当前位置:首页>文档>专题07椭圆中的向量问题(解析版)_2.2025数学总复习_2024年新高考资料_3.2024专项复习_2024年新高考数学之圆锥曲线专项重难点突破练(新高考专用)

专题07椭圆中的向量问题(解析版)_2.2025数学总复习_2024年新高考资料_3.2024专项复习_2024年新高考数学之圆锥曲线专项重难点突破练(新高考专用)

  • 2026-04-16 01:38:32 2026-03-12 06:07:06

文档预览

专题07椭圆中的向量问题(解析版)_2.2025数学总复习_2024年新高考资料_3.2024专项复习_2024年新高考数学之圆锥曲线专项重难点突破练(新高考专用)
专题07椭圆中的向量问题(解析版)_2.2025数学总复习_2024年新高考资料_3.2024专项复习_2024年新高考数学之圆锥曲线专项重难点突破练(新高考专用)
专题07椭圆中的向量问题(解析版)_2.2025数学总复习_2024年新高考资料_3.2024专项复习_2024年新高考数学之圆锥曲线专项重难点突破练(新高考专用)
专题07椭圆中的向量问题(解析版)_2.2025数学总复习_2024年新高考资料_3.2024专项复习_2024年新高考数学之圆锥曲线专项重难点突破练(新高考专用)
专题07椭圆中的向量问题(解析版)_2.2025数学总复习_2024年新高考资料_3.2024专项复习_2024年新高考数学之圆锥曲线专项重难点突破练(新高考专用)
专题07椭圆中的向量问题(解析版)_2.2025数学总复习_2024年新高考资料_3.2024专项复习_2024年新高考数学之圆锥曲线专项重难点突破练(新高考专用)
专题07椭圆中的向量问题(解析版)_2.2025数学总复习_2024年新高考资料_3.2024专项复习_2024年新高考数学之圆锥曲线专项重难点突破练(新高考专用)
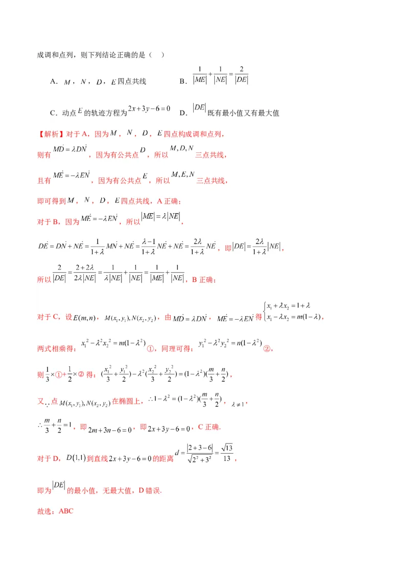
专题07椭圆中的向量问题(解析版)_2.2025数学总复习_2024年新高考资料_3.2024专项复习_2024年新高考数学之圆锥曲线专项重难点突破练(新高考专用)
专题07椭圆中的向量问题(解析版)_2.2025数学总复习_2024年新高考资料_3.2024专项复习_2024年新高考数学之圆锥曲线专项重难点突破练(新高考专用)
专题07椭圆中的向量问题(解析版)_2.2025数学总复习_2024年新高考资料_3.2024专项复习_2024年新高考数学之圆锥曲线专项重难点突破练(新高考专用)
专题07椭圆中的向量问题(解析版)_2.2025数学总复习_2024年新高考资料_3.2024专项复习_2024年新高考数学之圆锥曲线专项重难点突破练(新高考专用)
专题07椭圆中的向量问题(解析版)_2.2025数学总复习_2024年新高考资料_3.2024专项复习_2024年新高考数学之圆锥曲线专项重难点突破练(新高考专用)
专题07椭圆中的向量问题(解析版)_2.2025数学总复习_2024年新高考资料_3.2024专项复习_2024年新高考数学之圆锥曲线专项重难点突破练(新高考专用)
专题07椭圆中的向量问题(解析版)_2.2025数学总复习_2024年新高考资料_3.2024专项复习_2024年新高考数学之圆锥曲线专项重难点突破练(新高考专用)
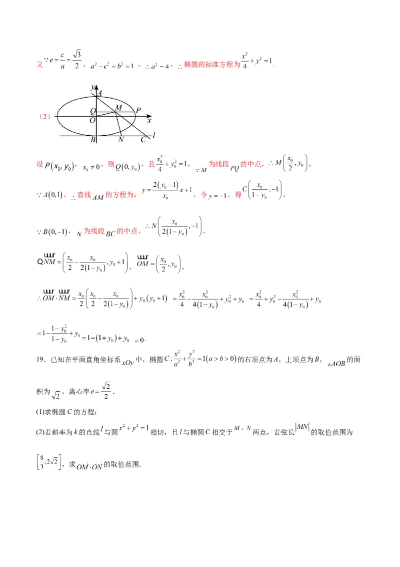
专题07椭圆中的向量问题(解析版)_2.2025数学总复习_2024年新高考资料_3.2024专项复习_2024年新高考数学之圆锥曲线专项重难点突破练(新高考专用)
专题07椭圆中的向量问题(解析版)_2.2025数学总复习_2024年新高考资料_3.2024专项复习_2024年新高考数学之圆锥曲线专项重难点突破练(新高考专用)
专题07椭圆中的向量问题(解析版)_2.2025数学总复习_2024年新高考资料_3.2024专项复习_2024年新高考数学之圆锥曲线专项重难点突破练(新高考专用)
专题07椭圆中的向量问题(解析版)_2.2025数学总复习_2024年新高考资料_3.2024专项复习_2024年新高考数学之圆锥曲线专项重难点突破练(新高考专用)
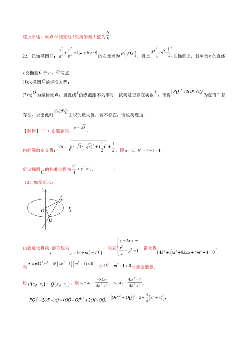
专题07椭圆中的向量问题(解析版)_2.2025数学总复习_2024年新高考资料_3.2024专项复习_2024年新高考数学之圆锥曲线专项重难点突破练(新高考专用)
专题07椭圆中的向量问题(解析版)_2.2025数学总复习_2024年新高考资料_3.2024专项复习_2024年新高考数学之圆锥曲线专项重难点突破练(新高考专用)
专题07椭圆中的向量问题(解析版)_2.2025数学总复习_2024年新高考资料_3.2024专项复习_2024年新高考数学之圆锥曲线专项重难点突破练(新高考专用)
专题07椭圆中的向量问题(解析版)_2.2025数学总复习_2024年新高考资料_3.2024专项复习_2024年新高考数学之圆锥曲线专项重难点突破练(新高考专用)

文档信息

文档格式
docx
文档大小
1.478 MB
文档页数
22 页
上传时间
2026-03-12 06:07:06

文档内容

专题07 椭圆中的向量问题 考试时间:120分钟 满分:150分 一、单选题:本大题共8小题,每个小题5分,共40分.在每小题给出的选项中,只有一项是符合题目要 求的. 1.点 为椭圆 的右顶点, 为椭圆 上一点(不与 重合),若 ( 是坐标原点),则椭圆 的离心率的取值范围是( ) A. B. C. D. 【解析】设 ,又 ,且 , 则 ,与椭圆方程联立 , 即 ,解得 或 ,则 ,即 , 即 ,则 ,故选:B 2.已知椭圆 的左,右焦点分别为 , ,上顶点为A,直线 与椭圆E的另一 个交点为B,若 ,则椭圆E的离心率为( ) A. B. C. D. 【解析】由题意得 ,则直线 的方程为 , 联立 ,消去y得 ,则 , 所以 ,因为 ,所以 ,因为 ,化简得 , 即 ,所以 ,所以 .故选:B. 3.已知椭圆 的左、右焦点分别为 , ,过 的直线交椭圆于A,B两点, ,且 ,椭圆 的离心率为 ,则实数 ( ) A. B.2 C. D.3 【解析】因为 ,设 ,由椭圆的定义可得: ,则 ,因为 ,所以 , 所以 ,即 ,又因为椭圆 的离心率为 , 所以 ,则有 ,所以 ,则 ,则 , 由 ,所以 ,因为 ,所以 , 所以 ,即 ,解得: ,故选: . 4.在平面直角坐标系 中,已知点 ,动点 满足 ,则 的最大 值为( ) A. B. C. D. 【解析】 , 点轨迹是以 为焦点, 为长轴的椭圆, 点轨迹方程为 ;设 ,则 , , , , 当 时, .故选:C.5.已知椭圆 : 的左、右焦点分别为 、 ,点 与椭圆 的焦点不重合,分别延长 、 到 、 .使 , . 是椭圆 上一点,延长 到 ,使得 ,则 ( ) A.3 B.5 C.6 D.10 【解析】由 ,得 , 有 ,所以 , 又 ,所以 , 所以 ,故 , 所以 ,则 , 根据椭圆的定义,得 ,所以 .故选:D 6.已知椭圆 为椭圆的左.右焦点, 是椭圆上任一点,若 的取值范 围为 ,则椭圆方程为( ) A. B. C. D. 【解析】设 , , ,则 , , 所以 又 ,所以又因为 的取值范围为 ,故 , , 所以 ,得方程为 ,故选:A 7.已知 为椭圆和双曲线的公共焦点,P为其一个公共点,且 , ,则 的 取值范围为( ) A. B. C. D. 【解析】解:方法一: 如图1,设椭圆方程为 ,双曲线方程为 , 由题知: , ,不妨设点 在第一象限,设 , 所以在椭圆中,有 ,在双曲线中有 ,所以 , , 所以在 中,由余弦定理得: , 整理得 ,所以 所以 , 由于 , 所以 , ,故 所以 ,即 ,故选:D.方法二: 如图2,不妨设点 在第一象限,由正弦定理得三角形 外接圆的半径为 , 所以 在半径为 ,圆心为 的圆在第一象限的圆弧 (不包含端点)上, 所以 ,所以 ,所以 , 由向量数量积定义得 , 由三角形面积公式得: , ,所以 , 所以 ,所以 .故选:D. 8.已知椭圆 内有一点 ,过 的两条直线 、 分别与椭圆 交于 、 和 、 两点,且满足 , (其中 且 ),若 变化时直线 的斜率总为 , 则椭圆 的离心率为A. B. C. D. 【解析】设 ,由 可得: ,据此可得: ,同理可得: , 则: ,将点A,B的坐标代入椭圆方程做差可得: ,即: , 同理可得: , 两式相加可得 , 故: ,据此可得: . 二、多选题:本大题共4小题,每个小题5分,共20分.在每小题给出的选项中,只有一项或者多项是符 合题目要求的. 9.已知椭圆 的左、右两个焦点分别是 , ,过点 且斜率为 的直线 与椭圆 交于 , 两点,则下列说法中正确的有( ) A.当 时, 的周长为 B.若 的中点为 ,则 ( 为坐标原点, 与 不重合) C.若 ,则椭圆的离心率的取值范围是 D.若 的最小值为 ,则椭圆的离心率 【解析】因为弦 过椭圆的左焦点 ,所以 的周长为,所以A正确; 设 , ,则 ,有 , ,所以 , 由 作差得: ,所以 , 则有 ,所以B正确; 设 , , , 所以 , 则有 ,可得 ,所以C错误; 由过焦点的弦中垂直于 轴的弦最短,则 的最小值为 ,则有 ,即 ,解得 ,所以 ,故D正确. 故选:ABD 10.已知椭圆 的左、右焦点分别为 、 , 为椭圆 上不同于左右顶点的任意一点,则下 列说法正确的是( ) A. 的周长为8 B. 面积的最大值为 C. 的取值范围为 D. 的取值范围为【解析】 由 可得, , , . 对于A项, 的周长为 ,故A项错误; 对于B项,设 , ,则 ,所以当点 为短轴顶点时, 的面积最大, 最大面积为 ,故B项正确; 对于C项,设 , , , ,则 , ,则 .因为 ,所以 ,所以 ,又 , 所以 ,所以 的取值范围为 ,故C项正确; 对于D项,由 可得, ,由C知, ,则 ,因为 ,所以 ,所以 ,同理有 .所以 ,当 时有最大值4,当 或 时,值为3,但是 且 ,所以 的取值范围为 ,故D项正确. 故选:BCD. 11.一般地,若 , ( ,且 ),则称 , , , 四点构成调和点列.已知 椭圆 : ,过点 的直线 与椭圆 交于 , 两点.动点 满足 , , , 四点构成调和点列,则下列结论正确的是( ) A. , , , 四点共线 B. C.动点 的轨迹方程为 D. 既有最小值又有最大值 【解析】对于A,因为 , , , 四点构成调和点列, 则有 ,因为有公共点 ,所以 三点共线, 且有 ,因为有公共点 ,所以 三点共线, 即可得到 , , , 四点共线,A正确; 对于B,因为 ,所以 , ,即 , 所以 ,B正确; 对于C,设 , ,由 , 得 , 两式相乘得: ①,同理可得: ②, 则 ①+ ②得: , 又 点 在椭圆上, , , ,即 ,即 ,C正确. 对于D, 到直线 的距离 , 即为 的最小值,无最大值,D错误. 故选:ABC12.已知椭圆 ,过点 的直线与椭圆C交于A,B两点,且满足 ,则下列结论正 确的是( ) A.若直线AB过右焦点 ,则 B.若 ,则直线AB方程为 C.若 ,则直线AB方程为 D.若动点 满足 ,则点 的轨迹方程为 【解析】对于A,因为椭圆的右焦点为 ,又直线过点 ,所以直线 的方程为 ,所以 或 , 当 时, , ,此时 ; 当 时, , ,此时 , 综上所述,当直线AB过右焦点 ,则 ,故选项A正确; 对于B,由选项 可知:直线 的斜率存在,设直线 的方程为: , 联立方程组 ,整理可得: , 设 ,由韦达定理可得: , 因为 ,所以 ,则有 ,也即 ,解得: ,此时直线 的方 程为: ,故选项B正确; 对于C,同选项 可得: ,因为 ,所以 ,则有 ,则 , 解得 , , 所以 ,化简整理可得: ,显然 不是方程的根,故选项C错误; 对于D,设 , , 因为 , ,则 ,两式相乘可得: , 同理可得: ,则 , 也即 , 又因为 在椭圆 上,所以 , 根据题意可知: ,所以 , 所以动点 的轨迹方程为: ,即 ,故选项D正确, 故选:ABD. 三、填空题:本大题共4小题,每小题5分,共20分.把答案填在答题卡中的横线上. 13.已知椭圆 的焦点为 ,点 在椭圆上且 ,则点 到 轴的距离为 . 【解析】设 的坐标为 ,所以 到 轴距离为 . 椭圆 的焦点在 轴上, , ,所以 是Rt ,所以 . 根据椭圆定义得 ,联立解得 ,所以 的面积为 ,又 的面积等于 ,所以由 ,可得 ,代入椭圆方程得 , 故点 到 轴的距离为 . 14.已知过点 的直线与椭圆 相交于不同的两点A和B,在线段AB上存在点Q,满足 ,则 的最小值为 . 【解析】设 , , ,由 ,记 ,又 四点共线, 设 ,则由已知 ,且 , .由 ,得 , 解得 ,同理 ,得 , 解得 ,因为点 在椭圆上,所以 , 即 ,① 同理点 在椭圆上,所以 ,即 ,② ①-②得 ,因为 ,所以 ,故点 在定直线 上, 的最小值为点 到直线 的距离 . 15.已知椭圆 的两个焦点为 和 ,直线l过点 ,点 关于l的对称点A在C上,且 ,则C的方程为 . 【解析】因为A与 关于直线l对称,所以直线l为 的垂直平分线,又 , 所以 ,由椭圆的定义可得 , 设直线l与 交于点M,则M为 的中点,且 , 所以 , 解得 或1(舍去),所以 , ,则C的方程为: . 16.已知椭圆 ,在椭圆 上存在两点 , ,点 在直线 上,点 ,满 足 , ,则 . 【解析】由 , 知 , , , 四点共线, 当直线 的斜率不存在时,其方程为 ,此时点 ,由椭圆的对称性,不妨设 , ,此时, , ,则 . 当直线 的斜率存在时,由题意可设其方程为 , 设 , , , , ,由 , ,得 , . 由 得 ,由 得 , 易知 ,∴ ∴ . 综上, . 四、解答题:本大题共6小题,共70分.解答应写出必要的文字说明、证明过程或演算步骤. 17.已知椭圆 : 的离心率为 ,点 , , 分别是椭圆 的左、右、上顶点, 是 的左焦点,坐标原点 到直线 的距离为 . (1)求 的方程; (2)过 的直线 交椭圆 于 , 两点,求 的取值范围. 【解析】(1)设椭圆 的半焦距为 ,根据题意 解得 故 的方程为 . (2)由(1)知: .当直线 的斜率为0时,点 为椭圆的左、右顶点, 不妨取 ,此时 ,则 .当直线 的斜率不为0或 与 轴垂直时,设其方程为 , 代入椭圆 并消去 得 , 设 ,则 .而 , 所以 . 因为 ,所以 ,所以 . 综上, 的取值范围为 . 18.己知椭圆 的上、下顶点分别为 ,已知点 在直线 : 上,且椭圆的离心 率 . (1)求椭圆的标准方程; (2)设 是椭圆上异于 的任意一点, 轴, 为垂足, 为线段 的中点,直线 交直线 于 点 , 为线段 的中点,求 的值. 【解析】(1) 且点 在直线 : 上, ,又 , , , 椭圆的标准方程为 . (2) 设 , ,则 ,且 , 为线段 的中点, , , 直线 的方程为: ,令 ,得 , , 为线段 的中点, , , , 19.已知在平面直角坐标系 中,椭圆 的右顶点为A,上顶点为B, 的面 积为 ,离心率 . (1)求椭圆C的方程; (2)若斜率为k的直线 与圆 相切,且l与椭圆C相交于 两点,若弦长 的取值范围为 ,求 的取值范围.【解析】(1)由题意可知: ,可得 , , 所以椭圆C的方程为: ; (2)设直线 的方程为 , , ,由 ,得 , 联立 ,得 , 恒成立, 则 ,所以 , , 因为 的取值范围为 ,则 ,解得 , 所以 , , 因为 ,则 ,所以 , 所以 的取值范围为 .20.已知椭圆C: 的离心率 ,点 , 为椭圆C的左、右焦点且经过点 的最短弦长为3. (1)求椭圆C的方程; (2)过点 分别作两条互相垂直的直线 , ,且 与椭圆交于不同两点A,B, 与直线 交于点P,若 ,且点Q满足 ,求 的最小值. 【解析】(1)由题意, ,解得 , ,所以椭圆的方程为 . (2)由(1)得 ,若直线 的斜率为0,则 为 与直线 无交点,不满足条件.设直线 : ,若 ,则 则不满足 ,所以 . 设 , , , 由 得: , , . 因为 ,即 ,则 , , 所以 ,解得 ,则 ,即 , 直线 : ,联立 ,解得 , ∴ ,当且仅当 或 时等号成立 ∴ 的最小值为5. 21.在平面直角坐标系 中,已知点 , ,动点P满足: . (1)求动点P的轨迹C的方程; (2)设曲线C的右顶点为D,若直线l与曲线C交于A,B两点(A,B不是左右顶点)且满足 ,求原点O到直线l距离的最大值. 【解析】(1)由题意可知, 为线段 的点,所以 , 由 ,得 ,即 , 所以 , 由椭圆的定义知,动点P的轨迹是以 , 为焦点,实轴长为 的椭圆. 可设方程为 ,所以 , ,解得 ,所以 ,所以动点P的轨迹C的方程为 . (2)由(1)知, ,如图所示 设 , . 由 ,得 ,即 于是有 当直线 的斜率不存在时,此时直线 垂直于 轴,直线 的方程为 , 且 所以 解得 或 (舍), 此时原点O到直线l距离为 ,当直线 的斜率存在时,设直线 的方程为 , 由 ,消去 ,得 因为直线 与椭圆相交, 所以 解得 由 得 把 代入上式得 即 所以 所以 ,或 (舍), 显然 ,则原点O到直线l距离为 ,综上所述,原点O到直线l距离的最大值为 . 22.已知椭圆 : 的右焦点为 ,且点 在椭圆上.斜率为 的直线 交椭圆 于 , 两点. (1)求椭圆 的标准方程; (2)设 为坐标原点,当直线 的纵截距不为零时,试问是否存在实数 ,使得 为定值?若 存在,求出此时 面积的最大值;若不存在,请说明理由. 【解析】(1)由题意知: , 由椭圆的定义得: ,即 , 所以椭圆 的标准方程为 . · (2)如图所示: 由题意设直线 的方程为 ,联立 ,消元得 , 当 ,即 时满足题意, 设 , ,则 , ,, 若 为定值,则上式与 无关,故 ,得 , 此时 . 又点 到直线 的距离 , 以 , 当且仅当 ,即 时,等号成立. 经检验,此时 成立,所以 面积的最大值为1