当前位置:首页>文档>2025届高中地理一轮复习讲义:第一部分自然地理第四单元地球上的大气第14课时 热力环流(教师版)_9.2025地理总复习_2025年新高考资料_一轮复习

2025届高中地理一轮复习讲义:第一部分自然地理第四单元地球上的大气第14课时 热力环流(教师版)_9.2025地理总复习_2025年新高考资料_一轮复习

  • 2026-04-06 11:36:40 2026-03-12 01:32:48

文档预览

2025届高中地理一轮复习讲义:第一部分自然地理第四单元地球上的大气第14课时 热力环流(教师版)_9.2025地理总复习_2025年新高考资料_一轮复习
2025届高中地理一轮复习讲义:第一部分自然地理第四单元地球上的大气第14课时 热力环流(教师版)_9.2025地理总复习_2025年新高考资料_一轮复习
2025届高中地理一轮复习讲义:第一部分自然地理第四单元地球上的大气第14课时 热力环流(教师版)_9.2025地理总复习_2025年新高考资料_一轮复习
2025届高中地理一轮复习讲义:第一部分自然地理第四单元地球上的大气第14课时 热力环流(教师版)_9.2025地理总复习_2025年新高考资料_一轮复习
2025届高中地理一轮复习讲义:第一部分自然地理第四单元地球上的大气第14课时 热力环流(教师版)_9.2025地理总复习_2025年新高考资料_一轮复习
2025届高中地理一轮复习讲义:第一部分自然地理第四单元地球上的大气第14课时 热力环流(教师版)_9.2025地理总复习_2025年新高考资料_一轮复习
2025届高中地理一轮复习讲义:第一部分自然地理第四单元地球上的大气第14课时 热力环流(教师版)_9.2025地理总复习_2025年新高考资料_一轮复习
2025届高中地理一轮复习讲义:第一部分自然地理第四单元地球上的大气第14课时 热力环流(教师版)_9.2025地理总复习_2025年新高考资料_一轮复习
2025届高中地理一轮复习讲义:第一部分自然地理第四单元地球上的大气第14课时 热力环流(教师版)_9.2025地理总复习_2025年新高考资料_一轮复习
2025届高中地理一轮复习讲义:第一部分自然地理第四单元地球上的大气第14课时 热力环流(教师版)_9.2025地理总复习_2025年新高考资料_一轮复习
2025届高中地理一轮复习讲义:第一部分自然地理第四单元地球上的大气第14课时 热力环流(教师版)_9.2025地理总复习_2025年新高考资料_一轮复习
2025届高中地理一轮复习讲义:第一部分自然地理第四单元地球上的大气第14课时 热力环流(教师版)_9.2025地理总复习_2025年新高考资料_一轮复习
2025届高中地理一轮复习讲义:第一部分自然地理第四单元地球上的大气第14课时 热力环流(教师版)_9.2025地理总复习_2025年新高考资料_一轮复习
2025届高中地理一轮复习讲义:第一部分自然地理第四单元地球上的大气第14课时 热力环流(教师版)_9.2025地理总复习_2025年新高考资料_一轮复习
2025届高中地理一轮复习讲义:第一部分自然地理第四单元地球上的大气第14课时 热力环流(教师版)_9.2025地理总复习_2025年新高考资料_一轮复习
2025届高中地理一轮复习讲义:第一部分自然地理第四单元地球上的大气第14课时 热力环流(教师版)_9.2025地理总复习_2025年新高考资料_一轮复习
2025届高中地理一轮复习讲义:第一部分自然地理第四单元地球上的大气第14课时 热力环流(教师版)_9.2025地理总复习_2025年新高考资料_一轮复习

文档信息

文档格式
doc
文档大小
1.481 MB
文档页数
17 页
上传时间
2026-03-12 01:32:48

文档内容

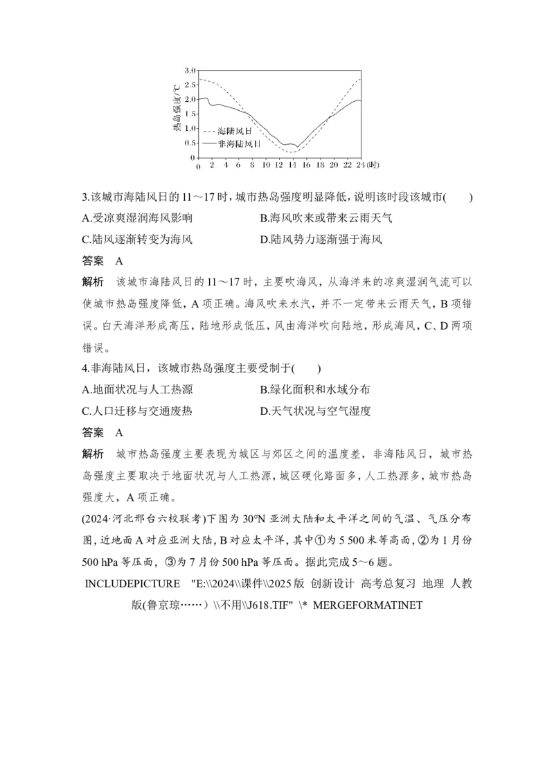
第 14 课时 热力环流 课程标准:运用示意图等,说明热力环流原理,并解释相关现象。 目标导航 知识导图 INCLUDEPICTURE "E:\\2024\\课件\ \2025版 创新设计 高考总复习 地理 1.绘制并运用热力环流示意图,描述大 人教版(鲁京琼……)\\不用\\J600.TIF" 气热力环流的形成过程。 \* MERGEFORMATINET 2.运用热力环流原理解释海陆风、城市 风、山谷风等地理现象。 INCLUDEPICTURE "E:\\2024\\课件\\2025版 创新设计 高考总复习 地理 人教 版(鲁京琼……)\\不用\\图表自主填绘.TIF" \* MERGEFORMATINET 1.概念:由于地面冷热不均而形成的空气环流,它是大气运动的最简单形式。 2.热力环流的形成过程 地面冷热不均→大气垂直运动→水平气压差→大气水平运动。 3.热力环流基本规律 (1)一个过程:用箭头在下图中标出大气运动的方向,并填写形成过程。 INCLUDEPICTURE "E:\\2024\\课件\\2025版 创新设计 高考总复习 地理 人教 版(鲁京琼……)\\不用\\J601.TIF" \* MERGEFORMATINET答案 INCLUDEPICTURE "E:\\2024\\课件\\2025版 创新设计 高考总复习 地理 人教 版(鲁京琼……)\\不用\\J602.TIF" \* MERGEFORMATINET 需要注意: ①水平方向的气压梯度产生于大气在垂直方向的上升及下沉运动,大气在水平方 向的运动(即风)是其结果。 ②受重力作用,垂直方向上,近地面的气压永远高于高空。热力环流中气压的高低, 是同一水平面的比较。同一水平面由气压高低差异所形成的力,即水平气压梯度 力。 (2)两个方向 垂直方向 与冷热差异有关,受热上升,遇冷下沉 水平方向 与气压差异有关,从高压流向低压 (3)三个关系①温差关系:近地面两地有气温差。 ②风压关系:水平方向上,风总是从高压吹向低压。 ③等压面的凹凸关系 气温高的地方 近地面下凹、高空上凸 气温低的地方 近地面上凸、高空下凹 温馨提示 热力环流中的常用规律 (1)近地面的气压高于对应的高空的气压。 (2)近地面:热低压,冷高压。 (3)近地面为低压,则气流上升;近地面为高压,则气流下沉。 (4)同一垂直方向上,近地面与高空气压高低相反,等压面弯曲相反。 (5)等压面上凸的地方为同一水平面的高压;等压面下凹的地方为同一水平面的低 压。 注意 热力环流规律的适用条件 热力环流具有“近地面气温越高,气压越低”和“近地面与高空气压状况相反” 的规律,切记该规律只适用于热力条件下的下垫面,受动力因素影响的大气环流 或者高空不适用于该规律。 方法技巧 近地面天气状况和气温日较差的判断 近地面受热较多的地区(等压面下凹处),盛行上升气流,多阴雨天气,气温日较差 较小;近地面受热较少的地区(等压面上凸处),盛行下沉气流,多晴朗天气,气温日 较差较大。 INCLUDEPICTURE "E:\\2024\\课件\\2025版 创新设计 高考总复习 地理 人教 版(鲁京琼……)\\不用\\重点互动突破.TIF" \* MERGEFORMATINET 重点 常见热力环流形成及影响 INCLUDEPICTURE "E:\\2024\\课件\\2025版 创新设计 高考总复习 地理 人教 版(鲁京琼……)\\不用\\精讲点拨.TIF" \* MERGEFORMATINET 关于热力环流,具有“气温越高,气压越低”的规律,切记该规律只适用于热力条 件下的下垫面,受动力因素影响的大气环流或者是高空都不适用于该规律。1.常见热力环流 (1)海陆风 ①成因分析——海陆热力性质差异是前提和关键。 INCLUDEPICTURE "E:\\2024\\课件\\2025版 创新设计 高考总复习 地理 人教 版(鲁京琼……)\\不用\\J603.TIF" \* MERGEFORMATINET ②影响及应用:使海滨地区气温日较差减小,夏季气温低,空气较湿润,是避暑的 好地方。 (2)山谷风 ①成因分析——山坡的热力变化是关键。 INCLUDEPICTURE "E:\\2024\\课件\\2025版 创新设计 高考总复习 地理 人教 版(鲁京琼……)\\不用\\J604.TIF" \* MERGEFORMATINET ②影响及应用:在山谷和盆地常因夜间的山风吹向谷底和盆地,使谷底和盆地内 形成逆温层,阻碍了空气的垂直运动,易造成大气污染。所以,山谷和盆地地区不宜布局有大气污染的工业。 (3)城市热岛环流 ①成因分析——“城市热岛”的形成是突破口。 INCLUDEPICTURE "E:\\2024\\课件\\2025版 创新设计 高考总复习 地理 人教 版(鲁京琼……)\\不用\\J605.TIF" \* MERGEFORMATINET ②应用:一般将绿化带布局在气流下沉处或下沉距离以内,将卫星城或污染较重 的工业企业布局在气流下沉距离之外。 2.沙漠和森林之间的热力环流 INCLUDEPICTURE "E:\\2024\\课件\\2025版 创新设计 高考总复习 地理 人教 版(鲁京琼……)\\不用\\J606.TIF" \* MERGEFORMATINET (1)白天,沙漠增温快,温度高,近地面形成低气压;森林增温慢,温度低,近地面形 成高气压;白天在近地面大气由森林吹向沙漠。(如图a) (2)夜晚,沙漠降温快,温度低,近地面形成高气压;森林降温慢,温度高,近地面形 成低气压;夜晚在近地面大气由沙漠吹向森林。(如图b) INCLUDEPICTURE "E:\\2024\\课件\\2025版 创新设计 高考总复习 地理 人教 版(鲁京琼……)\\不用\\真题感悟.TIF" \* MERGEFORMATINET[典例] (2022·全国乙卷)我国一海滨城市背靠丘陵,某日海陆风明显。下图示意当日 该市不同高度的风随时间的变化。据此完成(1)~(3)题。 INCLUDEPICTURE "E:\\2024\\课件\\2025版 创新设计 高考总复习 地理 人教 版(鲁京琼……)\\不用\\4.TIF" \* MERGEFORMATINET (1)当日在观测场释放一只氦气球,观测它在1千米高度以下先向北飘,然后逐渐 转向西南。释放气球的时间可能为( ) A.1时 B.7时 C.13时 D.19时 (2)据图推测,陆地大致位于海洋的( ) A.东北方 B.东南方 C.西南方 D.西北方 (3)当日该市所处的气压场的特点是( ) A.北高南低,梯度大 B.北高南低,梯度小 C.南高北低,梯度大 D.南高北低,梯度小 INCLUDEPICTURE "E:\\2024\\课件\\2025版 创新设计 高考总复习 地理 人教 版(鲁京琼……) \\不用\\关键能力提升 .TIF" \* MERGEFORMATINET INCLUDEPICTURE "E:\\2024\\课件\\2025版 创新设计 高考总复习 地理 人教 版(鲁京琼……)\\不用\\CP2A.TIF" \* MERGEFORMATINET第(1)题:信息的获取与解读、逻辑推理。 关键信息 信息解读与逻辑推理 氦气的密度小于空气的密度,故释放气球后,气球 氦气球 在垂直方向上会向上飘,在水平方向上会受大气的 水平运动——风的影响 先向北飘,然后逐渐转向西 近地面吹偏南风,随着海拔的上升,转为吹东北风。 南 由图可知,13时垂直方向上的风向分布符合此情况 第(2)题:信息的获取与解读、逻辑推理。 INCLUDEPICTURE "E:\\2024\\课件\\2025版 创新设计 高考总复习 地理 人教 版(鲁京琼……)\\不用\\CP2.TIF" \* MERGEFORMATINET 第(3)题:信息的获取与解读、逻辑推理。 INCLUDEPICTURE "E:\\2024\\课件\\2025版 创新设计 高考总复习 地理 人教 版(鲁京琼……)\\不用\\CP3.TIF" \* MERGEFORMATINET 答案 (1)C (2)D (3)B INCLUDEPICTURE "E:\\2024\\课件\\2025版 创新设计 高考总复习 地理 人教版(鲁京琼……)\\不用\\变式训练.TIF" \* MERGEFORMATINET (2024·四川成都一诊)我国东部平原区特大城市与周边山地间常形成较为稳定的山 谷风转换,下表为城市边缘某气象监测点测得的秋、冬季山谷风随时间的变化。据 此完成1~3题。 山风 谷风 季节 平均结束 平均开 平均结 主导 平均开始时刻 主导风向 时刻 始时刻 束时刻 风向 秋季 21:00 10:00 正北 11:00 20:00 正南 正 冬季 20:00 12:00 正北、东北 13:00 19:00 南、 西南 1.根据表中信息推测,该山地位于该城市气象监测点的( ) A.偏北方 B.偏西方 C.偏南方 D.偏东方 答案 A 解析 山风由山坡吹向谷地,表中山风为北风,故山地位于偏北方,A正确,B、C、 D错误。 2.秋、冬季节该气象监测点山谷风持续时间长度不同,其主要影响因素是( ) A.冬夏季风 B.植被覆盖 C.昼夜长短 D.山坡坡度 答案 C 解析 结合所学知识可知,山谷风是由热力差异造成的,故应是昼夜长短的不同 造成山地和谷地气温差异不同,C正确。 3.若该城市热岛效应增强,则城区与山地间( ) A.谷风增强,山风减弱 B.谷风减弱,山风减弱 C.谷风减弱,山风增强 D.谷风增强,山风增强 答案 C 解析 结合所学知识可知,城市应分布在谷地,地势平坦,因此随着城市热岛效应 增强,夜晚山坡和谷地温差变大,山风变强;而白天,山坡为热源,因此城市热岛效 应增强会导致山坡和谷地温差变小,谷风变弱,C正确,A、B、D错误。图形专项突破 2 等压面图的判读 INCLUDEPICTURE "E:\\2024\\课件\\2025版 创新设计 高考总复习 地理 人教 版(鲁京琼……)\\不用\\读图流程.TIF" \* MERGEFORMATINET 1.判断气压的高低 (1)气压的垂直递减规律。由于大气密度随高度增加而降低,在垂直方向上随着高 度增加气压降低,如下图,在空气柱L 中,P >P ,P >P ;在L 中,P >P ,P >P 。 1 A′ A D D′ 2 B B′ C′ C INCLUDEPICTURE "E:\\2024\\课件\\2025版 创新设计 高考总复习 地理 人教 版(鲁京琼……)\\不用\\J611.TIF" \* MERGEFORMATINET (2)同一等压面上的各点气压相等。如上图中 P =P 、P =P 。综上分析可知: D′ C′ A′ B′ P >P >P >P 。 B A D C 2.判读等压面的凸凹 INCLUDEPICTURE "E:\\2024\\课件\\2025版 创新设计 高考总复习 地理 人教 版(鲁京琼……)\\不用\\J612.TIF" \* MERGEFORMATINET 等压面凸向高处的为高压,凹向低处的为低压,可形象记忆为“高凸低凹”。另外, 近地面与高空等压面凸起方向相反。3.判断下垫面的性质 (1)判断陆地与海洋(湖泊):夏季,等压面下凹者为陆地、上凸者为海洋(湖泊)。冬季, 等压面下凹者为海洋(湖泊)、上凸者为陆地。 (2)判断裸地与绿地:裸地同陆地,绿地同海洋。 (3)判断城区与郊区:等压面下凹者为城区、上凸者为郊区。 4.判断近地面天气和气温日较差 等压面下凹者,多阴雨天气,日较差较小;等压面上凸者,多晴朗天气,日较差较大 INCLUDEPICTURE "E:\\2024\\课件\\2025版 创新设计 高考总复习 地理 人教 版(鲁京琼……)\\不用\\真题感悟.TIF" \* MERGEFORMATINET [典例] (山东卷)下图为甲地所在区域某时刻高空两个等压面 P 和P 的空间分布示 1 2 意图,图中甲、乙两地经度相同。完成下题。 INCLUDEPICTURE "E:\\2024\\课件\\2025版 创新设计 高考总复习 地理 人教 版(鲁京琼……)\\不用\\J613.TIF" \* MERGEFORMATINET 此时甲地近地面的风向为( ) A.东南风 B.西南风 C.东北风 D.西北风 INCLUDEPICTURE "E:\\2024\\课件\\2025版 创新设计 高考总复习 地理 人教 版(鲁京琼……) \\不用\\关键能力提升 .TIF" \* MERGEFORMATINET INCLUDEPICTURE "E:\\2024\\课件\\2025版 创新设计 高考总复习 地理 人教 版(鲁京琼……)\\不用\\J614.TIF" \* MERGEFORMATINET答案 B INCLUDEPICTURE "E:\\2024\\课件\\2025版 创新设计 高考总复习 地理 人教 版(鲁京琼……)\\不用\\读图应用.TIF" \* MERGEFORMATINET 读“我国东部沿海某地热力因素形成的高空等压面示意图”,完成问题。(7分) INCLUDEPICTURE "E:\\2024\\课件\\2025版 创新设计 高考总复习 地理 人教 版(鲁京琼……)\\不用\\J615.TIF" \* MERGEFORMATINET (1)高空 C 比 D 的气压________(填“高”或“低”)。地面 A 比 B 的气压 ________(填“高”或“低”)。(2分) (2)A比B的温度________(填“高”或“低”)。(1分) (3)A、B、C、D之间的热力环流呈________(填“顺”或“逆”)时针方向流动。(1 分) (4)如果A地是海洋,B地是陆地,则此时应该是________(填“白天”或“夜晚”), 此时A地与B地间吹________风(填“海”或“陆”)。(2分) (5)A与B相比,日温差大小比较为________。(1分) 答案 (1)高 低 (2)高 (3)顺 (4)夜晚 陆 (5)B>A INCLUDEPICTURE "E:\\2024\\课件\\2025版 创新设计 高考总复习 地理 人教 版(鲁京琼……)\\不用\\课堂巩固精练.TIF" \* MERGEFORMATINET (2024·山东济南期中)下面图甲为“某滨海地区陆地和海洋表面气温日变化曲线 图”,图乙为“旗帜主要飘动方向示意图”。据此完成1~2题。 INCLUDEPICTURE "E:\\2024\\课件\\2025版 创新设计 高考总复习 地理 人教版(鲁京琼……)\\不用\\J616.TIF" \* MERGEFORMATINET 1.有关图甲描述正确的是( ) A.曲线①表示的是海洋气温曲线 B.曲线②表示的是海洋气温曲线 C.曲线①所示日温差大的主要原因是昼夜长短所致 D.曲线②所示日温差小的主要原因是纬度所致 答案 B 解析 海洋的比热容大于陆地,海洋吸热慢,放热也慢。故海洋表面气温日较差小 于陆地表面,曲线①表示陆地气温曲线、曲线②表示海洋气温曲线,A错、B对;二 者气温日较差出现差异的原因是下垫面的性质不同,C、D错。 2.由图甲推断,图乙中风出现时间约为( ) A.18时~次日7时 B.8时~16时 C.16时~次日8时 D.6时~18时 答案 A 解析 图乙显示近地面风由陆地吹向海洋,可以判断出近地面陆地为高压、海洋 为低压,陆地表面气温低于海洋表面气温,由图甲可知,大致在18时~次日7时 这段时间内陆地表面气温低于海洋表面气温,故选A。 (2024·河北邯郸开学考试)城市热岛强度为城区平均温度与其周边郊区平均温度的 差值,造成城区气温高于周围郊区气温的现象被称为城市热岛效应。下图为我国 东南沿海的某城市海陆风日与非海陆风日的热岛强度日变化图。据此完成3~4题 INCLUDEPICTURE "E:\\2024\\课件\\2025版 创新设计 高考总复习 地理 人教 版(鲁京琼……)\\不用\\J617.TIF" \* MERGEFORMATINET3.该城市海陆风日的11~17时,城市热岛强度明显降低,说明该时段该城市( ) A.受凉爽湿润海风影响 B.海风吹来或带来云雨天气 C.陆风逐渐转变为海风 D.陆风势力逐渐强于海风 答案 A 解析 该城市海陆风日的11~17时,主要吹海风,从海洋来的凉爽湿润气流可以 使城市热岛强度降低,A项正确。海风吹来水汽,并不一定带来云雨天气,B项错 误。白天海洋形成高压,陆地形成低压,风由海洋吹向陆地,形成海风,C、D两项 错误。 4.非海陆风日,该城市热岛强度主要受制于( ) A.地面状况与人工热源 B.绿化面积和水域分布 C.人口迁移与交通废热 D.天气状况与空气湿度 答案 A 解析 城市热岛强度主要表现为城区与郊区之间的温度差,非海陆风日,城市热 岛强度主要取决于地面状况与人工热源,城区硬化路面多,人工热源多,城市热岛 强度大,A项正确。 (2024·河北邢台六校联考)下图为30°N亚洲大陆和太平洋之间的气温、气压分布 图,近地面A对应亚洲大陆,B对应太平洋,其中①为5 500米等高面,②为1月份 500 hPa等压面,③为7月份500 hPa等压面。据此完成5~6题。 INCLUDEPICTURE "E:\\2024\\课件\\2025版 创新设计 高考总复习 地理 人教 版(鲁京琼……)\\不用\\J618.TIF" \* MERGEFORMATINET5.关于图中A、B气温、气压判断错误的是( ) A.1月份:T <T B.1月份:P >P A B A B C.7月份:P >P D.气温年较差:ΔT >ΔT A B A B 答案 B 解析 由材料“近地面A对应亚洲大陆,B对应太平洋,其中①为5 500米等高面 ②为1月份500 hPa等压面,③为7月份500 hPa等压面”及图示信息可知,1月份 北半球为冬季,陆上气温低于同纬度的海洋,T <T ;同样,冬季陆地近地面气压 A B 高于海洋,高空相反,A、B位于5 500米等高面,属于高空,故P <P ,B错误;7月 A B 份北半球为夏季,陆地近地面气压低于海洋,高空则相反,所以7月P >P ;受海 A B 陆热力差异的影响,气温年较差海上低于陆地,所以气温年较差ΔT >ΔT 。本题 A B 要求选择错误的选项,故选B。 6.1月份AB间的风向为( ) A.东北风 B.西南风 C.正北风 D.正南风 答案 D 解析 1月份北半球为冬季,在近地面水平气压梯度力由陆地指向海洋(指向东), A、B位于高空,所以AB间的水平气压梯度力与近地面相反指向西,高空不考虑 摩擦力,风向可大致右偏90度,与等压线平行,风向最终指向正北,为南风,故选 D。 课时作业 (2024·西安高三期初)城市热岛强度是指城市中心区平均气温与周围郊区(乡村) 平 均气温的差值。 下图是 2018年绵阳市热岛强度变化分布图,据此完成1~3 题。 INCLUDEPICTURE "E:\\2024\\课件\\2025版 创新设计 高考总复习 地理 人教版(鲁京琼……)\\不用\\J619.TIF" \* MERGEFORMATINET 1.该年绵阳市一天之中热岛强度最小变幅是( ) A.0.45 B.0.96 C.1.12 D.1.38 答案 A 解析 通过读图可知,11~12月之间大部分时间,一天中热岛强度最大值介于0.8 ~1.0 之间,最小值介于 0.2~0.4之间,变化幅度为0.4~0.8 之间,故答案选A。 2.绵阳市城市风最弱时出现在( ) A.1月、正午 B.3 月、子夜 C.6 月、中午 D.8 月、子夜 答案 C 解析 依据材料可知,数值越大,城市热岛强度越大,城市风越强,通过读图可知, 6 月份中午绵阳市热岛强度最小,城市风最弱,故答案选 C。 3.与 7 月子夜相比,8 月子夜绵阳市热岛强度大主要是因为( ) A.城市湿地面积广 B.降水异常偏少 C.气温异常偏低 D.大气污染严重 答案 B 解析 8月降水异常偏少,导致云量少(晴天多),日落后郊区辐射降温更明显,市区废热排放多,降温缓慢,夜间热岛强度出现最大值。 下图为我国某节能房屋示意图,该房屋在不同季节的白天与夜晚通过开闭某些隔 断或窗户实现室内外冷暖空气的交换,从而达到节能的目的。读图完成4~5题。 INCLUDEPICTURE "E:\\2024\\课件\\2025版 创新设计 高考总复习 地理 人教 版(鲁京琼……)\\不用\\J620.TIF" \* MERGEFORMATINET 4.图中表示的最可能是( ) A.冬季白天 B.冬季夜晚 C.夏季白天 D.夏季夜晚 答案 A 解析 读图可知,室内温度较低,空气下沉;冷空气进入空气间层后被加热,上升 后进入室内,形成局部热力环流,不断地向室内输入热空气,使得室内增温,故该 图表示的最可能是冬季;结合题意可知,该房屋是节能房屋,故最可能利用太阳能 供暖,该图表示的应是冬季白天。 5.该节能房屋( ) A.最适合在海南省推广和建造 B.打开重质墙体的隔断有利于空气的净化 C.充分利用了温室效应和热力环流的原理 D.打开玻璃盖板和窗户有利于热量的保存 答案 C 解析 结合上题分析可知,该节能房屋充分利用了热力环流和温室效应原理,比 较适合在气温季节变化大和昼夜温差大的地区建造,如我国西北地区,而海南地 处热带,全年高温,热量丰富,不适合推广。读图可知,关闭玻璃盖板和窗户有利于热量的保存;打开重质墙体的隔断是为了使室内空气与空气间层空气循环,实现 热量的内外交换,但如果要净化空气,需要打开窗户。 6.阅读图文资料,完成下列要求。(12分) “绿洲冷岛效应”指干旱地区的绿洲区域,夏季气温比附近沙漠、戈壁低,湿度比 周边大的特殊气象效应。兰州高原大气物理研究所的科研人员对河西走廊的某绿 洲和沙漠的气温观测发现,在7~8月天气稳定的状态下,会出现“绿洲冷岛效 应”。下图示意该绿洲和附近沙漠7月某日地表温度的变化。 INCLUDEPICTURE "E:\\2024\\课件\\2025版 创新设计 高考总复习 地理 人教 版(鲁京琼……)\\不用\\J621.TIF" \* MERGEFORMATINET (1)与6时相比,说明该日15时绿洲和沙漠间近地面风力的变化及原因。(6分) (2)分析“绿洲冷岛效应”对绿洲农业的有利影响。(6分) 答案 (1)风力变大。绿洲和沙漠间地表温差增大,近地面水平气压差变大,水平气 压梯度力变大。 (2)绿洲冷岛效应导致绿洲气温较低,抑制植物蒸腾和土壤水分蒸发,节约农业灌 溉用水;夜间气温低,抑制作物呼吸,减少有机质消耗,有利于提高产量。 解析 第(1)题,读图可以推断变化:风力变大。原因:由于15时跟6时相比,绿洲 和沙漠间地表温差增大,气压差就变大,近地面水平气压梯度力变大,风速就加快。 第(2)题,绿洲冷岛效应是指:干旱地区的绿洲区域夏季气温比附近沙漠、戈壁低, 湿度比周边大的特殊气象效应。有利影响:白天导致绿洲气温较低,太阳辐射较弱, 光照较少,植物蒸腾和土壤水分蒸发小,可以节约农业灌溉用水,节约水资源;夜 间气温低,抑制作物呼吸作用,减少植物有机质消耗,有利于提高农产品的质量和 产量。