当前位置:首页>文档>黄金卷02-赢在高考·黄金8卷备战2024年高考物理模拟卷(福建卷专用)(考试版)_4.2025物理总复习_2024年新高考资料_4.2024高考模拟预测试卷

黄金卷02-赢在高考·黄金8卷备战2024年高考物理模拟卷(福建卷专用)(考试版)_4.2025物理总复习_2024年新高考资料_4.2024高考模拟预测试卷

  • 2026-04-08 04:22:46 2026-03-11 03:43:33

文档预览

黄金卷02-赢在高考·黄金8卷备战2024年高考物理模拟卷(福建卷专用)(考试版)_4.2025物理总复习_2024年新高考资料_4.2024高考模拟预测试卷
黄金卷02-赢在高考·黄金8卷备战2024年高考物理模拟卷(福建卷专用)(考试版)_4.2025物理总复习_2024年新高考资料_4.2024高考模拟预测试卷
黄金卷02-赢在高考·黄金8卷备战2024年高考物理模拟卷(福建卷专用)(考试版)_4.2025物理总复习_2024年新高考资料_4.2024高考模拟预测试卷
黄金卷02-赢在高考·黄金8卷备战2024年高考物理模拟卷(福建卷专用)(考试版)_4.2025物理总复习_2024年新高考资料_4.2024高考模拟预测试卷
黄金卷02-赢在高考·黄金8卷备战2024年高考物理模拟卷(福建卷专用)(考试版)_4.2025物理总复习_2024年新高考资料_4.2024高考模拟预测试卷
黄金卷02-赢在高考·黄金8卷备战2024年高考物理模拟卷(福建卷专用)(考试版)_4.2025物理总复习_2024年新高考资料_4.2024高考模拟预测试卷
黄金卷02-赢在高考·黄金8卷备战2024年高考物理模拟卷(福建卷专用)(考试版)_4.2025物理总复习_2024年新高考资料_4.2024高考模拟预测试卷
黄金卷02-赢在高考·黄金8卷备战2024年高考物理模拟卷(福建卷专用)(考试版)_4.2025物理总复习_2024年新高考资料_4.2024高考模拟预测试卷
黄金卷02-赢在高考·黄金8卷备战2024年高考物理模拟卷(福建卷专用)(考试版)_4.2025物理总复习_2024年新高考资料_4.2024高考模拟预测试卷
黄金卷02-赢在高考·黄金8卷备战2024年高考物理模拟卷(福建卷专用)(考试版)_4.2025物理总复习_2024年新高考资料_4.2024高考模拟预测试卷

文档信息

文档格式
docx
文档大小
0.810 MB
文档页数
10 页
上传时间
2026-03-11 03:43:33

文档内容

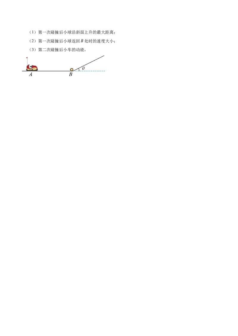
【赢在高考·黄金8卷】备战2024年高考物理模拟卷(福建卷专用) 黄金卷02 (考试时间:75分钟 试卷满分:100分) 一、单项选择题:本题共4小题,每小题4分,共16分。在每小题给出的四个选项中,只有一项是符合题 目要求的。 1.图示为石磨,是鲁班发明的,石磨对五谷低速研磨,低温加工,安全、美观、卫生,是中国传统造物 文化之精髓。木柄 静止时,连接 的轻绳处于绷紧状态。 点是三根轻绳的结点, 、 和 分 别表示三根绳的拉力大小, 且 。下列关系式正确的是( ) A. B. C. D. 2.在匀强磁场中放置一个金属圆环,磁场方向与圆环平面垂直。规定图1所示磁场方向为正。当磁感应强 度B随时间t按图2所示的正弦规律变化时,下列说法正确的是( )A. 时刻,圆环中无感应电流 B. 时刻,圆环上各点受到的安培力最大 C. 时间内,圆环中感应电流方向始终沿顺时针方向 D. 时间内,圆环先出现扩张趋势,后出现收缩趋势 3.2023年5月30日,神舟十六号载人飞船与空间站组合体成功完成“T”字型径向交会对接。径向交会对 接指飞船沿垂直空间站运动方向与其对接,载人飞船多次变轨和姿态调整来到距离空间站约2公里的中 途瞄准点,最后在空间站正下方200米处启动动力设备始终沿径向靠近空间站完成对接,则此过程中( ) A.飞船到达中途瞄准点前的环绕周期大于空间站的环绕周期 B.飞船到达中途瞄准点后具有的动能大于空间站的动能 C.飞船处于空间站正下方 处时绕地球运行的线速度略小于空间站的线速度 D.空间站与飞船对接后轨道高度会略微降低 4.如图所示,两条不可伸长轻绳分别连接质量相同的两个可视为质点的小球,悬挂在天花板上。若两个 小球能以相同的角速度在水平面内做匀速圆周运动,则关于两小球的位置关系,可能是下列图中的( ) A. B. C. D.二、双项选择题:本题共4小题,每小题6分,共24分。每小题有两项符合题目要求,全部选对的得6分, 选对但不全的得3分,有选错的得0分。 5.“笛音雷”是春节期间常放的一种烟花,其着火后一段时间内的速度—时间图像如图所示(取竖直向 上为正方向),其中 时刻为“笛音雷”起飞时刻、DE段是斜率大小为重力加速度g的直线。不计空 气阻力,则关于“笛音雷”的运动,下列说法正确的是( ) A. 时间内“笛音雷”的平均速度为 B.“笛音雷”在 时刻上升至最高点 C. 时间内“笛音雷”的加速度向下 D. 时间内“笛音雷”做加速度减小的加速运动 6.1909年,美国物理学家密立根用如图所示的实验装置,通过研究平行金属板M、N间悬浮不动的带电油 滴,比较准确地测定了电子的电荷量,因此获得1923年诺贝尔物理学奖.图中平行金属板M、N与输 出电压恒为U的电源两极相连,两金属板间的距离为d,正对面积为S现由显微镜观察发现,恰好有一质 . 量为m的带电油滴在两金属板中央悬浮不动,已知静电力常量为k,真空的介电常数ε=1,重力加速度为 g,则 A.带电油滴的电荷量 B.金属板M所带电量C.将金属板N突然下移△d,带电油滴获得向上的加速度 D.将金属板N突然下移△d,带电油滴的电势能立即减小为原来的 倍 7.真空中的某装置如图所示,竖直放置平行金属板A、B和水平放置的平行金属板C、D上均加有电压, M为荧光屏。现有质子( )、氘核( )和 粒子( )均从A板上的O点由静止开始被加速, 经过一段时间后,均打在荧光屏上。中子从O点水平射出,将打在荧光屏上的 点,不计粒子所受重 力,不考虑平行金属板外的电场,下列说法正确的是( ) A.质子、氘核和 粒子均打在荧光屏上的同一位置 B.质子、氘核和 粒子从B板运动到荧光屏经历的时间相同 C.质子、氘核和 粒子打在荧光屏上时的速度方向相同 D.平行金属板C、D间的电场力对质子、氘核和 粒子做的功之比为2∶2∶1 8.如图,水平传送带一直以速度 向右匀速运动,小物体P、Q质量均为1kg,由通过定滑轮且不 可伸长的轻绳相连, 时刻P在传送带左端具有向右的速度 ,P与定滑轮间的绳水平,不 计定滑轮质量和摩擦。小物体P与传送带之间动摩擦因数 ,传送带长度 ,绳足够长, 。关于小物体P的描述正确的是( ) A.小物体P从传送带左端离开传送带 B.小物体P在传送带上运动的全过程中,加速度一直不变C.小物体P向右运动的过程中在传送带上留下的划痕长度为9m D.小物体P向右运动的过程中和传送带之间摩擦产生的热量是60J 第II卷(非选择题) 非选择题:共60分。考生根据要求作答。 三、填空题 9.(3分)氢原子能级的结构示意图如图所示,一群处于 能级的氢原子向低能级跃迁时,能 (填“吸收”或“放出”) 种不同频率的光子,这些光子中最大的能量为 。 10.(3分)劈尖干涉是一种薄膜干涉,其装置如图1所示,将一块平板玻璃放置在另一平板玻璃之上, 在一端夹入两张纸片,从而在两片玻璃表面之间形成一个劈形空气薄膜,当光垂直入射后,从上往下看 到的干涉条纹如图2所示,干涉条纹有如下特点: 任意一条明条纹或暗条纹所在位置下面的薄膜厚度 (选填“相等”或“不相等”),任意相邻 明条纹或暗条纹所对应的薄膜厚度差 (选填“不恒定”或“恒定”)。现若将图甲装置中抽去 一张纸片,则当光垂直入射到新的劈形空气膜后,从上往下观察到的干涉条纹 (选填“变疏” “变密”或“消失”) 11.(3分)一列沿x轴传播的简谐横波在t=0时刻的完整波形图如图甲所示,P、Q、M为介质中三个质 点(M点未标出),图乙是质点P的振动图像。t=2s时,质点Q的振动方向为 (填“沿y轴 正方向”或“沿y轴负方向”);若此波遇到另一列简谐横波并发生稳定的干涉现象,则所遇到的波的 频率为 Hz;从t=0时刻开始经过 s,平衡位置在x=﹣9.5m的质点M第一次到达波 峰。四、实验题 12.(6分)某同学为了测量小物块与木板间的动摩擦因数,就地取材设计了如下实验。 实验步骤: (1)如图甲所示,选择合适高度的垫块,使木板的倾角为37°,在其上表面固定一把与小物块下滑路 径平行的刻度尺(图中未画出)。 (2)调整手机使其摄像头正对木板表面,开启视频录像功能。将小物块从木板顶端释放,用手机记录 下小物块沿木板向下做加速直线运动的情况。然后通过录像的回放,选择小物块运动路径上合适的一点 作为测量参考点,得到小物块相对于该点的运动距离L与运动时间t的数据。 (3)该同学选取部分实验数据,画出了 图像,如图乙所示。由图像可得,物块过测量参考点时 的速度大小为 m/s,小物块下滑的加速度大小为 m/s2。(结果均保留两位有效数 字) (4)根据上述数据,可得小物块与木板间的动摩擦因数为 。(结果保留两位有效数字,当 地的重力加速度大小为9.8m/s2,sin37°=0.60,cos37°=0.80) 13.(7分)某学习小组测定某电池的电动势与内阻,已知其电动势 约为十几伏,内阻 约为几欧姆,实验室中提供以下器材: A.量程为 、内阻未知的电流表 ; B.电阻箱 ; C.定值电阻 ; D.滑动变阻器 ; E.滑动变阻器 ; F.开关2只,导线若干。 先用如图所示甲的电路来测定电流表G内阻。实验步骤与如下: ①按图甲连接好电路,断开 ,将滑动变阻器 的滑片调至图中 端所对应的位置; ②闭合 ,调节 ,使电流表 满偏; ③保持 不变,再闭合 ,调节电阻箱电阻 ,使电流表 的读数为 ; ④调节电阻箱时,干路上电流可视为几乎不变,即可测定的电流表 内阻 的大小。 (1)为确保实验仪器安全,滑动变阻器应该选取 (选填“ ”或“ ”);而实际干路上电 流会发生变化,故测得的电流表内阻比真实值 (选填“偏大”、“偏小”或“不变”) (2)按图乙连接电路,闭合开关,多次调节电阻箱 的阻值,记录每次电阻箱的阻值 及对应的电流 表的示数 。作出 图像如图丙所示,处理数据得到斜率 大小为0.2,纵轴截距 为8,则求得电 池的电动势为 V,内阻为 (结果均保留两位有效数字)。五、解答题 14.(10分)气体弹簧是车辆上常用的一种减震装置,其简化结构如图所示。导热良好的直立圆筒形汽缸 内用横截面积 的活塞封闭一定质量的理想气体,活塞能无摩擦滑动,并通过连杆与车轮轴连 接。封闭气体初始温度 ,长度 、压强 当车辆载重时,相当于在汽 缸顶部加一物体A,汽缸下降,稳定后封闭气体长度 ,此过程中气体温度保持不变。 (1)求稳定后封闭气体的压强 ; (2)求物体A的质量m。 15.(12分)“碰碰车弹球”游戏可简化成下图所示,轨道由平滑相连的水平面和斜面组成,斜面倾角为 θ。质量为m的玩具碰碰车置于水平轨道上的A点,质量为3m的小球置于水平轨道上非常靠近连接处 的B点。遥控小车启动,小车在牵引力作用下沿轨道向右运动,到达B点时与小球发生正碰。碰后小球 的速度大小为v,小球与斜面的动摩擦因数 。之后小车和小球第二次碰撞也在B点,碰后小球的 速度变为0。已知 ,重力加速度大小为g,所有碰撞均为弹性正碰,碰撞时间极短。求:(1)第一次碰撞后小球沿斜面上升的最大距离; (2)第一次碰撞后小球返回B处时的速度大小; (3)第二次碰撞后小车的动能。16.(16分)如图所示,水平地面上有一辆小车,上方固定有竖直光滑绝缘细管,管的长度 ,有 一质量 、电荷量 的绝缘小球A放置在管的底部,小球的直径略小于细管。在管口所在水平面MN 的下方存在着垂直纸面向里的匀强磁场。现让小车始终保持速度的 向右匀速运动,以带电小球刚经过 磁场的竖直边界为计时起点,并以此时刻管口处为坐标原点 建立 坐标系, 轴与磁场边界重合, 小球刚离开管口时竖直向上的分速度 ,求: (1)匀强磁场的磁感应强度大小和绝缘管对小球做的总功; (2)小球经过 轴时的坐标; (3)若第一象限存在和第四象限大小和方向都相同的的匀强磁场,同时绝缘管内均匀紧密排满了大量 相对绝缘管静止,与小球 完全相同的绝缘小球。不考虑小球之间的相互静电力,求能到达纵坐标 的小球个数与总小球个数的比值。