当前位置:首页>文档>2014年全国统一高考数学试卷(理科)(新课标Ⅱ)(原卷版)_全国卷+地方卷_2.数学_1.数学高考真题试卷_2008-2020年_地方卷_重庆高考数学08-22_全国统一高考数学(理科)(新课标ⅱ)_298

2014年全国统一高考数学试卷(理科)(新课标Ⅱ)(原卷版)_全国卷+地方卷_2.数学_1.数学高考真题试卷_2008-2020年_地方卷_重庆高考数学08-22_全国统一高考数学(理科)(新课标ⅱ)_298

  • 2026-04-01 10:28:15 2026-03-05 13:00:42

文档预览

2014年全国统一高考数学试卷(理科)(新课标Ⅱ)(原卷版)_全国卷+地方卷_2.数学_1.数学高考真题试卷_2008-2020年_地方卷_重庆高考数学08-22_全国统一高考数学(理科)(新课标ⅱ)_298
2014年全国统一高考数学试卷(理科)(新课标Ⅱ)(原卷版)_全国卷+地方卷_2.数学_1.数学高考真题试卷_2008-2020年_地方卷_重庆高考数学08-22_全国统一高考数学(理科)(新课标ⅱ)_298
2014年全国统一高考数学试卷(理科)(新课标Ⅱ)(原卷版)_全国卷+地方卷_2.数学_1.数学高考真题试卷_2008-2020年_地方卷_重庆高考数学08-22_全国统一高考数学(理科)(新课标ⅱ)_298
2014年全国统一高考数学试卷(理科)(新课标Ⅱ)(原卷版)_全国卷+地方卷_2.数学_1.数学高考真题试卷_2008-2020年_地方卷_重庆高考数学08-22_全国统一高考数学(理科)(新课标ⅱ)_298
2014年全国统一高考数学试卷(理科)(新课标Ⅱ)(原卷版)_全国卷+地方卷_2.数学_1.数学高考真题试卷_2008-2020年_地方卷_重庆高考数学08-22_全国统一高考数学(理科)(新课标ⅱ)_298
2014年全国统一高考数学试卷(理科)(新课标Ⅱ)(原卷版)_全国卷+地方卷_2.数学_1.数学高考真题试卷_2008-2020年_地方卷_重庆高考数学08-22_全国统一高考数学(理科)(新课标ⅱ)_298
2014年全国统一高考数学试卷(理科)(新课标Ⅱ)(原卷版)_全国卷+地方卷_2.数学_1.数学高考真题试卷_2008-2020年_地方卷_重庆高考数学08-22_全国统一高考数学(理科)(新课标ⅱ)_298

文档信息

文档格式
doc
文档大小
0.081 MB
文档页数
7 页
上传时间
2026-03-05 13:00:42

文档内容

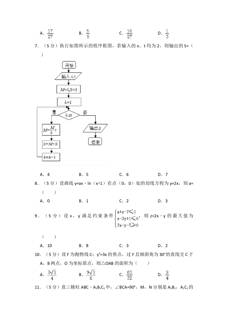
2014 年全国统一高考数学试卷(理科)(新课标Ⅱ) 一、选择题:本大题共12小题,每小题5分,在每小题给出的四个选项中,只 有一个选项符合题目要求. 1.(5分)设集合M={0,1,2},N={x|x2﹣3x+2≤0},则M∩N=( ) A.{1} B.{2} C.{0,1} D.{1,2} 2.(5分)设复数z ,z 在复平面内的对应点关于虚轴对称,z =2+i,则z z =( 1 2 1 1 2 ) A.﹣5 B.5 C.﹣4+i D.﹣4﹣i 3.(5分)设向量 , 满足| + |= ,| ﹣ |= ,则 • =( ) A.1 B.2 C.3 D.5 4.(5分)钝角三角形ABC的面积是 ,AB=1,BC= ,则AC=( ) A.5 B. C.2 D.1 5.(5分)某地区空气质量监测资料表明,一天的空气质量为优良的概率是 0.75,连续两天为优良的概率是 0.6,已知某天的空气质量为优良,则随后 一天的空气质量为优良的概率是( ) A.0.8 B.0.75 C.0.6 D.0.45 6.(5分)如图,网格纸上正方形小格的边长为 1(表示1cm),图中粗线画 出的是某零件的三视图,该零件由一个底面半径为3cm,高为6cm的圆柱体 毛坯切削得到,则切削掉部分的体积与原来毛坯体积的比值为( )A. B. C. D. 7.(5分)执行如图所示的程序框图,若输入的 x,t均为2,则输出的S=( ) A.4 B.5 C.6 D.7 8.(5分)设曲线y=ax﹣ln(x+1)在点(0,0)处的切线方程为y=2x,则a= ( ) A.0 B.1 C.2 D.3 9.(5 分)设 x,y 满足约束条件 ,则 z=2x﹣y 的最大值为 ( ) A.10 B.8 C.3 D.2 10.(5分)设F为抛物线C:y2=3x的焦点,过F且倾斜角为30°的直线交C于 A,B两点,O为坐标原点,则△OAB的面积为( ) A. B. C. D. 11.(5分)直三棱柱ABC﹣A B C 中,∠BCA=90°,M,N分别是A B ,A C 的 1 1 1 1 1 1 1中点,BC=CA=CC ,则BM与AN所成角的余弦值为( ) 1 A. B. C. D. 12.(5 分)设函数 f(x)= sin ,若存在 f(x)的极值点 x 满足 x 2+[f 0 0 (x )]2<m2,则m的取值范围是( ) 0 A.(﹣∞,﹣6)∪(6,+∞) B.(﹣∞,﹣4)∪(4,+∞) C.(﹣∞,﹣2)∪(2,+∞) D.(﹣∞,﹣1)∪(1,+∞) 二、填空题:本大题共4小题,每小题5分.(第13题~第21题为必考题,每 个试题考生都必须作答,第22题~第24题为选考题,考生根据要求作答) 13.(5分)(x+a)10的展开式中,x7的系数为15,则a= . 14.(5分)函数f(x)=sin(x+2φ)﹣2sinφcos(x+φ)的最大值为 . 15.(5分)已知偶函数 f(x)在[0,+∞)单调递减,f(2)=0,若f(x﹣ 1)>0,则x的取值范围是 . 16.(5 分)设点 M(x ,1),若在圆 O:x2+y2=1 上存在点 N,使得 0 ∠OMN=45°,则x 的取值范围是 . 0 三、解答题:解答应写出文字说明,证明过程或验算步骤. 17.(12分)已知数列{a }满足a =1,a =3a +1. n 1 n+1 n (Ⅰ)证明{a + }是等比数列,并求{a }的通项公式; n n (Ⅱ)证明: + +…+ < .18.(12 分)如图,四棱锥 P﹣ABCD 中,底面 ABCD 为矩形,PA⊥平面 ABCD,E为PD的中点. (Ⅰ)证明:PB∥平面AEC; (Ⅱ)设二面角D﹣AE﹣C为60°,AP=1,AD= ,求三棱锥E﹣ACD的体积. 19.(12分)某地区2007年至2013年农村居民家庭人均纯收入y(单位:千 元)的数据如表: 年份 2007 2008 2009 2010 2011 2012 2013 年份代号t 1 2 3 4 5 6 7 人均纯收入y 2.9 3.3 3.6 4.4 4.8 5.2 5.9 (Ⅰ)求y关于t的线性回归方程; (Ⅱ)利用(Ⅰ)中的回归方程,分析2007年至2013年该地区农村居民家庭 人均纯收入的变化情况,并预测该地区2015年农村居民家庭人均纯收入. 附 : 回 归 直 线 的 斜 率 和 截 距 的 最 小 二 乘 估 计 公 式 分 别 为 : =, = ﹣ . 20.(12分)设F ,F 分别是C: + =1(a>b>0)的左,右焦点,M是C 1 2 上一点且MF 与x轴垂直,直线MF 与C的另一个交点为N. 2 1 (1)若直线MN的斜率为 ,求C的离心率; (2)若直线MN在y轴上的截距为2,且|MN|=5|F N|,求a,b. 1 21.(12分)已知函数f(x)=ex﹣e﹣x﹣2x. (Ⅰ)讨论f(x)的单调性; (Ⅱ)设g(x)=f(2x)﹣4bf(x),当x>0时,g(x)>0,求b的最大值; (Ⅲ)已知1.4142< <1.4143,估计ln2的近似值(精确到0.001).请考生在第22、23、24三题中任选一题作答,如果多做,则按所做的第一题 计分,作答时请写清题号.【选修4-1:几何证明选讲】 22.(10分)如图,P是⊙O外一点,PA是切线,A为切点,割线PBC与⊙O 相交于点B,C,PC=2PA,D为PC的中点,AD的延长线交⊙O于点E,证明: (Ⅰ)BE=EC; (Ⅱ)AD•DE=2PB2. 【选修4-4:坐标系与参数方程】 23.在直角坐标系 xOy中,以坐标原点为极点,x轴正半轴为极轴建立极坐标 系,半圆C的极坐标方程为ρ=2cosθ,θ [0, ] ∈ (Ⅰ)求C的参数方程; (Ⅱ)设点D在半圆C上,半圆C在D处的切线与直线l:y= x+2垂直,根据 (1)中你得到的参数方程,求直线CD的倾斜角及D的坐标.六、解答题(共1小题,满分0分) 24.设函数f(x)=|x+ |+|x﹣a|(a>0). (Ⅰ)证明:f(x)≥2; (Ⅱ)若f(3)<5,求a的取值范围.