当前位置:首页>文档>专题20电与磁20.4电动机(学生版)_02中考总复习(2026版更新中)_04-物理-中考总复习_2024年中考复习资料_专项复习资料_完三年(2021—2023)中考真题分项精编(全国通用)

专题20电与磁20.4电动机(学生版)_02中考总复习(2026版更新中)_04-物理-中考总复习_2024年中考复习资料_专项复习资料_完三年(2021—2023)中考真题分项精编(全国通用)

  • 2026-04-05 00:41:06 2026-03-08 08:43:48

文档预览

专题20电与磁20.4电动机(学生版)_02中考总复习(2026版更新中)_04-物理-中考总复习_2024年中考复习资料_专项复习资料_完三年(2021—2023)中考真题分项精编(全国通用)
专题20电与磁20.4电动机(学生版)_02中考总复习(2026版更新中)_04-物理-中考总复习_2024年中考复习资料_专项复习资料_完三年(2021—2023)中考真题分项精编(全国通用)
专题20电与磁20.4电动机(学生版)_02中考总复习(2026版更新中)_04-物理-中考总复习_2024年中考复习资料_专项复习资料_完三年(2021—2023)中考真题分项精编(全国通用)
专题20电与磁20.4电动机(学生版)_02中考总复习(2026版更新中)_04-物理-中考总复习_2024年中考复习资料_专项复习资料_完三年(2021—2023)中考真题分项精编(全国通用)
专题20电与磁20.4电动机(学生版)_02中考总复习(2026版更新中)_04-物理-中考总复习_2024年中考复习资料_专项复习资料_完三年(2021—2023)中考真题分项精编(全国通用)

文档信息

文档格式
docx
文档大小
0.658 MB
文档页数
5 页
上传时间
2026-03-08 08:43:48

文档内容

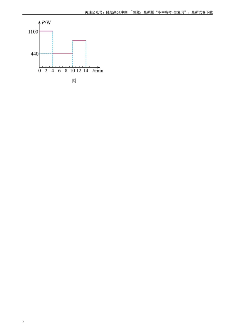
关注公众号:陆陆高分冲刺 ~领取:最新版“小中高考-总复习”、最新试卷下载 专题二十 电与磁 20.4 电动机——三年(2021—2023)中考真题分项精编 一、单选题 1.(2023·江苏宿迁·统考中考真题)图中是小明制作的简单电动机模型,其线圈由漆包线绕成,将线圈 一端的漆全部刮掉,另一端只刮掉半周,在线圈的下面放置了一块磁体。将其接入电路中,闭合开关后, 线圈转动起来了。关于此电动机模型下列说法正确的是( ) A.利用电磁感应原理工作 B.线圈在转动时,始终受到磁场作用力 C.将电能转化为机械能 D.增大线圈中的电流可改变转动方向 2.(2023·湖南株洲·统考中考真题)某电动车电机工作的效率为95%,下列说法正确的是( ) A.机械能转化为电能的比例为95% B.电能转化为机械能的比例为95% C.内能转化为电能的比例为95% D.电能转化为内能的比例为95% 3.(2022·四川巴中·中考真题)中国“探月工程”总设计师巴中籍院士吴伟仁是我们学习的榜样。如果 请你协助吴院士设计一辆在月球上使用的月球车,但月球上没有大气,你准备用以下哪个作动力装置( ) A.柴油机 B.汽油机 C.空气喷气发动机 D.电动机 4.(2022·江苏常州·统考中考真题)小明把安装完成的直流电动机模型接入如图所示的电路中,闭合开 关并调节滑动变阻器,电动机正常转动,若要改变电动机转动方向,下列做法中无效的是( ) A.只对调电源的正、负极 B.只对调磁体的N、S极 C.同时对调电源的正、负极和磁体的N、S极 D.导线①改接G、F点,导线②改接C、E点 5.(2021·内蒙古·统考中考真题)如图所示,将矩形铜线框ACDF上的B、E两点接入电路并放入磁场中, 1关注公众号:陆陆高分冲刺 ~领取:最新版“小中高考-总复习”、最新试卷下载 AB、BC、ED和FE段都受到磁场的作用力,下列哪两段线框在磁场中受力的方向相同( ) A.AB段与BC段 B.AB段与ED段 C.BC段与ED段 D.ED段与FE段 二、多选题 6.(2023·安徽·统考中考真题)图示为某电动机的原理图,EF、PQ为螺线管,abcd为电动机的线圈, 为转轴。闭合开关,从O点沿转轴观察,线圈顺时针转动,则( ) A.螺线管F端为N极,P端为N极 B.螺线管F端为S极、P端为S极 C.若将电源的正负极对调,从O点沿转轴观察、线圈仍顺时针转动 D.若将电源的正负极对调,从O点沿转轴观察,线圈将逆时针转动 三、填空题 7.(2023·湖南长沙·统考中考真题)下图为玩具小汽车内直流电动机的结构简图,该电动机工作时将电 能转化为 能和内能。如果想改变该直流电动机的转动方向,你可以采取的方法是 (写一条合理方法即可)。 8.(2023·广东广州·统考中考真题)用电动机竖直提升重物。 2关注公众号:陆陆高分冲刺 ~领取:最新版“小中高考-总复习”、最新试卷下载 (1)图1中重物上升过程经过M、N、O、P点,其速度在MN段不断增大,在NO段不变,在OP段不 断减小,忽略空气阻力,则重物在( ) A.MN段动能不变 B.MN段机械能不变 C.NO段机械能增大 D.OP段重力势能减小 (2)图1中ab边所受磁场的作用力为F。把电源的正负极对调再接入电路,闭合开关,线圈abcd转至 图2所示位置,则( ) A.图1中流过ab边的电流方向是从b到a B.图1中cd边受到磁场作用力的方向与F的相同 C.图2中ab边受到磁场作用力的方向与F的相反 D.图2中cd边受到磁场作用力的方向与F的相反 9.(2023·重庆·统考中考真题)扬声器(喇叭)是可以扩大声音的设备,它的工作原理是通电导体在磁 场中受到 的作用而运动,“扩大”是指将声音的 增大。 10.(2022·贵州铜仁·统考中考真题)夏天,教室里的电风扇工作时,主要将电能转化为 能,电风 扇的核心部件是电动机,电动机的工作原理是 。 11.(2022·山东威海·统考中考真题)太阳风是太阳发出的高速带电粒子流,部分带电粒子通过地球附近 磁场时,其运动轨迹如图所示,此过程中地球磁场对太阳风的力改变了带电粒子的 ;同时地 球的磁场也被压缩了,说明太阳风和地球磁场之间力的作用是 。 3关注公众号:陆陆高分冲刺 ~领取:最新版“小中高考-总复习”、最新试卷下载 12.(2022·广西贵港·统考中考真题)目前,贵港市正在打造“中国—东盟新能源电动车”生产基地,主 动融入“一带一路”建设,取得了较好成效。电动车主要部件之一是电动机,其工作原理是通电导体在 磁场中受 的作用;在给电动车充电过程中,是将 能转化为化学能。 四、综合题 13.(2023·湖南湘潭·统考中考真题)变频空调的变频压缩机可以根据环境温度自动调整工作时间和功率。 某变频空调电路原理示意图如图甲所示,其中控制电路的电源电压U=12V,R 为调控电阻,可通过遥控 1 s 调节其阻值大小,R为热敏电阻,其阻值随温度变化的图像如图乙所示,L为磁控开关,当热敏电阻R的 t t 阻值发生变化时,磁控开关线圈的电流随之发生变化,当电流大于或等于0.02A时,L的两个磁性弹片相 互吸合,工作电路的变频压缩机开始工作。电压U=220V,R 为保护电阻,磁控开关L的线圈电阻不计。 2 0 问: (1)压缩机工作过程中内部的电动机主要把电能转化成 能;当S接通,电流大于或等于0.02A 时,L的两个磁性弹片的前端为 名磁极; (2)由图可知,热敏电阻R的阻值随着温度t的升高而 ;若房间内部的温度为22.5℃,此时热 t 敏电阻R的阻值为 Ω; t (3)用遥控将R 的阻值调小时,设定温度变 ;家用空调最高设定温度通常为 30℃,则调控电 s 阻R 的阻值不能超过 Ω; s (4)由于变频作用,某段时间内工作电路的总功率变化如图丙所示,已知保护电阻R=2Ω,则10min内 0 R 消耗的电能是多少?( ) 0 4关注公众号:陆陆高分冲刺 ~领取:最新版“小中高考-总复习”、最新试卷下载 5