当前位置:首页>文档>精品解析:北京市人大附中2022-2023学年九年级下学期3月月考物理试题(原卷版)(1)_北京初中期末题_C605-京七八九_B京物理八九_物理_北京九下物理

精品解析:北京市人大附中2022-2023学年九年级下学期3月月考物理试题(原卷版)(1)_北京初中期末题_C605-京七八九_B京物理八九_物理_北京九下物理

  • 2026-03-22 17:43:26 2026-03-08 12:02:28

文档预览

精品解析:北京市人大附中2022-2023学年九年级下学期3月月考物理试题(原卷版)(1)_北京初中期末题_C605-京七八九_B京物理八九_物理_北京九下物理
精品解析:北京市人大附中2022-2023学年九年级下学期3月月考物理试题(原卷版)(1)_北京初中期末题_C605-京七八九_B京物理八九_物理_北京九下物理
精品解析:北京市人大附中2022-2023学年九年级下学期3月月考物理试题(原卷版)(1)_北京初中期末题_C605-京七八九_B京物理八九_物理_北京九下物理
精品解析:北京市人大附中2022-2023学年九年级下学期3月月考物理试题(原卷版)(1)_北京初中期末题_C605-京七八九_B京物理八九_物理_北京九下物理
精品解析:北京市人大附中2022-2023学年九年级下学期3月月考物理试题(原卷版)(1)_北京初中期末题_C605-京七八九_B京物理八九_物理_北京九下物理
精品解析:北京市人大附中2022-2023学年九年级下学期3月月考物理试题(原卷版)(1)_北京初中期末题_C605-京七八九_B京物理八九_物理_北京九下物理
精品解析:北京市人大附中2022-2023学年九年级下学期3月月考物理试题(原卷版)(1)_北京初中期末题_C605-京七八九_B京物理八九_物理_北京九下物理
精品解析:北京市人大附中2022-2023学年九年级下学期3月月考物理试题(原卷版)(1)_北京初中期末题_C605-京七八九_B京物理八九_物理_北京九下物理
精品解析:北京市人大附中2022-2023学年九年级下学期3月月考物理试题(原卷版)(1)_北京初中期末题_C605-京七八九_B京物理八九_物理_北京九下物理
精品解析:北京市人大附中2022-2023学年九年级下学期3月月考物理试题(原卷版)(1)_北京初中期末题_C605-京七八九_B京物理八九_物理_北京九下物理
精品解析:北京市人大附中2022-2023学年九年级下学期3月月考物理试题(原卷版)(1)_北京初中期末题_C605-京七八九_B京物理八九_物理_北京九下物理
精品解析:北京市人大附中2022-2023学年九年级下学期3月月考物理试题(原卷版)(1)_北京初中期末题_C605-京七八九_B京物理八九_物理_北京九下物理
精品解析:北京市人大附中2022-2023学年九年级下学期3月月考物理试题(原卷版)(1)_北京初中期末题_C605-京七八九_B京物理八九_物理_北京九下物理
精品解析:北京市人大附中2022-2023学年九年级下学期3月月考物理试题(原卷版)(1)_北京初中期末题_C605-京七八九_B京物理八九_物理_北京九下物理
精品解析:北京市人大附中2022-2023学年九年级下学期3月月考物理试题(原卷版)(1)_北京初中期末题_C605-京七八九_B京物理八九_物理_北京九下物理

文档信息

文档格式
docx
文档大小
12.122 MB
文档页数
15 页
上传时间
2026-03-08 12:02:28

文档内容

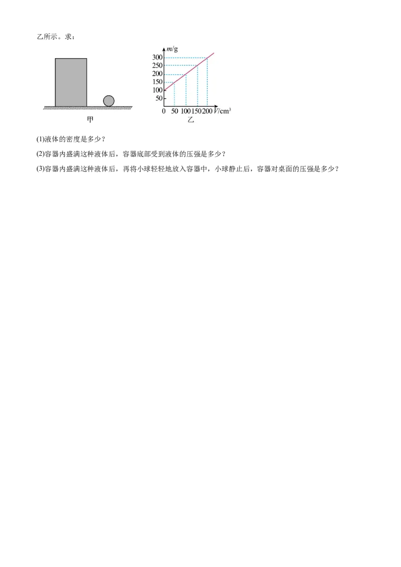
2022-2023 学年度第二学期初三年级月考物理练习 一、单项选择题(下列各小题均有四个选项,其中只有一个选项符合题意。共30分,每小题 2分) 1. 质量是4.5×107mg的物体可能是( ) A. 一瓶罐头 B. 一名中学生 C. 一头牛 D. 一只鸡蛋 2. 甲、乙、丙三位同学用同一个拉力器比试臂力,结果每个人都能把手臂撑直,则下列说法中正确的是( ) A. 甲的体重大,所用拉力大 B. 乙的手臂粗,所用拉力大 C. 丙的手臂长,所用拉力大 D. 甲乙丙所用拉力一样大 3. 如图所示的四种措施中,为了减小压强的是 A. 滑雪板底板面积较大 B. 安全锤头部做成锥形 C. 压路机的碾子质量很大 D. 刀刃做得很锋利 4. 关于力,下列分析正确的是( ) A. 竖直向上抛出的物体,上升时一定还受到竖直向下的重力 B. 鸡蛋碰石头,鸡蛋碎了,说明石头对鸡蛋的力大于鸡蛋对石头的力 C. 用力压钢尺,钢尺变弯,主要说明了力可以改变物体的运动状态D. 互相不接触的物体,彼此间不可能发生力的相互作用 5. 图所示文具中,通常情况下属于绝缘体的是 A. 橡皮 B. 铅笔芯 C. 铁文具盒 D. 钢尺 6. 如图所示的四种家用电器,利用电流热效应工作的是( ) A. 迷你风扇 B. 笔记本电脑 C. 清洁机器人 D. 电暖气 7. 如图所示,在水平力F的作用下,物体A紧贴在竖直的墙上并处于静止状态。若改变F的大小,则下列 判断有可能正确的是( ) A. 若适当增大F,则物体与墙之间的摩擦力增大 B. 若适当增大F,则物体与墙之间的摩擦力减小 C. 若适当减小F,则物体与墙之间的摩擦力不变 D. 若适当减小F,则物体与墙之间的摩擦力增大 8. 如图所示的四种现象中,由于光的反射形成的是:A. 小孔成像 B. 鸟巢倒影 C. 水面折枝 D. 故宫日晷 9. 如图,矿石的质量已经用天平测出,从图A到图C是测量体积的情景,这样的操作会引起密度的测量 值比真实值( )A. 偏大 B. 偏小 C. 相等 D. 无法确定 10. 小华同学喜爱滑板运动。在他玩滑板的过程中,关于几个力学问题的思考,下列说法中正确的是( ) A. 滑板底部安装轮子是为了减小摩擦力,滑板上表面粗糙是为了增大摩擦力 B. 人对滑板的压力和滑板对人的支持力是一对平衡力 C. 玩滑板时尽量降低重心是为了增加板对地的压力 D. 滑板在地面滑行是因为人和滑板具有惯性,当惯性消失,滑板就停下来 11. 下列关于光学知识的说法中,正确的是 A. 老花镜是利用凹透镜对光的发散作用使物体的像成在视网膜上 B. 近视镜是利用凹透镜对光的发散作用使物体的像成在视网膜上 C. 照相机利用凸透镜成正立、缩小的实像的原理制成的 D. 放大镜利用凸透镜成正立、放大的实像的原理制成的 12. 如图所示,中国科技馆的“探索与发现A厅”中有一个“电磁感应摆”,甲、乙两线圈分别被悬挂在 两个蹄形磁体的磁场中,两线圈通过导线连接在一起并构成一个闭合的回路,用手使甲线圈在磁场中摆动 时,乙线圈也会随之摆动起来.关于此现象,下列说法正确的是( ) A. 甲线圈摆动的过程中电能转化为机械能 B. 根据乙线圈摆动的原理可以制成发电机 C. 乙线圈能发生摆动是因为通电导体在磁场中受力D. 甲线圈相当于用电器,乙线圈相当于电源 13. 如图所示,A、B两个物体叠放在水平面上,同时有F=2N的两个水平力分别作用于A、B两物体上, 使A、B两个物体处于静止状态,下列分析正确的是( ) A. B受到的摩擦力为2N,方向水平向左 B. A受到的摩擦力为2N,方向水平向左 C. B受到A和地面所施加的摩擦力 D. A不受到摩擦力 14. 磁场的强弱可用磁感应强度(用字母B表示,单位为特斯拉T)表示。小亮设计了如图所示的电路, 电源电压不变,R 为定值电阻,R 为磁敏电阻,该磁敏电阻在常温下的阻值随外加磁场的磁感应强度变化 0 B 的对应关系如下表所示。对于如图所示的电路,当磁敏电阻R 附近的磁场增强时,下列判断正确的是 B ( ) . 0 磁感应强度B/T 0 0.04 0.08 0.12 0.16 20 磁敏电阻的阻值R /Ω 160 180 200 230 260 290 B A. 电流表的示数增大 B. 磁敏电阻R 两端的电压减小 B C. 电路消耗的总功率增大 D. 定值电阻R 两端的电压减小 0 15. 为验证阿基米德原理,小明将电子秤放在水平桌面上并调零,然后将溢水杯放到电子秤上,按实验操 作规范将溢水杯中装满水,再用细线系住铝块并将其缓慢浸入溢水杯 的水中,如图所示,铝块始终不与 溢水杯接触.则下列四个选项中,判断正确的是A. 铝块浸没在水中静止时与铝块未浸入水中时相比,水对溢水杯底的压力变小 B. 铝块浸没在水中静止时与铝块未浸入水中时相比,水对溢 水杯底的压强变大 C. 铝块浸没在水中静止时,绳对铝块的拉力等于铝块排开水的重力 D. 铝块浸没在水中静止时与铝块未浸入水中时相比,若电子秤示数不变,则验证了阿基米德原理 二、多项选择题(下列各小题均有四个选项,其中符合题意的选项均多于一个。共10分,每 小题2分,每小题选项全选对的得2分,选对但不全的得1分,有选错的不得分) 16. 关于分子动理论和内能,下列说法中正确的是() A. 显微镜下,不洁净的水中大量的细菌在活动,说明分子在不停地做无规则的运动 B. 吸盘挂钩能牢牢吸在玻璃上,说明分子间存在引力 C. 一杯热水温度降低时,意味着内部水分子运动的剧烈程度降低了 D. 冰不断熔化过程中,温度不变,内能增加 17. 图为关于电和磁的实验,下列叙述正确的是 A. 图甲实验说明电流周围存在磁场 B. 图乙实验演示的是发电机的工作原理 C. 图丙实验说明磁场对电流有力的作用 D. 图丁实验演示的是同名磁极相互排斥 18. 下列有关光的现象中,正确说法是( ) A. 太阳光通过三棱镜后产生一条彩色的光带,说明白光是由色光组成的 B. 人在照镜子时,总是靠近镜子去看,其原因是靠近时,平面镜所成的像会变大 C. 站在岸边能看到水里的物体,其实都是物体的虚像 D. 在暗室里,为了能从镜子中看清自己的脸部,应把手电筒正对着镜子照射19. 同学们在学习运动和力的关系时,了解到物体运动时所受空气阻力的大小与物体运动快慢有关,物体 运动越快,受到的空气阻力越大。同学们认真观察了竖直向上抛出的篮球的运动情况(如图所示),并讨 论了篮球从抛出到落回地面的过程中的受力情况,下面几种看法中正确的是( ) A. 刚抛出时篮球受到的合力最大 B. 落地前瞬间篮球受到的合力最小 . C 整个运动过程中,篮球所受合力先减小后增大 D. 整个运动过程中,篮球所受合力先增大后减小 20. 如图所示,电源电压为6V保持不变,定值电阻R 标有“10Ω;0.5A”字样;滑动变阻器R 标有 1 2 “20Ω;1A”字样,电流表量程选择“0~0.6A”,电压表量程选择“0~3V”。闭合开关S,在不损坏电 路元件的情况下,下列做法不正确的是( ) A. 电路中电流最大是0.6A B. R 两端电压不能超过3V 1 C. 滑动变阻器连入电路的阻值在10~20Ω范围内变化 D. 电路的总功率在1.8~3W范围内变化 三、实验解答题(共48分,21题1分,22、28、31题每题2分,27、31每题3分,26、 29、30、32题4分,23、24每题7分、25题8分) 21. 如图所示,物体A的长度为 _____cm。 22. 如图所示,小明通过实验探究“通电螺线管的磁场”,已知通电螺线管周围磁感线方向,请在图中标 出电源的正、负极,通电螺线管的N、S极。23. 有一只小灯泡的铭牌上仅能看清“0.5A”的字样,小强为了测量该小灯泡的额定功率,进行了如下图 实验,所用电源为两节新干电池。 (1)请用笔画线补充完整图甲的实物图,要求滑片左移动电压表示数变大。______ (2)闭合开关后,移动滑动变阻器的滑片,发现小灯泡不亮,电流表的示数始终为零,电压表的示数接 近3V保持不变,为了排除故障,接下来的操作合理的是______(选填字母); A.拧紧开关两端的接线柱 B.拧紧小灯泡和它两端的接线柱 (3)排除故障后,正确连接电路。调节滑动变阻器,观察______表示数,直到小灯泡正常发光,此时电 压表示数如图乙所示,则小灯泡的额定功率为______W; (4)如果考虑电表内阻的影响,则测得的额定功率值______真实值(填“大于”、“等于”或“小 于”) (5)小强对实验进行了拓展,利用如图丙所示的电路,测出了另一只已知额定电流为I 的小灯泡的额定 1 功率,请完成实验步骤; ①闭合开关S,开关S 连接b,移动滑动变阻器的滑片,使电流表示数为______; 1 2 ②保持滑动变阻器的滑片位置不变,开关S 连接a,调节电阻箱的阻值,使电流表示数为I 读出电阻箱的 2 1 示数为R; 0 ③则小灯泡的额定功率表达式P =______(用字母表示)。 额 24. 在“探究影响滑动摩擦力大小因素”的实验中,小英做了如图甲所示的三次实验,用到了一个弹簧测 力计、一个木块、一个砝码、两个材料相同但表面粗糙程度不同的长木板,实验中第 1次和第2次用相同 的长木板,第3次用表面更加粗糙的长木板。(1)小芳发现小英在第一次实验中出现图乙的操作,操作中的错误是__________,纠正错误后,应拉动 弹簧测力计使木块做__________; (2)比较第1、2两次实验,可得到的结论是:__________; (3)比较第__________(填实验序号)两次实验,是为了探究滑动摩擦力的大小与接触面粗糙程度的关 系; (4)刚开始小英做第1次实验时控制不好力度,拉力随时间变化的图象如图丙所示,木块的速度随时间 变化的图象如图丁所示,则木块在第7s时的摩擦力为__________N; (5)小芳同学将实验方法进行了改进,实验装置如图戊所示:将弹簧测力计一端固定,另一端钩住木块, 木块下面是一长木板,实验时拉着长木板沿水平地面向右运动,实验中长木板__________(选填“需 要”或“不需要”)做匀速直线运动; (6)小芳在作图戊实验时,拉动木板没有及时停下来,当木块有七分之一滑出木板表面的时候,摩擦 力大小为__________N。 25. 创新实验小组的同学用溢水杯、弹簧测力计、小烧杯、水、物块、铁架台及细线等设计了如图所示的 实验装置“验证阿基米德原理”( )。 (1)如图所示,物块从接触水面到刚好浸没水中的过程中,左边弹簧测力计的示数______,物块受到水 的浮力变大,水对溢水杯底部的压强______;(均选填“变大”、“变小”或“不变”) (2)根据实验中所测的物理量可列等式______(用字母表示),从而验证了阿基米德原理; (3)由实验中的数据可知,物块浸没在水中受到的浮力为______N;(4)同学们用酒精代替水继续实验,发现此时的F 变大,说明浮力的大小与______有关;用酒精继续 3 实验的目的是______(选填“减小误差”或“寻找普遍规律”); (5)以下关于实验过程中的操作,不会影响验证结果的是______。 A.图(甲)中溢杯内未盛满水 B.图(甲)中小桶内有少量水 C.图(乙)中石块未浸没水中 D.前面所述三种情况均影响验证结果 26. 水平实验桌上有如图所示的实验装置,其中垂直于白纸面且用支架固定的透明薄玻璃板作为平面镜, 还提供了A、B、C三只粗细相同的蜡烛,其中A、B长度相同,C较短.小阳想用这些器材探究平面镜所 成像的大小与哪些因素有关. 的 (1)小阳 部分实验步骤如下: ①将蜡烛A放在玻璃板前适当位置; ②将蜡烛______(选填“B”或“C”)置于玻璃板后方,调节它的位置,并在玻璃板前面透过玻璃板从不同 角度观察,使其都能与蜡烛A的像完全重合; ③改变蜡烛A到玻璃板的距离,并调节玻璃板后方蜡烛到适当的位置,发现在玻璃板前面透过玻璃板从不 同角度观察,玻璃板后方的蜡烛仍能与A的像完全重合. (2)在上述实验中,小阳所探究问题的自变量是:_________(选填选项前的字母); A.物体到平面镜的距离 B.物体的高度 C.平面镜的大小 (3)小阳所观察到的实验现象说明,物体到平面镜的距离改变时,其在平面镜中所成像的大小_____(选填 “改变”或“不变”).因此可以得出结论:平面镜所成像的大小与物体到平面镜的距离________(选填“有关”或“无关”). 27. 为了验证通过导体的电流大小跟导体两端的电压大小有关,小陆选用了下列符合实验要求的实验器材: 电源、开关、导线、滑动变阻器、电压表、电流表、定值电阻,并按照要求设计了如图的实验电路图. (1)以下是他的部分实验步骤,请你帮他补充完整: ①将电压表、电流表调零,断开开关S,按电路图连接电路,调节滑动变阻器的滑动头P使其接入电路的 电阻值最大; ②闭合开关S,调节滑动变阻器的滑动头P到适当位置,读出并记录此时定值电阻R两端的电压U 及通过 1 它的电流I,并将数据记录在表格中,断开开关S; 1 ③闭合开关S,______,读出并记录此时定值电阻R两端电压U 及通过它的电流I,并将数据记录在表格 2 2 中,断开开关S. (2)请根据小陆的实验步骤画出实验数据记录表格. ( ) (3)分析实验数据,在U≠U 的条件下,若I______I(选填“=”或“≠”),可以验证“通过导体的电 2 1 2 1 流大小跟导体两端的电压大小有关”. 28. 同学探究酒精的质量和体积的关系,酒精的质量用m表示,体积用V表示,她测量了多组酒精的质 量和体积,如表所示,分析表中的数据,可以得到的结论是:酒精的质量m和体积V的函数关系为: m=__________ V/cm3 10 20 30 40 50 60 m/g 8 16 24 32 40 48 29. 在探究凸透镜成像规律的实验中。学生在老师的要求下全班分成7个小组。使用焦距都是10cm的凸透 镜和同样的物体做实验。最后,老师将各组实验的结果画在了同一图中。下图中1和1′、2和2′……7和7′ 分别表示实验时各组的物和对应像的位置。请你根据实验的要求和图中的信息。回答下列问题:(1)实验时,光具座水平放置。位于光具座上的烛焰的中心、凸透镜的中心和光屏的中心应该处于 __________________ ; (2)由图可知成实像时,当物体远离凸透镜,则像 _________ (填“远离”或“靠近”)凸透镜,且像的 大小变 ________ (填“大”或“小”); (3)你根据图中的信息,提出一个可探究的科学问题: _____________ 。 30. 为研究橡皮筋是否也与弹簧有类似的性质,某实验小组的同学对 A、B 两根长度相同粗细不同的橡皮 筋进行研究,并做成橡皮筋测力计.将橡皮筋的一端固定,另一端悬挂钩码(图甲所示),记录橡皮筋受 到的拉力大小F 和橡皮筋的伸长量△x,根据多组测量数据画出的图线如图乙所示. (1)当在两根橡皮筋上都悬挂重为6N 的钩码时,橡皮筋 A 的伸长量为_____cm,橡皮筋 B 的伸长量 为_____cm. (2)分别用这两根橡皮筋制成测力计,则用橡皮筋_____制成的测力计量程大(均选填“A”或“B”). (3)将本实验中相同的两根橡皮筋A并联起来可以制成量程更大的弹簧测力计,能够测量力的最大值为 _____N. 31. 为了“探究凸透镜成实像的规律”,某小组同学利用焦距 f为10cm的凸透镜、同一发光体(高为 3cm)、光屏和光具座等进行实验。研究中,他们正确操作,按表格中的物距依次进行实验,并将相应的 像距、成像的像高记录在表格中。在分析比较表中的物距、像距与焦距、2倍焦距之间的关系、成像情况 以及相关条件后,该小组同学提出一个猜想:“可能存在这样的情况:”即当物体处于凸透镜的某一特定 位置时,会成等大的实像”。为了验证该猜想,继续实验,首先应该在该表格的基础上,再做物距为多少 cm时成像情况。结合表格中的数据,分析你的理由。实验序号 物距u/cm 像距v/cm 像高/cm 1 30.3 15.0 1.5 2 26.0 16.3 1.9 3 22.5 18.3 2.5 4 18.0 22.5 3.8 5 16.0 26.7 5.0 . 6 14 0 35.0 7.5 32. 如图所示,实验桌上有两个完全相同的烧瓶,烧瓶内装有质量相等、初温相同的煤油、完全相同的温 度计,烧瓶内还分别装有阻值为10Ω的电阻丝R 和阻值为5Ω的电阻丝R,实验桌上还有满足实验要求的 1 2 电源、滑动变阻器和开关各一个,电流表和停表各一块,导线若干。请你利用上述实验器材证明“电流通 过电阻产生的热量跟电阻阻值大小有关”,并写出主要实验步骤,画出实验数据记录表。 四、科普阅读(共4分) 33. 请阅读《研究物理问题常用的方法》并回答问题. 研究物理问题常用 的方法在学习物理过程中,我们不仅学习到了具体的物理知识,还接触到了许多物 理研究方法,其中控制变量法、模型法、类比法、等效替代法和转换法等是研究物理问题时常见的方法. 比如在研究电流与电压的关系时,需要控制电阻不变,这是用了控制变量法;在研究杠杆的平衡条件时, 需要将实际的硬棒抽象为没有质量的杠杆模型,这是用了模型法;学习电流的概念时将电流与水流类比, 这是用了类比法;耳熟能详的“曹冲称象”,使大量石块对船的作用效果与大象对船的作用效果相同,从 而通过称量石块的质量得出了大象的质量,这是用了等效替代法. 转换法在很多地方也有运用.将不可见、不易见的现象转换成可见、易见的现象,或者将难以测量或测准 的物理量转换为能够测量或测准的物理量,都是用了转换法.比如通过微小压强计U形管两侧液面的高度 差反映液体内部的压强的大小;通过电流的热效应和磁效应判断电流的存在;根据磁体吸引大头针数量的 多少判断磁体磁性的强弱;在电热丝加热煤油的实验中用煤油温度的变化反映电流通过电热丝产生热量的 多少等等,都用到了转换法. 此外,很多测量仪器也利用了转换法.比如用实验室常见的液体温度计测温度时,我们是根据温度计中液柱的长短来识别温度高低的,这就是将温度的测量转化为长度的测量.同理,利用电流表测电流时,我们 是在量程确定的情况下根据电流表指针偏转的角度来识别电流大小的,这就是将电流的测量转化为角度的 测量. 请根据上述材料,回答下列问题: (1)根据电路中的小灯泡正在发光,可判断出此时电路中有电流,这一判断采用的研究方法是______; 在研究液体内部压强大小与深度的关系时,需要在同一种液体中改变微小压强计探头的深度,保证这样的 实验条件采用的研究方法是______.(选填选项前的字母,每空只有一个选项正确) A.控制变量法 B.等效替代法 C.转换法 D.模型法 (2)如图的测量仪器中,将所测量的物理量转化为长度测量的是______.(选填选项前的字母,正确选 项多于一个) A B C D E 五、计算题(共8分) 34. 如图所示,电源两端电压U为6V并保持不变,电阻R 阻值为10Ω.闭合开关S后,电流表A的示数I 1 为0.9A. 求:(1)电流表A 的示数I; 1 1 (2)电阻R 的阻值; 2 (3)电路消耗的电功率P. 35. 如图甲所示,底面积为 ,高为10cm的平底圆柱形容器和一个质量为20g、体积为 的小 球置于水平桌面上(容器厚度不计)。容器内盛某种液体时,容器和液体的总质量与液体的体积关系如图乙所示。求: (1)液体的密度是多少? (2)容器内盛满这种液体后,容器底部受到液体的压强是多少? (3)容器内盛满这种液体后,再将小球轻轻地放入容器中,小球静止后,容器对桌面的压强是多少?