当前位置:首页>文档>2023年上海高考数学真题及答案_全国卷+地方卷_2.数学_1.数学高考真题试卷_2023年高考-数学_2023年上海自主命题(春+秋)

2023年上海高考数学真题及答案_全国卷+地方卷_2.数学_1.数学高考真题试卷_2023年高考-数学_2023年上海自主命题(春+秋)

  • 2026-03-11 18:23:01 2026-03-06 22:41:10

文档预览

2023年上海高考数学真题及答案_全国卷+地方卷_2.数学_1.数学高考真题试卷_2023年高考-数学_2023年上海自主命题(春+秋)
2023年上海高考数学真题及答案_全国卷+地方卷_2.数学_1.数学高考真题试卷_2023年高考-数学_2023年上海自主命题(春+秋)
2023年上海高考数学真题及答案_全国卷+地方卷_2.数学_1.数学高考真题试卷_2023年高考-数学_2023年上海自主命题(春+秋)
2023年上海高考数学真题及答案_全国卷+地方卷_2.数学_1.数学高考真题试卷_2023年高考-数学_2023年上海自主命题(春+秋)
2023年上海高考数学真题及答案_全国卷+地方卷_2.数学_1.数学高考真题试卷_2023年高考-数学_2023年上海自主命题(春+秋)
2023年上海高考数学真题及答案_全国卷+地方卷_2.数学_1.数学高考真题试卷_2023年高考-数学_2023年上海自主命题(春+秋)
2023年上海高考数学真题及答案_全国卷+地方卷_2.数学_1.数学高考真题试卷_2023年高考-数学_2023年上海自主命题(春+秋)
2023年上海高考数学真题及答案_全国卷+地方卷_2.数学_1.数学高考真题试卷_2023年高考-数学_2023年上海自主命题(春+秋)
2023年上海高考数学真题及答案_全国卷+地方卷_2.数学_1.数学高考真题试卷_2023年高考-数学_2023年上海自主命题(春+秋)
2023年上海高考数学真题及答案_全国卷+地方卷_2.数学_1.数学高考真题试卷_2023年高考-数学_2023年上海自主命题(春+秋)
2023年上海高考数学真题及答案_全国卷+地方卷_2.数学_1.数学高考真题试卷_2023年高考-数学_2023年上海自主命题(春+秋)
2023年上海高考数学真题及答案_全国卷+地方卷_2.数学_1.数学高考真题试卷_2023年高考-数学_2023年上海自主命题(春+秋)
2023年上海高考数学真题及答案_全国卷+地方卷_2.数学_1.数学高考真题试卷_2023年高考-数学_2023年上海自主命题(春+秋)
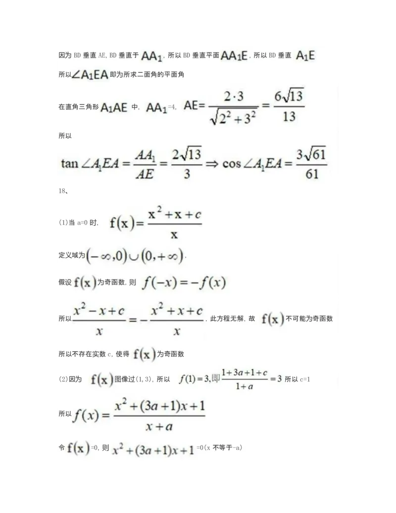
2023年上海高考数学真题及答案_全国卷+地方卷_2.数学_1.数学高考真题试卷_2023年高考-数学_2023年上海自主命题(春+秋)

文档信息

文档格式
docx
文档大小
3.683 MB
文档页数
14 页
上传时间
2026-03-06 22:41:10

文档内容

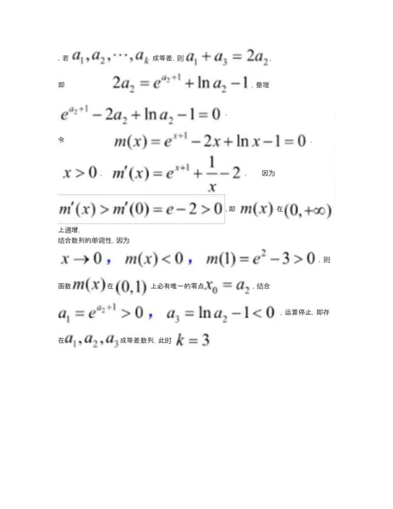
2023 年上海高考数学真题及答案 考生注意: 1.本试卷共 5 页,21 道试题,满分 150 分.考试时间 120 分钟. 2.本考试分设试卷和答题纸.试卷包括试题与答题要求.作答必须涂(选择题)或写(非选择题) 在答题纸上,在试卷上作答一律不得分. 3.答卷前,务必用钢笔或圆珠笔在答题纸正面消楚地填写姓名、准考证号,并将核对后的条形码 炶在指定位置上,在答题纸反面清超地填写姓名. 一、填空题(本大题共有 12 题,满分 54 分,第 1-6 题每题 4 分,第 7-12 题每题 5 分)考生应在 答题纸的相应位置填写结果. 1.不等式 的解集为 ; 2. 已知 ,求 ; 3.已知 为等比数列,且 ,求 ; 4.已知 ,求 ; 5.已知 ,则 的值域是 ; 6.已知当, 则 ; 7.已知 的面积为π,求 ; 8.在 中, ,求 ; 9.国内生产总值(GDP)是衡量地区经济状况的最佳指标,根据统计数据显示,某市在 2020 年间经济高质量增长,GDP 稳步增长,第一季度和第四季度的 GDP 分别为 231 和 242,且四个季度 GDP 的 中位数与平均数相等,则 2020 年 GDP 总額为 ; 10.已知, 其中 ,若 且 ,当 时,k 的最大值是 ; 11.公园修建斜坡,假设斜坡起点在水平面上,斜坡与水平面的夹角为θ斜坡终点距离水平面 的垂直高度为 4 米,游客每走一米消耗的体能为 ,要使游客从斜坡底走到斜坡顶 端所消耗的总体能最少,则θ= ; 12.空间内存在 abc 三点,满足 ,在空间内取不同两点(不计顺序),使得这两点 与 abc 可以组成正四棱锥,求方案数为 ; 二、选择题(本题共有 4 题,满分 18 分,13、14 每题 4 分,15、26 题每题 5 分)每题有且只有 一个正确选项,考生应在答题纸的相应位置,将代表正确选项的小方格涂黑. 13.已知 ,若 且 ,则 . A. B. C. D. 14.根据身高和体重散点图,下列说法正确的是(). A.身高越高,体重越重 B.身高越高,体重越轻C.身高与体重成正相关 D.身高与体重成负相关 15.设 ,函数 在区间 上的最小值为 ,在 上的最小值为 ,当 a 变化时, 以下不可能的情形是(). A. 且 B. 且 C. 且 D. 且 16.在平面上,若曲线 具有如下性质:存在点 ,使得对于任意点 ,都有 使得 .则称这条曲线为"自相关曲线".判断下列两个命题的真假(). (1)所有椭圆都是“自相关曲线". (2)存在是“自相关曲线”的双曲线. A.(1)假命题;(2)真命题 B.(1)真命题;(2)假命题 C.(1)真命题;(2)真命题 D.(1)假命题;(2)假命题三、解答题(本大题共有 5 题,满分 78 分)解答下列各题必须在答题纸的相应位置写出必要的步 骤. 17.(本题满分 14 分)本题共有 2 个小题,第 1 小邀满分 6 分,第 2 小题满分 8 分. 直四棱柱 . (1)求证: 面 (2)若四棱柱体积为 36,求 二面角的大小 18.(本题满分 14 分)本题共有 2 个小题,第 1 小题满分 6 分,第 2 小题满分 8 分. 函数 (1)当 是,是否存在实数 ,使得 为奇函数 (2)函数 的图像过点 ,且 的图像 轴负半轴有两个交点求实数 的取值范围 19. (本题满分 14 分)本题共有 2 个小题,第 1 小题满分 2 分,第 2 小題满分 6 分,第 3 小题满分 8 分. 21 世纪汽车博览会在上海 2023 年 6 月 7 日在上海举行,下表为某汽车模型公司共有 25 个汽车 模型,其外观和内饰的颜色分布如下表所示: (1)若小明从这些模型中随机拿一个模型,记事件 为小明取到的模型为红色外观,事件 B 取到模 型有棕色内饰 求 ,并据此判断事件 和事件 是否独立(2)该公司举行了一个抽奖活动,规定在一次抽奖中,每人可以一次性从这些模型中拿两个汽车 模型,给出以下假设:1、拿到的两个模型会出现三种结果,即外观和内饰均为同色、外观内饰都 异色、以及仅外观或仅内饰同色;2、按结果的可能性大小,概率越小奖项越高;(3)奖金额为一等 奖 600 元,二等奖 300 元,三等奖 150 元,请你分析奖项对应的结果,设 X 为奖金额,写出 X 的分布 列并求出 X 的数学期望 20. (本题满分 16 分)本题共有 3 个小题,第 1 小题满分 4 分,第 2 小题满分 6 分,第 3 小题满分 6 分. 曲线 ,第一象限内点 在 上, 的纵坐标是 . (1)若 到准线距离为 3,求 ; (2)若 在 轴上, 中点在 上,求点 坐标和坐标原点 到 距离; (3)直线 ,令 是第一象限 上异于 的一点,直线 交 于 是 在 上的投影,若点 满 足“对于任意 都有 "求 的取值范围. 21. (本题满分 18 分)本题共有 3 个小题,第 1 小题满分 4 分,第 2 小题满分 6 分,第 3 小题满分 8 分. 令 ,取点 过其曲线 做切线交 轴于 ,取点 过其做切线交 轴于 ,若 则停止,以此类推,得到数列 . (1)若正整数 ,证明 ; (2)若正整数 ,试比较 与 大小; (3)若正整数 ,是否存在 使得 依次成等差数列?若存在,求出 的所有取值,若不 存在,试说明理由. 参考答案 1、(1,3) 2、4 3、189 4、 5、 6、 7、-3 8、 9、946 10、49 11、 12、913、A 14、C 15、D 16、B 17、 (1)因为 AB 平行于 CD,所以 AB 与平面 平行 又因为 平行 ,所以 AA1 平行与平面 平行 因为 与 AB 相交于点 A,所以平面 与平面 平行 因为 属于平面 ,所以 平行于平面 (2)因为四棱柱体积为 36,设 AA1=h 所以 在底面内作 AE 垂直 BD 与 E,连因为 BD 垂直 AE,BD 垂直于 ,所以 BD 垂直平面 ,所以 BD 垂直 所以 即为所求二面角的平面角 在直角三角形 中, =4, 所以 18、 (1)当 a=0 时, 定义域为 , 假设 为奇函数,则 所以 ,此方程无解,故 不可能为奇函数 所以不存在实数 c,使得 为奇函数 (2)因为 图像过(1,3),所以 所以 c=1 所以 令 =0,则 =0(x 不等于-a)因为 图像与 x 轴负半轴有 2 个交点 所以 所以 所以 a 的取值范围为 19、 (1) (2)设三种结果:内外均同,内同或外同,内外均不同分别为事件 ,则 概率越小奖金越高分布列 20、 (1)由题意得 , ,准线 ,则 ; 当 时, ,B 在 x 轴上,设 ,则线段 AB 的中点为 在 上,则有 ,解得 ,即 ,则直线 AB 的斜率 ,直线 ,一般式为 , 则原点 O 到 AB 的距离 ; (3)设 由已知: 令 x=-3,即 a 的取值范围为 21、 (1)由 ,则 ,当 时,曲线在 处的切线方程式为: ,由题 意令 ,得 ,命题得证; (2) 即 即X=1 时 (3)假设存在 k,使得 依次成等差数列,所以公差 ,构造函数 ,函数的定义域 ,则 ,易得 , , 严格递增; , , 严格递减;所以 ,所以 ,即 ,即 ,计算,若 成等差,则 , 即 ,整理 , 令 , , , 因为 ,即 在 上递增, 结合数列的单调性,因为 ,则 函数 在 上必有唯一的零点 ,结合 ,运算停止,即存 在 成等差数列,此时