ]
  3. SELECT * FROM `fenlei` WHERE `fid` = 0 [ RunTime:0.000305s ]
  4. SELECT * FROM `fenlei` WHERE `fid` = 63 [ RunTime:0.000249s ]
  5. SHOW FULL COLUMNS FROM `set` [ RunTime:0.000504s ]
  6. SELECT * FROM `set` [ RunTime:0.000200s ]
  7. SHOW FULL COLUMNS FROM `wendang` [ RunTime:0.000529s ]
  8. SELECT * FROM `wendang` WHERE `id` = 324976 LIMIT 1 [ RunTime:0.000422s ]
  9. UPDATE `wendang` SET `liulancishu` = 8 WHERE `id` = 324976 [ RunTime:0.011483s ]
  10. UPDATE `wendang` SET `lasttime` = 1773107738 WHERE `id` = 324976 [ RunTime:0.000686s ]
  11. SELECT * FROM `wendang` WHERE `id` < 324976 ORDER BY `id` DESC LIMIT 1 [ RunTime:0.000561s ]
  12. SELECT * FROM `wendang` WHERE `id` > 324976 ORDER BY `id` ASC LIMIT 1 [ RunTime:0.000403s ]
  13. SELECT * FROM `wendang` WHERE `id` <> 324976 ORDER BY `id` DESC LIMIT 10 [ RunTime:0.001119s ]
  14. SELECT * FROM `wendang` WHERE `id` <> 324976 ORDER BY `id` DESC LIMIT 10,10 [ RunTime:0.001821s ]
  15. SELECT * FROM `wendang` WHERE `id` <> 324976 ORDER BY `id` DESC LIMIT 20,10 [ RunTime:0.004154s ]
0.094029s