当前位置:首页>文档>2018数学一解析_26.考研数学(一)(二)(三)真题_26.1考研数学(一)真题_02.1987-2025年数一真题答案解析

2018数学一解析_26.考研数学(一)(二)(三)真题_26.1考研数学(一)真题_02.1987-2025年数一真题答案解析

  • 2026-03-01 12:31:27 2026-02-23 17:37:24

文档预览

2018数学一解析_26.考研数学(一)(二)(三)真题_26.1考研数学(一)真题_02.1987-2025年数一真题答案解析
2018数学一解析_26.考研数学(一)(二)(三)真题_26.1考研数学(一)真题_02.1987-2025年数一真题答案解析
2018数学一解析_26.考研数学(一)(二)(三)真题_26.1考研数学(一)真题_02.1987-2025年数一真题答案解析
2018数学一解析_26.考研数学(一)(二)(三)真题_26.1考研数学(一)真题_02.1987-2025年数一真题答案解析
2018数学一解析_26.考研数学(一)(二)(三)真题_26.1考研数学(一)真题_02.1987-2025年数一真题答案解析
2018数学一解析_26.考研数学(一)(二)(三)真题_26.1考研数学(一)真题_02.1987-2025年数一真题答案解析
2018数学一解析_26.考研数学(一)(二)(三)真题_26.1考研数学(一)真题_02.1987-2025年数一真题答案解析

文档信息

文档格式
pdf
文档大小
2.326 MB
文档页数
7 页
上传时间
2026-02-23 17:37:24

文档内容

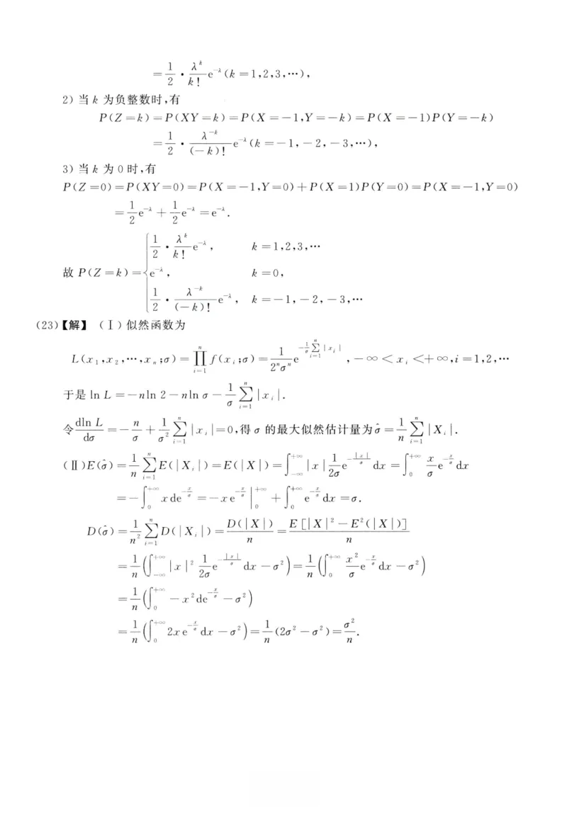
2018年数学(一)真题解析 一、选择题 (1)【答案】(D). 【解】 方法一 对/'(工)=cos / H | , 心)_ /(0) =讪 cos/T 订- 1 = _£恤 Ll!不存在,即 /(^)=cos^TT 在z =0 X X Z x 0 Lo lo 处不可导,应选(D). 方法二 当/(jc) = |工| sin | |时,f(jr)-/(0)〜工2,/(工)在工=0处可导且导数为0,不选(A); 3 ~2 当/(X)= |工I sin/工I时,/(^) -/(0)〜I I ',/'(工)在工=0处可导且导数为0,不 选(E); 当/(x)-cos| JC I时〜一*攵2,于(工)在工=0处可导且导数为0,不选(C), 应选(D). ⑵【答案】(E). 【解】 设切点为(工0,九,6),则 ( 之0 =无2 0 十I 夕0 2 , y (2jc 0 9 2y0 — 1) • (1 — 1 ?0) = 0 9 |(2Ho,2j/o,—1) •(工 0—1, 夕 0,20)=0, [•To =0, 卜0 = 1 , 解之得屮y o = 0,或屮y o = 1, 〔J =0, 〔J = 2, 故所求切平面为z = 0或2x +2》—z = 2.应选(E). (3)【答案】(B). 2n + 3 【解】 (2/? + 1) ! n = 0 =cos 1 + 2sin 1, 应选(B). (4)【答案】(C). (1+工) 2 2工 \ 【解】 1 +川丿 1 +工 2 当—守冬工w守时,i + ycosx > i > [(l+T^TT)^ >〕[1山 >[\ 即 K >M>N.应选(C). e ~~2 J ~~2 J ~~2(5)【答案】(A). 【解】方法一 I1 1 0\ /I 1 /I 0 -1\ 令M = 0 1 】 ,A = 0 ] B = 0 1 1 'o I1 1 / 'o 0 0 0 1 /I 1 一1\ I1 0 -1 C = 0 1 0 ,D = 0 1 0 'o 0 1丿 'o 0 1 显然矩阵A,B,C,D的特征值都是4 =入2 =入 3 = 1 9 -1 0 \ /O -1 0 - 1 ,E - A = 0 0 'o 0 0 ' '0 0 ,-cJ: -1 /0 0 1 0 0 ,E -D = 0 0 0 'o 0 o' 'o 0 0 因为 r(E -M) =r(E -A) =2,所以应选(A). 方法二 z1 —1 °\ z1 1 °\ 1 _ 取p = 0 1 0 ,则P (1 1 0 , J 'o 1' 'o 0 0 I1 1 1 0\ /! 1 °\ I1 ;相似,应选(A). 因为pT 0 1 1 P = 0 1 1 ,所以 (, 1 与0 'o 0 1 1 0 1> '0 0 J '0 0 1 ' (6)【答案】 (A). 【解】 (A ,AB) = A(E,B) 9 显然r(A ,AB) =r[_A(E,B )] W 厂(A ) 9 又 r(A,AB) > r(A), 于是厂(A ,AB) = r (A),应选(A). (7)【答案】(A). 【解】f / (jr ) da- = f / ( jc ) djr = £[ /Udz — 0. 3 , Jo J 1 2 J 0 PCX V0) = I /(j? )djr = I f(j2)dx 一 I / ( jc ) djr = 0. 5 一 0. 3 = 0. 2 ,应选(A). J —OO J —OO J 0 ⑻【答案】(D). 【解】 若/已知,则假设的接受域:\u\ 0时,/z(jr ) = jt eJ > 0,函数/(x )在[0, + °°)上单调增加, 所以a =0是方程ae° = eu — 1在[0, +*)上的唯一解,故”l 一 i►m8 g =0. (20)【解】(I ) / (Jf 1 ,jC 2 ,JC 3)=(X ! — JC 2 + 3 )2 + (攵2 +鼻3)' + (工 1 aX =0 的充分必 卜1 一工2 +攵3 =0, 要条件是(攵2 +工3 =0, 对齐次线性方程组的系数矩阵作初等行变换得 [x 1 + ax 3 = 0. Z1 -1 (1 -1 1 \,/I -1 1 \ P ° A = 0 1 1 -» 0 1 I 1 1, J 'o 4 0 、0 1 a -1' 0 a — 2 a 2 日寸 9 f (工]9乂 2 9*2?3)==0只有零解X =(JC ! ,JC 2 ,攵3厂==(0,0,0)T, 1 0 2 <2=2 时,1 1 I , 'o 0 Q)' f(JT ! ,乂2,乂3)= 0 有非零解 x =(JC !,工2,攵 3)T =k(— 2 , — 1,1)T,其中 k # 0. 卩/I -1 1\ /^1\ (Il)aH2 时,令 3^2 = 0 1 1 br2 , J 1 0 a '工 31 -1 1 1 -1 1 Z1 -1 0 1 1 = 0 1 1 =a —2工0,则矩阵0 1 1可逆, 1 0 a 0 0 a 一 2 4 0 a 所以f{xx ,X2 ,JC3) 的规范形为/(歹1,»2,夕 3)= 式+工+工. Q = 2 时 9 f(X !,工 29 乂 3)=(壬1 —工2 +乂 3尸 + (无 2 +工3)' +(力1 + <2 JC 3)? =2jc 1 + 2x 2 + 6jc 3 — 2工 1 工 2 + 6n 3 3 =2(工]一无:+工彳)? + —JC \ + —x \ + 3jC2^3 3 =2(工1 — x2 + 工3)2 +》(工2 + 3)2 所以/(, 口 2 宀)的规范形为f(yi ^y2 ^3)=y\ + yl- (21)【解】(I )显然厂(A) =2,因为初等变换不改变矩阵的秩,所以厂(〃)=2, 而门:; 2 \ /I a 2\ /I a 1 -* o 1 I —。1 r 'o a +13, '0 0 1 1 2 _ a I1 2 2 \ / 1 2 2\ (n)a = 1 3 0 .B = 0 1 '2 -2/ 1' 7 1 1 令 P = (X| ,x2,x3), I1 2 2 1 2 2\ I1 0 6 3 4 4 \ 1 k 由(A *)=1 3 0 0 1 » 0 1 -2 -1 -1 _ 1得 I。 7 -2 -1 1 0 0 0 0 0 ' —6k 2 + 4 2& — 1 2 I — 6^! + 3 -6k2 +4 一6怂+4\ 则所求的可逆矩阵为P= 2R—1 2紅一1 2孔一1 (紅,紇,孔为任意常数且 k2 k3 k2 H 怂). (22)【解】(I )因为E(X) =O,E(X2) =1,E(Y)=入,以及X ,Y相互独立,故 Cov(X,Z)= Cov(X,XY)= E(X?Y)—E(X)E(XY)= E(X2 )E(Y)-E2 (X)E(Y) = A. (H )由Y服从参数为入的泊松分布"即P (V =j ) = e A (j =0,1,2 , •••),于是,Z的所 J ! 有可能取值为全体整数.故Z的概率分布为 1)当怡为正整数时,有 P(Z=b)=P(XY = b)=P(X=l,Y=b)=P(X=l)P(y=b)1 z k =—• (k =1,2,3,…), z k ! 2)当怡为负整数时,有 P(Z =k) =P(XY = b) = P(X = —1,Y = T) =P(X = — l)P(Y = T) 1 } ~k = C •/ 7、■ e (k = 1 9 2 , 3,・・・)9 6 (— k ) ! 3)当怡为0时,有 P(Z =0) =P(XY = 0) =P(X = —l,Y = 0) +P(X =l)P(Y = 0) =P(X = —l,Y = 0) 1 -A I 1 -A _ -A =7e +7e [i P f k = 1,2 9 3 9 … 7TFe 5 故 p(z=e)=丿「, b = 0 9 i 厂 f k = — 1, — 2,一 3,… 〔2 (―厂! (23)【解】(I)似然函数为 丄「牘Z n L (工1 9工2,…9工 “)=11心 (J) —oo < J? i <+ °o,z = 1,2,••• i = 1 2”c" 于是 In L = 一 n In 2 — 7? In cr 一 -Sl-.-l ° 1 = 1 人 din L 1 令 I 2 丨広i I = 0 '得C的最大似然估计量为c =—I Xi | . n = d(7 c C 2=1 " (H)EG)=丄£e(|x, |)=e( M +oo I 工 I y 1 -e 丨工 ° 丨 djr = — x e — — ° cLr n z = i —8 厶O 0 CT f+°° + °+°° _王 =— jc de a =一 x e a e a =o. J o 0 o dG) =1£d( |x, |) D(|X|) _E[|X|2-E2(|X|)] 兀 1 n n i = 京 1 _ 1j_L dj -^ ) 4 ( r X— 丁 2 e _7 x ai x 一 a2 n a T»+<00 x2 de ° —(72 n \J o< T 2jc e ° djr -一 CT2 )=—(2(72 一 CT2 )=— n 'J < / n n
基本 文件 流程 错误 SQL 调试
  1. 请求信息 : 2026-03-03 06:24:22 HTTP/1.1 GET : https://www.yeyulingfeng.com/wendang/325019.html
  2. 运行时间 : 0.089405s [ 吞吐率:11.19req/s ] 内存消耗:5,760.76kb 文件加载:144
  3. 缓存信息 : 0 reads,0 writes
  4. 会话信息 : SESSION_ID=56dc1f18c4bed7474ef4c1c6711f584b
  1. /yingpanguazai/ssd/ssd1/www/wwww.yeyulingfeng.com/public/index.php ( 0.79 KB )
  2. /yingpanguazai/ssd/ssd1/www/wwww.yeyulingfeng.com/vendor/autoload.php ( 0.17 KB )
  3. /yingpanguazai/ssd/ssd1/www/wwww.yeyulingfeng.com/vendor/composer/autoload_real.php ( 2.49 KB )
  4. /yingpanguazai/ssd/ssd1/www/wwww.yeyulingfeng.com/vendor/composer/platform_check.php ( 0.90 KB )
  5. /yingpanguazai/ssd/ssd1/www/wwww.yeyulingfeng.com/vendor/composer/ClassLoader.php ( 14.03 KB )
  6. /yingpanguazai/ssd/ssd1/www/wwww.yeyulingfeng.com/vendor/composer/autoload_static.php ( 6.05 KB )
  7. /yingpanguazai/ssd/ssd1/www/wwww.yeyulingfeng.com/vendor/topthink/think-helper/src/helper.php ( 8.34 KB )
  8. /yingpanguazai/ssd/ssd1/www/wwww.yeyulingfeng.com/vendor/topthink/think-validate/src/helper.php ( 2.19 KB )
  9. /yingpanguazai/ssd/ssd1/www/wwww.yeyulingfeng.com/vendor/ralouphie/getallheaders/src/getallheaders.php ( 1.60 KB )
  10. /yingpanguazai/ssd/ssd1/www/wwww.yeyulingfeng.com/vendor/topthink/think-orm/src/helper.php ( 1.47 KB )
  11. /yingpanguazai/ssd/ssd1/www/wwww.yeyulingfeng.com/vendor/topthink/think-orm/stubs/load_stubs.php ( 0.16 KB )
  12. /yingpanguazai/ssd/ssd1/www/wwww.yeyulingfeng.com/vendor/topthink/framework/src/think/Exception.php ( 1.69 KB )
  13. /yingpanguazai/ssd/ssd1/www/wwww.yeyulingfeng.com/vendor/topthink/think-container/src/Facade.php ( 2.71 KB )
  14. /yingpanguazai/ssd/ssd1/www/wwww.yeyulingfeng.com/vendor/symfony/deprecation-contracts/function.php ( 0.99 KB )
  15. /yingpanguazai/ssd/ssd1/www/wwww.yeyulingfeng.com/vendor/symfony/polyfill-mbstring/bootstrap.php ( 8.26 KB )
  16. /yingpanguazai/ssd/ssd1/www/wwww.yeyulingfeng.com/vendor/symfony/polyfill-mbstring/bootstrap80.php ( 9.78 KB )
  17. /yingpanguazai/ssd/ssd1/www/wwww.yeyulingfeng.com/vendor/symfony/var-dumper/Resources/functions/dump.php ( 1.49 KB )
  18. /yingpanguazai/ssd/ssd1/www/wwww.yeyulingfeng.com/vendor/topthink/think-dumper/src/helper.php ( 0.18 KB )
  19. /yingpanguazai/ssd/ssd1/www/wwww.yeyulingfeng.com/vendor/symfony/var-dumper/VarDumper.php ( 4.30 KB )
  20. /yingpanguazai/ssd/ssd1/www/wwww.yeyulingfeng.com/vendor/guzzlehttp/guzzle/src/functions_include.php ( 0.16 KB )
  21. /yingpanguazai/ssd/ssd1/www/wwww.yeyulingfeng.com/vendor/guzzlehttp/guzzle/src/functions.php ( 5.54 KB )
  22. /yingpanguazai/ssd/ssd1/www/wwww.yeyulingfeng.com/vendor/topthink/framework/src/think/App.php ( 15.30 KB )
  23. /yingpanguazai/ssd/ssd1/www/wwww.yeyulingfeng.com/vendor/topthink/think-container/src/Container.php ( 15.76 KB )
  24. /yingpanguazai/ssd/ssd1/www/wwww.yeyulingfeng.com/vendor/psr/container/src/ContainerInterface.php ( 1.02 KB )
  25. /yingpanguazai/ssd/ssd1/www/wwww.yeyulingfeng.com/app/provider.php ( 0.19 KB )
  26. /yingpanguazai/ssd/ssd1/www/wwww.yeyulingfeng.com/vendor/topthink/framework/src/think/Http.php ( 6.04 KB )
  27. /yingpanguazai/ssd/ssd1/www/wwww.yeyulingfeng.com/vendor/topthink/think-helper/src/helper/Str.php ( 7.29 KB )
  28. /yingpanguazai/ssd/ssd1/www/wwww.yeyulingfeng.com/vendor/topthink/framework/src/think/Env.php ( 4.68 KB )
  29. /yingpanguazai/ssd/ssd1/www/wwww.yeyulingfeng.com/app/common.php ( 0.03 KB )
  30. /yingpanguazai/ssd/ssd1/www/wwww.yeyulingfeng.com/vendor/topthink/framework/src/helper.php ( 18.78 KB )
  31. /yingpanguazai/ssd/ssd1/www/wwww.yeyulingfeng.com/vendor/topthink/framework/src/think/Config.php ( 5.54 KB )
  32. /yingpanguazai/ssd/ssd1/www/wwww.yeyulingfeng.com/config/alipay.php ( 3.59 KB )
  33. /yingpanguazai/ssd/ssd1/www/wwww.yeyulingfeng.com/vendor/topthink/framework/src/think/facade/Env.php ( 1.67 KB )
  34. /yingpanguazai/ssd/ssd1/www/wwww.yeyulingfeng.com/config/app.php ( 0.95 KB )
  35. /yingpanguazai/ssd/ssd1/www/wwww.yeyulingfeng.com/config/cache.php ( 0.78 KB )
  36. /yingpanguazai/ssd/ssd1/www/wwww.yeyulingfeng.com/config/console.php ( 0.23 KB )
  37. /yingpanguazai/ssd/ssd1/www/wwww.yeyulingfeng.com/config/cookie.php ( 0.56 KB )
  38. /yingpanguazai/ssd/ssd1/www/wwww.yeyulingfeng.com/config/database.php ( 2.48 KB )
  39. /yingpanguazai/ssd/ssd1/www/wwww.yeyulingfeng.com/config/filesystem.php ( 0.61 KB )
  40. /yingpanguazai/ssd/ssd1/www/wwww.yeyulingfeng.com/config/lang.php ( 0.91 KB )
  41. /yingpanguazai/ssd/ssd1/www/wwww.yeyulingfeng.com/config/log.php ( 1.35 KB )
  42. /yingpanguazai/ssd/ssd1/www/wwww.yeyulingfeng.com/config/middleware.php ( 0.19 KB )
  43. /yingpanguazai/ssd/ssd1/www/wwww.yeyulingfeng.com/config/route.php ( 1.89 KB )
  44. /yingpanguazai/ssd/ssd1/www/wwww.yeyulingfeng.com/config/session.php ( 0.57 KB )
  45. /yingpanguazai/ssd/ssd1/www/wwww.yeyulingfeng.com/config/trace.php ( 0.34 KB )
  46. /yingpanguazai/ssd/ssd1/www/wwww.yeyulingfeng.com/config/view.php ( 0.82 KB )
  47. /yingpanguazai/ssd/ssd1/www/wwww.yeyulingfeng.com/app/event.php ( 0.25 KB )
  48. /yingpanguazai/ssd/ssd1/www/wwww.yeyulingfeng.com/vendor/topthink/framework/src/think/Event.php ( 7.67 KB )
  49. /yingpanguazai/ssd/ssd1/www/wwww.yeyulingfeng.com/app/service.php ( 0.13 KB )
  50. /yingpanguazai/ssd/ssd1/www/wwww.yeyulingfeng.com/app/AppService.php ( 0.26 KB )
  51. /yingpanguazai/ssd/ssd1/www/wwww.yeyulingfeng.com/vendor/topthink/framework/src/think/Service.php ( 1.64 KB )
  52. /yingpanguazai/ssd/ssd1/www/wwww.yeyulingfeng.com/vendor/topthink/framework/src/think/Lang.php ( 7.35 KB )
  53. /yingpanguazai/ssd/ssd1/www/wwww.yeyulingfeng.com/vendor/topthink/framework/src/lang/zh-cn.php ( 13.70 KB )
  54. /yingpanguazai/ssd/ssd1/www/wwww.yeyulingfeng.com/vendor/topthink/framework/src/think/initializer/Error.php ( 3.31 KB )
  55. /yingpanguazai/ssd/ssd1/www/wwww.yeyulingfeng.com/vendor/topthink/framework/src/think/initializer/RegisterService.php ( 1.33 KB )
  56. /yingpanguazai/ssd/ssd1/www/wwww.yeyulingfeng.com/vendor/services.php ( 0.14 KB )
  57. /yingpanguazai/ssd/ssd1/www/wwww.yeyulingfeng.com/vendor/topthink/framework/src/think/service/PaginatorService.php ( 1.52 KB )
  58. /yingpanguazai/ssd/ssd1/www/wwww.yeyulingfeng.com/vendor/topthink/framework/src/think/service/ValidateService.php ( 0.99 KB )
  59. /yingpanguazai/ssd/ssd1/www/wwww.yeyulingfeng.com/vendor/topthink/framework/src/think/service/ModelService.php ( 2.04 KB )
  60. /yingpanguazai/ssd/ssd1/www/wwww.yeyulingfeng.com/vendor/topthink/think-trace/src/Service.php ( 0.77 KB )
  61. /yingpanguazai/ssd/ssd1/www/wwww.yeyulingfeng.com/vendor/topthink/framework/src/think/Middleware.php ( 6.72 KB )
  62. /yingpanguazai/ssd/ssd1/www/wwww.yeyulingfeng.com/vendor/topthink/framework/src/think/initializer/BootService.php ( 0.77 KB )
  63. /yingpanguazai/ssd/ssd1/www/wwww.yeyulingfeng.com/vendor/topthink/think-orm/src/Paginator.php ( 11.86 KB )
  64. /yingpanguazai/ssd/ssd1/www/wwww.yeyulingfeng.com/vendor/topthink/think-validate/src/Validate.php ( 63.20 KB )
  65. /yingpanguazai/ssd/ssd1/www/wwww.yeyulingfeng.com/vendor/topthink/think-orm/src/Model.php ( 23.55 KB )
  66. /yingpanguazai/ssd/ssd1/www/wwww.yeyulingfeng.com/vendor/topthink/think-orm/src/model/concern/Attribute.php ( 21.05 KB )
  67. /yingpanguazai/ssd/ssd1/www/wwww.yeyulingfeng.com/vendor/topthink/think-orm/src/model/concern/AutoWriteData.php ( 4.21 KB )
  68. /yingpanguazai/ssd/ssd1/www/wwww.yeyulingfeng.com/vendor/topthink/think-orm/src/model/concern/Conversion.php ( 6.44 KB )
  69. /yingpanguazai/ssd/ssd1/www/wwww.yeyulingfeng.com/vendor/topthink/think-orm/src/model/concern/DbConnect.php ( 5.16 KB )
  70. /yingpanguazai/ssd/ssd1/www/wwww.yeyulingfeng.com/vendor/topthink/think-orm/src/model/concern/ModelEvent.php ( 2.33 KB )
  71. /yingpanguazai/ssd/ssd1/www/wwww.yeyulingfeng.com/vendor/topthink/think-orm/src/model/concern/RelationShip.php ( 28.29 KB )
  72. /yingpanguazai/ssd/ssd1/www/wwww.yeyulingfeng.com/vendor/topthink/think-helper/src/contract/Arrayable.php ( 0.09 KB )
  73. /yingpanguazai/ssd/ssd1/www/wwww.yeyulingfeng.com/vendor/topthink/think-helper/src/contract/Jsonable.php ( 0.13 KB )
  74. /yingpanguazai/ssd/ssd1/www/wwww.yeyulingfeng.com/vendor/topthink/think-orm/src/model/contract/Modelable.php ( 0.09 KB )
  75. /yingpanguazai/ssd/ssd1/www/wwww.yeyulingfeng.com/vendor/topthink/framework/src/think/Db.php ( 2.88 KB )
  76. /yingpanguazai/ssd/ssd1/www/wwww.yeyulingfeng.com/vendor/topthink/think-orm/src/DbManager.php ( 8.52 KB )
  77. /yingpanguazai/ssd/ssd1/www/wwww.yeyulingfeng.com/vendor/topthink/framework/src/think/Log.php ( 6.28 KB )
  78. /yingpanguazai/ssd/ssd1/www/wwww.yeyulingfeng.com/vendor/topthink/framework/src/think/Manager.php ( 3.92 KB )
  79. /yingpanguazai/ssd/ssd1/www/wwww.yeyulingfeng.com/vendor/psr/log/src/LoggerTrait.php ( 2.69 KB )
  80. /yingpanguazai/ssd/ssd1/www/wwww.yeyulingfeng.com/vendor/psr/log/src/LoggerInterface.php ( 2.71 KB )
  81. /yingpanguazai/ssd/ssd1/www/wwww.yeyulingfeng.com/vendor/topthink/framework/src/think/Cache.php ( 4.92 KB )
  82. /yingpanguazai/ssd/ssd1/www/wwww.yeyulingfeng.com/vendor/psr/simple-cache/src/CacheInterface.php ( 4.71 KB )
  83. /yingpanguazai/ssd/ssd1/www/wwww.yeyulingfeng.com/vendor/topthink/think-helper/src/helper/Arr.php ( 16.63 KB )
  84. /yingpanguazai/ssd/ssd1/www/wwww.yeyulingfeng.com/vendor/topthink/framework/src/think/cache/driver/File.php ( 7.84 KB )
  85. /yingpanguazai/ssd/ssd1/www/wwww.yeyulingfeng.com/vendor/topthink/framework/src/think/cache/Driver.php ( 9.03 KB )
  86. /yingpanguazai/ssd/ssd1/www/wwww.yeyulingfeng.com/vendor/topthink/framework/src/think/contract/CacheHandlerInterface.php ( 1.99 KB )
  87. /yingpanguazai/ssd/ssd1/www/wwww.yeyulingfeng.com/app/Request.php ( 0.09 KB )
  88. /yingpanguazai/ssd/ssd1/www/wwww.yeyulingfeng.com/vendor/topthink/framework/src/think/Request.php ( 55.78 KB )
  89. /yingpanguazai/ssd/ssd1/www/wwww.yeyulingfeng.com/app/middleware.php ( 0.25 KB )
  90. /yingpanguazai/ssd/ssd1/www/wwww.yeyulingfeng.com/vendor/topthink/framework/src/think/Pipeline.php ( 2.61 KB )
  91. /yingpanguazai/ssd/ssd1/www/wwww.yeyulingfeng.com/vendor/topthink/think-trace/src/TraceDebug.php ( 3.40 KB )
  92. /yingpanguazai/ssd/ssd1/www/wwww.yeyulingfeng.com/vendor/topthink/framework/src/think/middleware/SessionInit.php ( 1.94 KB )
  93. /yingpanguazai/ssd/ssd1/www/wwww.yeyulingfeng.com/vendor/topthink/framework/src/think/Session.php ( 1.80 KB )
  94. /yingpanguazai/ssd/ssd1/www/wwww.yeyulingfeng.com/vendor/topthink/framework/src/think/session/driver/File.php ( 6.27 KB )
  95. /yingpanguazai/ssd/ssd1/www/wwww.yeyulingfeng.com/vendor/topthink/framework/src/think/contract/SessionHandlerInterface.php ( 0.87 KB )
  96. /yingpanguazai/ssd/ssd1/www/wwww.yeyulingfeng.com/vendor/topthink/framework/src/think/session/Store.php ( 7.12 KB )
  97. /yingpanguazai/ssd/ssd1/www/wwww.yeyulingfeng.com/vendor/topthink/framework/src/think/Route.php ( 23.73 KB )
  98. /yingpanguazai/ssd/ssd1/www/wwww.yeyulingfeng.com/vendor/topthink/framework/src/think/route/RuleName.php ( 5.75 KB )
  99. /yingpanguazai/ssd/ssd1/www/wwww.yeyulingfeng.com/vendor/topthink/framework/src/think/route/Domain.php ( 2.53 KB )
  100. /yingpanguazai/ssd/ssd1/www/wwww.yeyulingfeng.com/vendor/topthink/framework/src/think/route/RuleGroup.php ( 22.43 KB )
  101. /yingpanguazai/ssd/ssd1/www/wwww.yeyulingfeng.com/vendor/topthink/framework/src/think/route/Rule.php ( 26.95 KB )
  102. /yingpanguazai/ssd/ssd1/www/wwww.yeyulingfeng.com/vendor/topthink/framework/src/think/route/RuleItem.php ( 9.78 KB )
  103. /yingpanguazai/ssd/ssd1/www/wwww.yeyulingfeng.com/route/app.php ( 3.63 KB )
  104. /yingpanguazai/ssd/ssd1/www/wwww.yeyulingfeng.com/vendor/topthink/framework/src/think/facade/Route.php ( 4.70 KB )
  105. /yingpanguazai/ssd/ssd1/www/wwww.yeyulingfeng.com/vendor/topthink/framework/src/think/route/dispatch/Controller.php ( 4.74 KB )
  106. /yingpanguazai/ssd/ssd1/www/wwww.yeyulingfeng.com/vendor/topthink/framework/src/think/route/Dispatch.php ( 10.44 KB )
  107. /yingpanguazai/ssd/ssd1/www/wwww.yeyulingfeng.com/app/controller/Index.php ( 9.50 KB )
  108. /yingpanguazai/ssd/ssd1/www/wwww.yeyulingfeng.com/app/BaseController.php ( 2.05 KB )
  109. /yingpanguazai/ssd/ssd1/www/wwww.yeyulingfeng.com/vendor/topthink/think-orm/src/facade/Db.php ( 0.93 KB )
  110. /yingpanguazai/ssd/ssd1/www/wwww.yeyulingfeng.com/vendor/topthink/think-orm/src/db/connector/Mysql.php ( 5.44 KB )
  111. /yingpanguazai/ssd/ssd1/www/wwww.yeyulingfeng.com/vendor/topthink/think-orm/src/db/PDOConnection.php ( 52.47 KB )
  112. /yingpanguazai/ssd/ssd1/www/wwww.yeyulingfeng.com/vendor/topthink/think-orm/src/db/Connection.php ( 8.39 KB )
  113. /yingpanguazai/ssd/ssd1/www/wwww.yeyulingfeng.com/vendor/topthink/think-orm/src/db/ConnectionInterface.php ( 4.57 KB )
  114. /yingpanguazai/ssd/ssd1/www/wwww.yeyulingfeng.com/vendor/topthink/think-orm/src/db/builder/Mysql.php ( 16.58 KB )
  115. /yingpanguazai/ssd/ssd1/www/wwww.yeyulingfeng.com/vendor/topthink/think-orm/src/db/Builder.php ( 24.06 KB )
  116. /yingpanguazai/ssd/ssd1/www/wwww.yeyulingfeng.com/vendor/topthink/think-orm/src/db/BaseBuilder.php ( 27.50 KB )
  117. /yingpanguazai/ssd/ssd1/www/wwww.yeyulingfeng.com/vendor/topthink/think-orm/src/db/Query.php ( 15.71 KB )
  118. /yingpanguazai/ssd/ssd1/www/wwww.yeyulingfeng.com/vendor/topthink/think-orm/src/db/BaseQuery.php ( 45.13 KB )
  119. /yingpanguazai/ssd/ssd1/www/wwww.yeyulingfeng.com/vendor/topthink/think-orm/src/db/concern/TimeFieldQuery.php ( 7.43 KB )
  120. /yingpanguazai/ssd/ssd1/www/wwww.yeyulingfeng.com/vendor/topthink/think-orm/src/db/concern/AggregateQuery.php ( 3.26 KB )
  121. /yingpanguazai/ssd/ssd1/www/wwww.yeyulingfeng.com/vendor/topthink/think-orm/src/db/concern/ModelRelationQuery.php ( 20.07 KB )
  122. /yingpanguazai/ssd/ssd1/www/wwww.yeyulingfeng.com/vendor/topthink/think-orm/src/db/concern/ParamsBind.php ( 3.66 KB )
  123. /yingpanguazai/ssd/ssd1/www/wwww.yeyulingfeng.com/vendor/topthink/think-orm/src/db/concern/ResultOperation.php ( 7.01 KB )
  124. /yingpanguazai/ssd/ssd1/www/wwww.yeyulingfeng.com/vendor/topthink/think-orm/src/db/concern/WhereQuery.php ( 19.37 KB )
  125. /yingpanguazai/ssd/ssd1/www/wwww.yeyulingfeng.com/vendor/topthink/think-orm/src/db/concern/JoinAndViewQuery.php ( 7.11 KB )
  126. /yingpanguazai/ssd/ssd1/www/wwww.yeyulingfeng.com/vendor/topthink/think-orm/src/db/concern/TableFieldInfo.php ( 2.63 KB )
  127. /yingpanguazai/ssd/ssd1/www/wwww.yeyulingfeng.com/vendor/topthink/think-orm/src/db/concern/Transaction.php ( 2.77 KB )
  128. /yingpanguazai/ssd/ssd1/www/wwww.yeyulingfeng.com/vendor/topthink/framework/src/think/log/driver/File.php ( 5.96 KB )
  129. /yingpanguazai/ssd/ssd1/www/wwww.yeyulingfeng.com/vendor/topthink/framework/src/think/contract/LogHandlerInterface.php ( 0.86 KB )
  130. /yingpanguazai/ssd/ssd1/www/wwww.yeyulingfeng.com/vendor/topthink/framework/src/think/log/Channel.php ( 3.89 KB )
  131. /yingpanguazai/ssd/ssd1/www/wwww.yeyulingfeng.com/vendor/topthink/framework/src/think/event/LogRecord.php ( 1.02 KB )
  132. /yingpanguazai/ssd/ssd1/www/wwww.yeyulingfeng.com/vendor/topthink/think-helper/src/Collection.php ( 16.47 KB )
  133. /yingpanguazai/ssd/ssd1/www/wwww.yeyulingfeng.com/vendor/topthink/framework/src/think/facade/View.php ( 1.70 KB )
  134. /yingpanguazai/ssd/ssd1/www/wwww.yeyulingfeng.com/vendor/topthink/framework/src/think/View.php ( 4.39 KB )
  135. /yingpanguazai/ssd/ssd1/www/wwww.yeyulingfeng.com/vendor/topthink/framework/src/think/Response.php ( 8.81 KB )
  136. /yingpanguazai/ssd/ssd1/www/wwww.yeyulingfeng.com/vendor/topthink/framework/src/think/response/View.php ( 3.29 KB )
  137. /yingpanguazai/ssd/ssd1/www/wwww.yeyulingfeng.com/vendor/topthink/framework/src/think/Cookie.php ( 6.06 KB )
  138. /yingpanguazai/ssd/ssd1/www/wwww.yeyulingfeng.com/vendor/topthink/think-view/src/Think.php ( 8.38 KB )
  139. /yingpanguazai/ssd/ssd1/www/wwww.yeyulingfeng.com/vendor/topthink/framework/src/think/contract/TemplateHandlerInterface.php ( 1.60 KB )
  140. /yingpanguazai/ssd/ssd1/www/wwww.yeyulingfeng.com/vendor/topthink/think-template/src/Template.php ( 46.61 KB )
  141. /yingpanguazai/ssd/ssd1/www/wwww.yeyulingfeng.com/vendor/topthink/think-template/src/template/driver/File.php ( 2.41 KB )
  142. /yingpanguazai/ssd/ssd1/www/wwww.yeyulingfeng.com/vendor/topthink/think-template/src/template/contract/DriverInterface.php ( 0.86 KB )
  143. /yingpanguazai/ssd/ssd1/www/wwww.yeyulingfeng.com/runtime/temp/10a0c909b6afa23b5a52a2e2d58c3c0f.php ( 21.72 KB )
  144. /yingpanguazai/ssd/ssd1/www/wwww.yeyulingfeng.com/vendor/topthink/think-trace/src/Html.php ( 4.42 KB )
  1. CONNECT:[ UseTime:0.000548s ] mysql:host=127.0.0.1;port=3306;dbname=wenku;charset=utf8mb4
  2. SHOW FULL COLUMNS FROM `fenlei` [ RunTime:0.000697s ]
  3. SELECT * FROM `fenlei` WHERE `fid` = 0 [ RunTime:0.000323s ]
  4. SELECT * FROM `fenlei` WHERE `fid` = 63 [ RunTime:0.000291s ]
  5. SHOW FULL COLUMNS FROM `set` [ RunTime:0.000517s ]
  6. SELECT * FROM `set` [ RunTime:0.000198s ]
  7. SHOW FULL COLUMNS FROM `wendang` [ RunTime:0.000654s ]
  8. SELECT * FROM `wendang` WHERE `id` = 325019 LIMIT 1 [ RunTime:0.000488s ]
  9. UPDATE `wendang` SET `liulancishu` = 8 WHERE `id` = 325019 [ RunTime:0.007560s ]
  10. UPDATE `wendang` SET `lasttime` = 1772490262 WHERE `id` = 325019 [ RunTime:0.000674s ]
  11. SELECT * FROM `wendang` WHERE `id` < 325019 ORDER BY `id` DESC LIMIT 1 [ RunTime:0.000765s ]
  12. SELECT * FROM `wendang` WHERE `id` > 325019 ORDER BY `id` ASC LIMIT 1 [ RunTime:0.000514s ]
  13. SELECT * FROM `wendang` WHERE `id` <> 325019 ORDER BY `id` DESC LIMIT 10 [ RunTime:0.001105s ]
  14. SELECT * FROM `wendang` WHERE `id` <> 325019 ORDER BY `id` DESC LIMIT 10,10 [ RunTime:0.001060s ]
  15. SELECT * FROM `wendang` WHERE `id` <> 325019 ORDER BY `id` DESC LIMIT 20,10 [ RunTime:0.005103s ]
0.091072s