当前位置:首页>文档>重难点01圆的综合题型(圆性质的应用、圆与四边形结合的动态探究、情景与应用题型、隐圆问题)(解析版)_02中考总复习(2026版更新中)_02-数学-中考总复习_2025中考复习资料

重难点01圆的综合题型(圆性质的应用、圆与四边形结合的动态探究、情景与应用题型、隐圆问题)(解析版)_02中考总复习(2026版更新中)_02-数学-中考总复习_2025中考复习资料

  • 2026-04-01 04:36:18 2026-03-12 13:33:29

文档预览

重难点01圆的综合题型(圆性质的应用、圆与四边形结合的动态探究、情景与应用题型、隐圆问题)(解析版)_02中考总复习(2026版更新中)_02-数学-中考总复习_2025中考复习资料
重难点01圆的综合题型(圆性质的应用、圆与四边形结合的动态探究、情景与应用题型、隐圆问题)(解析版)_02中考总复习(2026版更新中)_02-数学-中考总复习_2025中考复习资料
重难点01圆的综合题型(圆性质的应用、圆与四边形结合的动态探究、情景与应用题型、隐圆问题)(解析版)_02中考总复习(2026版更新中)_02-数学-中考总复习_2025中考复习资料
重难点01圆的综合题型(圆性质的应用、圆与四边形结合的动态探究、情景与应用题型、隐圆问题)(解析版)_02中考总复习(2026版更新中)_02-数学-中考总复习_2025中考复习资料
重难点01圆的综合题型(圆性质的应用、圆与四边形结合的动态探究、情景与应用题型、隐圆问题)(解析版)_02中考总复习(2026版更新中)_02-数学-中考总复习_2025中考复习资料
重难点01圆的综合题型(圆性质的应用、圆与四边形结合的动态探究、情景与应用题型、隐圆问题)(解析版)_02中考总复习(2026版更新中)_02-数学-中考总复习_2025中考复习资料
重难点01圆的综合题型(圆性质的应用、圆与四边形结合的动态探究、情景与应用题型、隐圆问题)(解析版)_02中考总复习(2026版更新中)_02-数学-中考总复习_2025中考复习资料
重难点01圆的综合题型(圆性质的应用、圆与四边形结合的动态探究、情景与应用题型、隐圆问题)(解析版)_02中考总复习(2026版更新中)_02-数学-中考总复习_2025中考复习资料
重难点01圆的综合题型(圆性质的应用、圆与四边形结合的动态探究、情景与应用题型、隐圆问题)(解析版)_02中考总复习(2026版更新中)_02-数学-中考总复习_2025中考复习资料
重难点01圆的综合题型(圆性质的应用、圆与四边形结合的动态探究、情景与应用题型、隐圆问题)(解析版)_02中考总复习(2026版更新中)_02-数学-中考总复习_2025中考复习资料
重难点01圆的综合题型(圆性质的应用、圆与四边形结合的动态探究、情景与应用题型、隐圆问题)(解析版)_02中考总复习(2026版更新中)_02-数学-中考总复习_2025中考复习资料
重难点01圆的综合题型(圆性质的应用、圆与四边形结合的动态探究、情景与应用题型、隐圆问题)(解析版)_02中考总复习(2026版更新中)_02-数学-中考总复习_2025中考复习资料
重难点01圆的综合题型(圆性质的应用、圆与四边形结合的动态探究、情景与应用题型、隐圆问题)(解析版)_02中考总复习(2026版更新中)_02-数学-中考总复习_2025中考复习资料
重难点01圆的综合题型(圆性质的应用、圆与四边形结合的动态探究、情景与应用题型、隐圆问题)(解析版)_02中考总复习(2026版更新中)_02-数学-中考总复习_2025中考复习资料
重难点01圆的综合题型(圆性质的应用、圆与四边形结合的动态探究、情景与应用题型、隐圆问题)(解析版)_02中考总复习(2026版更新中)_02-数学-中考总复习_2025中考复习资料
重难点01圆的综合题型(圆性质的应用、圆与四边形结合的动态探究、情景与应用题型、隐圆问题)(解析版)_02中考总复习(2026版更新中)_02-数学-中考总复习_2025中考复习资料
重难点01圆的综合题型(圆性质的应用、圆与四边形结合的动态探究、情景与应用题型、隐圆问题)(解析版)_02中考总复习(2026版更新中)_02-数学-中考总复习_2025中考复习资料
重难点01圆的综合题型(圆性质的应用、圆与四边形结合的动态探究、情景与应用题型、隐圆问题)(解析版)_02中考总复习(2026版更新中)_02-数学-中考总复习_2025中考复习资料
重难点01圆的综合题型(圆性质的应用、圆与四边形结合的动态探究、情景与应用题型、隐圆问题)(解析版)_02中考总复习(2026版更新中)_02-数学-中考总复习_2025中考复习资料
重难点01圆的综合题型(圆性质的应用、圆与四边形结合的动态探究、情景与应用题型、隐圆问题)(解析版)_02中考总复习(2026版更新中)_02-数学-中考总复习_2025中考复习资料
重难点01圆的综合题型(圆性质的应用、圆与四边形结合的动态探究、情景与应用题型、隐圆问题)(解析版)_02中考总复习(2026版更新中)_02-数学-中考总复习_2025中考复习资料
重难点01圆的综合题型(圆性质的应用、圆与四边形结合的动态探究、情景与应用题型、隐圆问题)(解析版)_02中考总复习(2026版更新中)_02-数学-中考总复习_2025中考复习资料
重难点01圆的综合题型(圆性质的应用、圆与四边形结合的动态探究、情景与应用题型、隐圆问题)(解析版)_02中考总复习(2026版更新中)_02-数学-中考总复习_2025中考复习资料
重难点01圆的综合题型(圆性质的应用、圆与四边形结合的动态探究、情景与应用题型、隐圆问题)(解析版)_02中考总复习(2026版更新中)_02-数学-中考总复习_2025中考复习资料
重难点01圆的综合题型(圆性质的应用、圆与四边形结合的动态探究、情景与应用题型、隐圆问题)(解析版)_02中考总复习(2026版更新中)_02-数学-中考总复习_2025中考复习资料
重难点01圆的综合题型(圆性质的应用、圆与四边形结合的动态探究、情景与应用题型、隐圆问题)(解析版)_02中考总复习(2026版更新中)_02-数学-中考总复习_2025中考复习资料
重难点01圆的综合题型(圆性质的应用、圆与四边形结合的动态探究、情景与应用题型、隐圆问题)(解析版)_02中考总复习(2026版更新中)_02-数学-中考总复习_2025中考复习资料
重难点01圆的综合题型(圆性质的应用、圆与四边形结合的动态探究、情景与应用题型、隐圆问题)(解析版)_02中考总复习(2026版更新中)_02-数学-中考总复习_2025中考复习资料
重难点01圆的综合题型(圆性质的应用、圆与四边形结合的动态探究、情景与应用题型、隐圆问题)(解析版)_02中考总复习(2026版更新中)_02-数学-中考总复习_2025中考复习资料
重难点01圆的综合题型(圆性质的应用、圆与四边形结合的动态探究、情景与应用题型、隐圆问题)(解析版)_02中考总复习(2026版更新中)_02-数学-中考总复习_2025中考复习资料
重难点01圆的综合题型(圆性质的应用、圆与四边形结合的动态探究、情景与应用题型、隐圆问题)(解析版)_02中考总复习(2026版更新中)_02-数学-中考总复习_2025中考复习资料
重难点01圆的综合题型(圆性质的应用、圆与四边形结合的动态探究、情景与应用题型、隐圆问题)(解析版)_02中考总复习(2026版更新中)_02-数学-中考总复习_2025中考复习资料
重难点01圆的综合题型(圆性质的应用、圆与四边形结合的动态探究、情景与应用题型、隐圆问题)(解析版)_02中考总复习(2026版更新中)_02-数学-中考总复习_2025中考复习资料
重难点01圆的综合题型(圆性质的应用、圆与四边形结合的动态探究、情景与应用题型、隐圆问题)(解析版)_02中考总复习(2026版更新中)_02-数学-中考总复习_2025中考复习资料
重难点01圆的综合题型(圆性质的应用、圆与四边形结合的动态探究、情景与应用题型、隐圆问题)(解析版)_02中考总复习(2026版更新中)_02-数学-中考总复习_2025中考复习资料
重难点01圆的综合题型(圆性质的应用、圆与四边形结合的动态探究、情景与应用题型、隐圆问题)(解析版)_02中考总复习(2026版更新中)_02-数学-中考总复习_2025中考复习资料
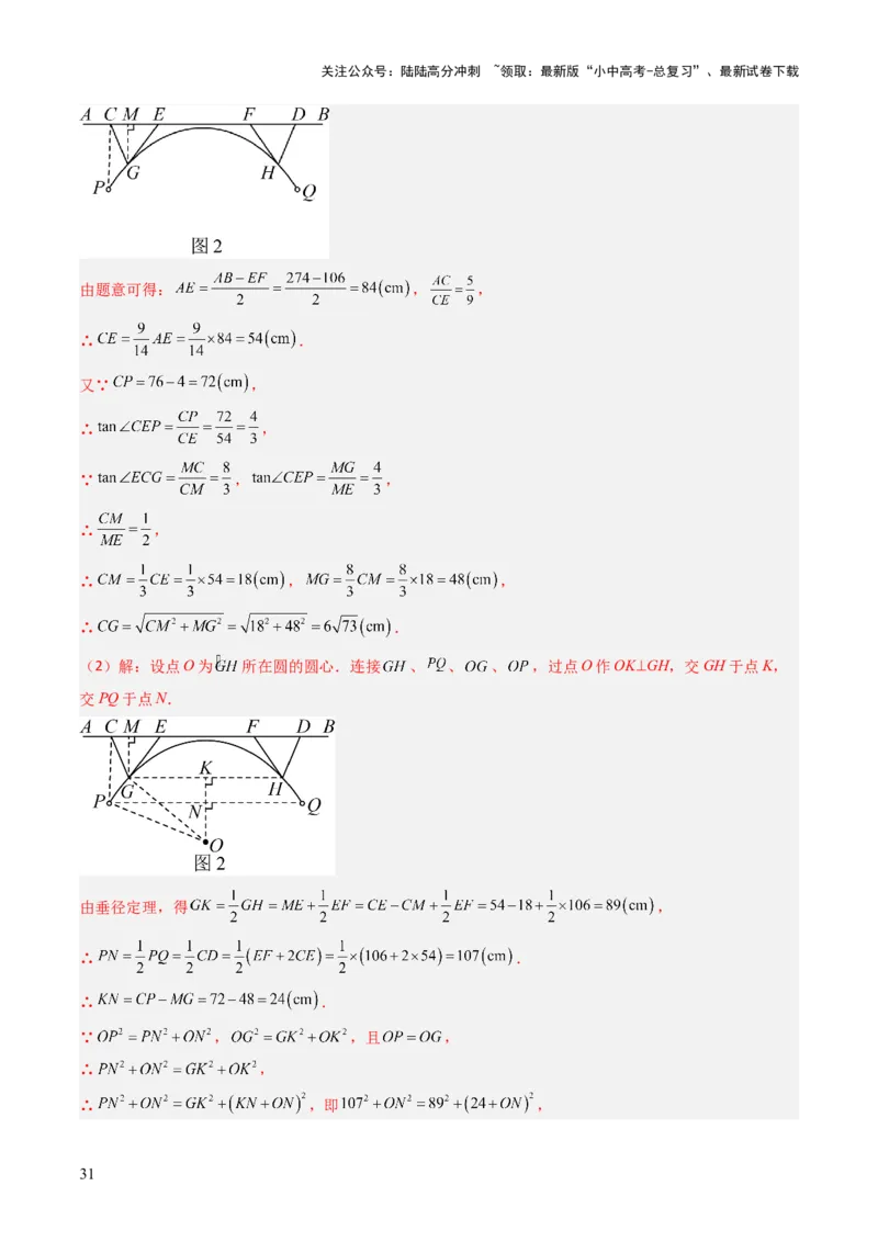
重难点01圆的综合题型(圆性质的应用、圆与四边形结合的动态探究、情景与应用题型、隐圆问题)(解析版)_02中考总复习(2026版更新中)_02-数学-中考总复习_2025中考复习资料
重难点01圆的综合题型(圆性质的应用、圆与四边形结合的动态探究、情景与应用题型、隐圆问题)(解析版)_02中考总复习(2026版更新中)_02-数学-中考总复习_2025中考复习资料
重难点01圆的综合题型(圆性质的应用、圆与四边形结合的动态探究、情景与应用题型、隐圆问题)(解析版)_02中考总复习(2026版更新中)_02-数学-中考总复习_2025中考复习资料
重难点01圆的综合题型(圆性质的应用、圆与四边形结合的动态探究、情景与应用题型、隐圆问题)(解析版)_02中考总复习(2026版更新中)_02-数学-中考总复习_2025中考复习资料
重难点01圆的综合题型(圆性质的应用、圆与四边形结合的动态探究、情景与应用题型、隐圆问题)(解析版)_02中考总复习(2026版更新中)_02-数学-中考总复习_2025中考复习资料
重难点01圆的综合题型(圆性质的应用、圆与四边形结合的动态探究、情景与应用题型、隐圆问题)(解析版)_02中考总复习(2026版更新中)_02-数学-中考总复习_2025中考复习资料
重难点01圆的综合题型(圆性质的应用、圆与四边形结合的动态探究、情景与应用题型、隐圆问题)(解析版)_02中考总复习(2026版更新中)_02-数学-中考总复习_2025中考复习资料
重难点01圆的综合题型(圆性质的应用、圆与四边形结合的动态探究、情景与应用题型、隐圆问题)(解析版)_02中考总复习(2026版更新中)_02-数学-中考总复习_2025中考复习资料
重难点01圆的综合题型(圆性质的应用、圆与四边形结合的动态探究、情景与应用题型、隐圆问题)(解析版)_02中考总复习(2026版更新中)_02-数学-中考总复习_2025中考复习资料
重难点01圆的综合题型(圆性质的应用、圆与四边形结合的动态探究、情景与应用题型、隐圆问题)(解析版)_02中考总复习(2026版更新中)_02-数学-中考总复习_2025中考复习资料
重难点01圆的综合题型(圆性质的应用、圆与四边形结合的动态探究、情景与应用题型、隐圆问题)(解析版)_02中考总复习(2026版更新中)_02-数学-中考总复习_2025中考复习资料
重难点01圆的综合题型(圆性质的应用、圆与四边形结合的动态探究、情景与应用题型、隐圆问题)(解析版)_02中考总复习(2026版更新中)_02-数学-中考总复习_2025中考复习资料
重难点01圆的综合题型(圆性质的应用、圆与四边形结合的动态探究、情景与应用题型、隐圆问题)(解析版)_02中考总复习(2026版更新中)_02-数学-中考总复习_2025中考复习资料
重难点01圆的综合题型(圆性质的应用、圆与四边形结合的动态探究、情景与应用题型、隐圆问题)(解析版)_02中考总复习(2026版更新中)_02-数学-中考总复习_2025中考复习资料
重难点01圆的综合题型(圆性质的应用、圆与四边形结合的动态探究、情景与应用题型、隐圆问题)(解析版)_02中考总复习(2026版更新中)_02-数学-中考总复习_2025中考复习资料
重难点01圆的综合题型(圆性质的应用、圆与四边形结合的动态探究、情景与应用题型、隐圆问题)(解析版)_02中考总复习(2026版更新中)_02-数学-中考总复习_2025中考复习资料
重难点01圆的综合题型(圆性质的应用、圆与四边形结合的动态探究、情景与应用题型、隐圆问题)(解析版)_02中考总复习(2026版更新中)_02-数学-中考总复习_2025中考复习资料
重难点01圆的综合题型(圆性质的应用、圆与四边形结合的动态探究、情景与应用题型、隐圆问题)(解析版)_02中考总复习(2026版更新中)_02-数学-中考总复习_2025中考复习资料
重难点01圆的综合题型(圆性质的应用、圆与四边形结合的动态探究、情景与应用题型、隐圆问题)(解析版)_02中考总复习(2026版更新中)_02-数学-中考总复习_2025中考复习资料
重难点01圆的综合题型(圆性质的应用、圆与四边形结合的动态探究、情景与应用题型、隐圆问题)(解析版)_02中考总复习(2026版更新中)_02-数学-中考总复习_2025中考复习资料
重难点01圆的综合题型(圆性质的应用、圆与四边形结合的动态探究、情景与应用题型、隐圆问题)(解析版)_02中考总复习(2026版更新中)_02-数学-中考总复习_2025中考复习资料

文档信息

文档格式
docx
文档大小
4.595 MB
文档页数
57 页
上传时间
2026-03-12 13:33:29

文档内容

关注公众号:陆陆高分冲刺 ~领取:最新版“小中高考-总复习”、最新试卷下载 重难点 01 圆的综合题型(圆性质的应用、圆与四边行 结合的动态探究、情景与应用题型、隐圆问题) 题型解读|模型构建|真题强化训练|模拟通关试练 圆的综合问题在中考中常常以选择题以及解答题的形式出现,解答题居多且分值较大,难度较高,多 考查切线的性质与判定、圆中求线段长度问题和圆中最值问题,一般会用到特殊三角形、特殊四边形、相 似三角形、锐角三角函数、勾股定理、图形变换等相关知识点以及数形结合、整体代入等数学思想. 模型01 圆性质的应用 考|向|预|测 圆性质的应用该题型近年主要以选择、填空形式出现,在综合性大题考试中,难度系数不大,在各类 考试中都以中档题为主。解这类问题的关键是结合圆的性质及相关判定定理与推论并结合圆和其它几 何的相关知识点进行解题。 答|题|技|巧 1.灵活应用弦弧角之间的关系,弦和弧最终转化为角,一般情况下是圆周角; 2.碰到直径想直角,直径所对的圆周角为90°; 3.看到切线——连半径——90°,证明切线时注意证明90°; 4.圆内接四边形——对角互补,外交等于内对角; ⊙O AB CD AB⊥CD E AB=20 1.(2024·江苏)如图,在 中, 是直径, 是弦,且 ,垂足为 , , 1关注公众号:陆陆高分冲刺 ~领取:最新版“小中高考-总复习”、最新试卷下载 CD=12,在BA的延长线上取一点F,连接CF,使∠FCD=2∠B. (1)求证:CF是⊙O的切线; (2)求EF的长. 【答案】(1)见解析 9 (2) 2 【分析】本题考查了切线的判定和性质,相似三角形的判定和性质,勾股定理,圆周角定理,正确地作出 辅助线是解题的关键. (1)连接OC,根据等腰三角形的性质得到∠B=∠BCO,等量代换得到∠FCD=∠COE,得到 ∠OCF=90°,根据切线的判定定理得到结论; 1 (2)根据垂径定理得到CE= CD=6,根据勾股定理得到OE=√OC2−CE2=8,根据相似三角形的判 2 定和性质定理即可得到结论. 【详解】(1)证明:连接OC, ∵OC=OB , ∴∠B=∠BCO, ∴∠AOC=∠B+∠BCO=2∠B, ∵AB⊥CD, ∴∠CEO=90°, ∴∠COE+∠OCE=90°, ∵∠FCD=2∠B, ∴∠FCD=∠COE, ∴∠FCD+∠OCE=90°, ∴∠OCF=90°, ∵OC是⊙O的半径, 2关注公众号:陆陆高分冲刺 ~领取:最新版“小中高考-总复习”、最新试卷下载 ∴CF是⊙O的切线; (2)解:∵AB是直径,CD是弦,且AB⊥CD, 1 ∴CE= CD=6, 2 ∵AB=20, ∴OC=10, ∴OE=√OC2−CE2=8, ∵∠OCF=∠OEC=90°,∠COE=∠FOC, ∴△OCE∽△OFC, OC OE ∴ = , OF OC 10 8 ∴ = , OF 10 25 ∴OF= , 2 25 9 ∴EF=OF−OE= −8= . 2 2 1.如图,四边形 内接于圆O, ,则 的度数是( ) A. B. C. D. 【答案】C 【分析】本题考查了圆周角定理,圆内接四边形的性质的应用,关键是求出 的度数和得出 . 根据圆周角定理求出 的度数,根据圆内接四边形的性质得出 ,代入求出即可. 【详解】解:∵ 对的圆周角是 ,圆心角是 , , ∴ , ∵A、B、C、D四点共圆, ∴ , 3关注公众号:陆陆高分冲刺 ~领取:最新版“小中高考-总复习”、最新试卷下载 ∴ , 故选:C. 2.如图,一个烧瓶底部呈球形,该球的半径为 ,瓶内截面圆中弦 的长为 ,则液体的最大深度 为( ) A. B. C. D. 【答案】C 【分析】本题考查了勾股定理,垂径定理的应用,熟练掌握勾股定理,垂径定理是解题的关键. 垂径定理可得 ,根据勾股定理求得 的长,进而即可求解. 【详解】解:依题意, , , 在 中, , ∴ , 故选:C. 3.如图, 为 的直径,点 为圆上一点,且 .现有以下操作:①以点 为圆心,适当长 为半径作弧,交 , 于点 , ;②分别以点 , 为圆心,大于 的长为半径作弧,两弧交于 点 ;③作射线 交 于点 .则 的大小为( ) A. B. C. D. 【答案】C 【分析】本题主要考查了圆周角定理的推论,尺规作角平分线等知识点,根据直角所对的圆周角是 得 出 的度数,再由 得出 的度数,最后根据所画射线为 的角平分线即可解决 问题,熟练掌握圆周角定理的推论,尺规作角平分线是解决此题的关键. 【详解】∵ 为 的直径, 4关注公众号:陆陆高分冲刺 ~领取:最新版“小中高考-总复习”、最新试卷下载 ∴ , 又∵ , ∴ , 根据作图步骤可知, 平分 , ∴ , ∴ , 故选:C. 4.如图,在 中, , ,D为 上的一个动点,以 为直径的圆O与 相切于 点B,交 于点E,则 的最小值为 . 【答案】 【分析】本题考查最短路径问题,圆的性质,勾股定理解直角三角形,正确作出辅助线,综合运用各个知 识,在变化中寻找不变的量是解题的关键.取 的中点F,连接 , , ,则 .由 与圆O相切,可得 ,通过解直角三角形可得 , .根 据 是圆O的直径,可得 是直角三角形,从而 ,因此 ,即 的最小值 为 . 【详解】取 的中点F,连接 , , ,则 ∵ 与圆O相切, ∴ ,即 , ∵ , , 5关注公众号:陆陆高分冲刺 ~领取:最新版“小中高考-总复习”、最新试卷下载 ∴ , . ∵点F是 的中点, ∴ , ∴在 中, . ∵ 是圆O的直径, ∴ , ∴ , ∵点F是 的中点, ∴ , ∴ ,即 的最小值为 . 故答案为: 5.如图, 是圆O的直径.C,D为圆O上两点,且 平分 ,连接 , ,若 , 则 的度数为 . 【答案】 /32度 【分析】本题考查了圆周角定理和角平分线的性质,熟练掌握圆周角定理是解题的关键.根据圆周角定理, , ,再由 平分 ,可得 ,,从而出 ,最后求得 . 【详解】解: , , 平分 , , 为 的直径, , , , 6关注公众号:陆陆高分冲刺 ~领取:最新版“小中高考-总复习”、最新试卷下载 . 故答案为: . 6.如图, 是直角三角形 的外接圆,直径 ,过C点作 的切线,与 延长线交于点D, M为 的中点,连接 , ,且 与 相交于点N. (1)求证: 与 相切; (2)当 时,在 的圆上取点F,使 ,补全图形,并求点F到直线 的距离. 【答案】(1)证明过程见详解; (2)点F到直线 的距离为: 或 . 【分析】本题主要考查了切线的判定,全等三角形的判定与性质,垂径定理,直径所对的圆周角是直角, 熟练掌握相关知识点是解题的关键. (1)根据题意得 ,根据直径所对的圆周角是直角得出 进而得出 ,证明 ,得出 即可得证; (2)分点 在 以及半圆 上分别作出图形,根据含 角的直角三角形的性质,勾股定理,即可求 解. 【详解】(1)证明:连接 , 为 的中点, 是 中点, , 是 的直径, , , , , , , 7关注公众号:陆陆高分冲刺 ~领取:最新版“小中高考-总复习”、最新试卷下载 , 是 切线, , , , 是 切线; (2)解:如图所示,当点 在 上时,连接 ,交 于点G, , , , , , 直径 , , , , ; 当点 在半圆 上时,过点 作 ,垂足为点 , ,垂足为点 , 四边形 是矩形, 在 中, , , , , , , , , 综上所述,点 到直线 的距离为: 或 . 8关注公众号:陆陆高分冲刺 ~领取:最新版“小中高考-总复习”、最新试卷下载 7.如图, 是 的直径, , 是 同侧圆上的两点,半径 交 于点 , . (1)求证: ; (2)若 ,求 的半径. 【答案】(1)见解析 (2)2 【分析】本题主要考查圆周角定理,弧、弦、圆心角的关系,平行线的性质以及勾股定理等知识: (1)连接 ,由垂径定理得 ,得出 ,可得结论; (2)由勾股定理可得结论. 【详解】(1)证明:连接 , 是 直径, , , , , , , , ∴ , ; (2)解: , , , 设 的半径为 ,则 , 在 中, ,即 , 9关注公众号:陆陆高分冲刺 ~领取:最新版“小中高考-总复习”、最新试卷下载 解得 或 (舍), 答: 的半径为2 8.如图,在 中, , 的平分线交 于点 ,点 在 上,以点 为圆心, 为 半径的圆恰好经过点 ,分别交 、 于点 、 . (1)试判断直线 与 的位置关系,并说明理由. (2)若 , ,求 的半径. 【答案】(1)相切,理由见详解 (2) 【分析】本题考查圆与直线的位置关系和勾股定理,解题的关键是掌握圆与直线的位置关系和勾股定理; (1)连接 ,由 得到 ,由 平分 得到 ,则 ,求出 ,进而得到 ,根据切线的判定得出即可; (2)根据勾股定理得出方程,求出方程的解即可. 【详解】(1)直线 与 的位置关系是相切, 理由是:连接 , , , 平分 , , , , , , 即 , 为半径, ∴线 与 的位置关系是相切; (2)解:设 的半径为 , 10关注公众号:陆陆高分冲刺 ~领取:最新版“小中高考-总复习”、最新试卷下载 则 , 在 中, 由勾股定理得: , 即 , 解得: , 即 的半径是 ; 模型02 圆与四边形结合的动态探究 考|向|预|测 特殊四边形与圆结合的动态探究模型该题型主要以解答题的形式出现,综合性较强,有一定难度,主要 考查对圆性质的理解与三角形或四边形综合知识的应用。实际题型中对数形结合的讨论是解题的关键。许 多问题的讨论中需要我们对四边形的判定和性质有清晰认识。 答|题|技|巧 1.圆的性质应用,根据专题1的解题思路进行求解; 2. 注意结合的四边形的形状,特殊平行四边形的性质与判定熟练应用; 3. 四边形的存在性问题注意假设、反推; 4. 数形结合进行分析、解答 1.如图,圆内接四边形 是 的直径, 交 于点 , . (1)求证:点 为 的中点; (2)若 ,求 . 【答案】(1)详见解析 (2)2 【分析】(1)利用垂径定理的推论证明即可. (2)利用垂径定理,勾股定理解答即可. 11关注公众号:陆陆高分冲刺 ~领取:最新版“小中高考-总复习”、最新试卷下载 本题考查了垂径定理,勾股定理,圆的性质,熟练掌握垂径定理,勾股定理是解题的关键. 【详解】(1)证明: 是 的直径, , ,即点 为 的中点. (2)解: 是 的直径, , , , , , , . 1.如图,四边形 是圆O的内接四边形, ,则 的度数是( ) A. B. C. D. 【答案】C 【分析】本题考查了圆内接四边形的性质的应用,根据圆内接四边形的性质得出 ,代入 求出即可. 【详解】解:∵四边形 是 的内接四边形, ∴ , ∵ , ∴ , 故选:C. 2.圆内接四边形 中, , 是对角线, ,则 的度数是( ) 12关注公众号:陆陆高分冲刺 ~领取:最新版“小中高考-总复习”、最新试卷下载 A. B. C. D. 【答案】C 【分析】本题考查了圆内接四边形的性质,三角形内角和定理,先由等边对等角得 , 再由三角形内角和定理得 ,再由圆内接四边形的性质得 . 【详解】解:∵ , , ∴ , ∴ , ∵ 是圆内接四边形, ∴ . 故选:C. 3.在⊙ 中,点 在圆上, ,则 为( ) A. B. C. D. 【答案】C 【分析】本题考查圆周角定理,圆内接四边形的性质,先由 得到平行四边形 , 得到 ,再由圆内接四边形得到 ,最后根据 求解即可. 【详解】解:∵ , ∴四边形 是平行四边形, ∴ , ∵四边形 是圆内接四边形, ∴ , ∵ , ∴ , 解得 , 13关注公众号:陆陆高分冲刺 ~领取:最新版“小中高考-总复习”、最新试卷下载 故选:C. 4.如图,四边形 是圆 的内接四边形, ,则 的度数为( ) A. B. C. D. 【答案】C 【分析】本题考查了圆内接四边形的性质.根据圆内接四边形的对角互补,列式计算即可. 【详解】解:∵四边形 为圆内接四边形, ∴ , ∵ , ∴ . 故选:C. 5.阅读下列材料,然后解答问题. 经过正四边形(即正方形)各顶点的圆叫做这个正四边形的外接圆,圆心是正四边形的对称中心,这个正 四边形叫做这个圆的内接正四边形. 如图,正方形 内接于 , 的面积为 ,正方形 的面积为 .以圆心 为顶点作 ,使 .将 绕点 旋转, 、 分别与 交于点 、 ,分别与正方形 的边交于点 、 .设由 、 、 及正方形 的边围成的图形(阴影部分)的面积为 . (1)当 经过点 (如图 )且 的半径为 时,求 的值(结果保留 ); (2)当 于 时(如图 ),求 、 、 之间的关系为: (用含 、 的代数式表示); (3)当 旋转到任意位置时(如图 ),则(2)中的结论仍然成立吗:请说明理由. 【答案】(1) (2) (3)成立,理由见解析 14关注公众号:陆陆高分冲刺 ~领取:最新版“小中高考-总复习”、最新试卷下载 【分析】(1)由正方形的性质可知 , ,则根据 计算即可得出答案; (2)由正方形的性质可知四边形 也是正方形,且其面积 ,则根据 即可得 出 、 、 之间的关系; (3)由 可得 ,过点 作 , ,垂足分别为 、 ,易证四边形 为正方形,于是可得 , ,利用 可证得 ,于 是可得 ,进而可得 ,易证 ,则 ,然后根 据 即可得出结论. 【详解】(1)解:当 经过点 时,由正方形的性质可知: , , ; (2)解:当 于 时,由正方形的性质可知: 四边形 也是正方形,且其面积 , , 故答案为: ; (3)解:(2)中的结论仍然成立,理由如下: , , 如图,过点 作 , ,垂足分别为 、 , 易证四边形 为正方形, , , , , 15关注公众号:陆陆高分冲刺 ~领取:最新版“小中高考-总复习”、最新试卷下载 , , , 在 和 中, , , , , 易证 , , . 6.定义:对角线互相垂直的圆内接四边形叫做圆的“闪亮四边形”. (1)若 是圆的“闪亮四边形”,则 是 (填序号); ①矩形;②菱形;③正方形 (2)如图1,已知 的半径为 于点E,四边形 是 的“闪亮四边形”. ①求证: ②求证: (3)如图2,四边形 为 的“闪亮四边形”, 相交于点 , ,求 的半径为R 【答案】(1)③ (2)①见解析;②见解析 16关注公众号:陆陆高分冲刺 ~领取:最新版“小中高考-总复习”、最新试卷下载 (3) 【分析】(1)根据“闪亮四边形”的定义结合平行四边形的性质即可解答; (2)①连接 并延长交 于点F,分别连接 , , , ,利用垂径定理证明 是 的 中位线,推出 ,再根据圆周角定理结合“闪亮四边形”的定义,推出 ,进而推 出 , ,得到 ,最后 ,即可得出结论;②过点O作 于点G, 是等腰三角形,再证明 ,推出 ,再根据四边形 是 的内接四边形,得到 ,进而求出, ,利用勾股定理即可证 明; (3)同理(2)②可得 ,由圆周角定理推出 ,得到 ,再根据四边 形 为 的“闪亮四边形”,结合 ,利用勾股定理可求出 ,求出 ,再利用勾股定理求出 ,由(2)②可得 ,利用勾股定 理即可求解. 【详解】(1)解:∵ 中, , ∴ , ∴ , ∵ 是圆内接四边形, ∴ , ∴ , ∴ 是矩形, ∵ 圆的“闪亮四边形”, ∴ , ∴ 是菱形, ∵ 是矩形, ∴ 是正方形, 故答案为:③; (2)①证明∶连接 并延长交 于点F,分别连接 , , , , 17关注公众号:陆陆高分冲刺 ~领取:最新版“小中高考-总复习”、最新试卷下载 ∵ , ∴ , ∴点 是 的中点, ∵点 是 的中点, ∴ 是 的中位线, ∴ , ∵ , ∴ , ∵ 是 的直径, ∴ , ∴ , ∵四边形 是“闪亮四边形”, ∴ , ∴ , ∴ , ∵ , ∴ , ∴ , ∵ , ∴ , ∴ , ∴ , ∴ ; ②过点O作 于点G, 18关注公众号:陆陆高分冲刺 ~领取:最新版“小中高考-总复习”、最新试卷下载 由①知 , ∴ , ∵ , ∴ 是等腰三角形, ∴ , ∵ , ∴ , ∵ , , ∴ , ∴ , ∴ , ∵四边形 是 的内接四边形, ∴ , ∴ , ∴ , ∴ , ∴ ; (3)解:同理(2)②可得 , ∴ , ∴ , ∴ , ∵四边形 为 的“闪亮四边形”, , ∴ , , ∴ (负值舍去), ∵ , 19关注公众号:陆陆高分冲刺 ~领取:最新版“小中高考-总复习”、最新试卷下载 ∴ , ∴ , ∴ (负值舍去), 由(2)②可得 , ∴ , ∴ (负值舍去). 7.定义:若圆内接三角形是等腰三角形,我们就称这样的三角形为“圆等三角形”. (1)如图1, 是 的一条弦(非直径),若在 上找一点 ,使得 是“圆等三角形”,则这样 的点 能找到__________个. (2)如图2,四边形 是 的内接四边形,连结对角线 , 和 均为“圆等三角形”, 且 . ①当 时,求 度数. ②如图3,当 , 时,求阴影部分的面积. 【答案】(1)4 (2)① 或 或 ;②阴影部分面积为: 【分析】(1)过 作直线 的垂线交 于 , ,分别以 和 为圆心, 为半径作弧与圆的交点 就是所求的点; (2)①根据圆内接四边形的性质得到 ,当 时,当 时,当 时,根据等腰三角形的性质即可得到结论;②)根据圆内接四边形的性质得到 推出 是等 边三角形,得到 .连接 .根据圆周角定理得到 , ,求得 , ,根据等边三角形的性质得到 ,根据扇形和三角形的面积公式即可得到结论. 【详解】(1)解:过 作直线 的垂线交 于 , ,分别以 和 为圆心, 为半径作弧与圆的 交点就是所求的点;如图所示: 20关注公众号:陆陆高分冲刺 ~领取:最新版“小中高考-总复习”、最新试卷下载 满足条件的点C共有4个, 故答案为:4; (2)解∶① , , 为“圆等三角形, 当 时, , , 当 时, , 当 时, , 综上所述: 的度数为 或 或 ; ② , , 为“圆等三角形”, 是等边三角形, , 连接 , ,交 于 , , , , , , , , 共线, 21关注公众号:陆陆高分冲刺 ~领取:最新版“小中高考-总复习”、最新试卷下载 , 与 是等边三角形, , , 阴影部分的面积 扇形 的面积 的面积 . 模型03 情景与应用题型 考|向|预|测 圆结合的情景与应用模型近年在中考数学和各地的模拟考中常以压轴题的形式考查,学生不易得满分。 该题型主要以解答题的形式出现,一般较为靠后,有一定难度。该题型通常和我们的日常生活中所接触的 事物或者生活现象紧密结合,需要同学们有较强的阅读和理解题意的能力,同时还要有一定的知识储备。 在解题时要根据题意把转化为我们所学习的圆的相关知识应用。 答|题|技|巧 1.理解题意,联系圆的相关知识点; 2. 圆的相关证明与判定依据模型1的思路总结; 3. 利用四边形、圆、直角三角形或相似的相关知识点解题; 1.利用素材解决:《桥梁的设计》 某地欲修建一座拱桥,桥的底部两端间的水面宽 称跨度,桥面最高点到 的距离 问 称拱高,拱桥的轮廓可以设计成是圆弧型或抛物线型,若修建拱桥的跨度 米,拱高 题 米. 驱 动 方案一:圆弧型 方案二:抛物线型 图 形 22关注公众号:陆陆高分冲刺 ~领取:最新版“小中高考-总复习”、最新试卷下载 (1)如图,我们通过尺规作图作 所在圆的圆 心 ,得出结论:不在同一条直线上的______个 点确定一个圆. (2)求 所在圆的半径. (3)以 所在直线为 轴, 的垂直平分 任 线为 轴建立平面直角坐标系,求此桥拱的函 务 数表达式. 【答案】(1)3;(2) 所在圆的半径为20米;(3)函数解析式为 【分析】(1)根据线段 垂直平分线交点得到圆心,即可求解; (2)根据题意, 米, 米, ,如图所示,连接 ,设 ,则 (米),在 中,由勾股定理即可求解; (3)根据题意可得 ,设二次函数解析式为 ,把点 代入, 运用待定系数法即可求解. 【详解】解:(1)根据题意,线段 垂直平分线交点得到圆心, ∴不在同一条直线上的 个点确定一个圆, 故答案为: ; (2)根据题意, 米, 米, , 如图所示,连接 , 23关注公众号:陆陆高分冲刺 ~领取:最新版“小中高考-总复习”、最新试卷下载 ∴ , 设 ,则 (米), ∴在 中, , ∴ , 解得, , ∴ 所在圆的半径是 米; (3)以 所在直线为 轴, 的垂直平分线为 轴建立平面直角坐标系, ∴ , 设二次函数解析式为 ,把点 代入得, , 解得, , ∴二次函数解析式为 , ∴函数解析式为 . 1.在学习圆的相关知识后,小帅同学进行了关于弦切角的相关探索(弦切角定义:顶点在圆上,一边与 圆相交,另一边与圆相切的角;如图,直线 与 相切于点I, 是 的一条弦,则 就是弦切 角),发现弦切角的大小与它所夹弧所对的圆周角度数相关.请根据这个思路完成以下作图和填空. (1)尺规作图:已知 是 的直径,延长 ,过点B作 的切线 ;(M在点B 左侧,N在点B右 侧.保留作图痕迹,不写作法) (2)如图C、D是圆上两点,在(1)的条件下, 为弦切角,求证: . 证明:连接 . 是 的直径, ① . 24关注公众号:陆陆高分冲刺 ~领取:最新版“小中高考-总复习”、最新试卷下载 是过点B的切线, ② . 即 , 又 和 是弧 所对的圆周角 ③ . . 由此,我们可以得到弦切角的结论:弦切角 ④ 它所夹弧所对的圆周角.(横线上填:“大于”或“等 于”或“小于”) 【答案】(1)见解析 (2) ; ; ;它所夹的弧所对的圆周角 【分析】( )以 为圆心,任意长度为半径画弧,交 于点 ,以 为圆心,大于 长度 为半径画弧,两弧交于点 ,作直线 即可; ( )连接 ,由 是 的直径,得 ;又 是过点 的切线,则 ,即 ,故有 ,又 ,则 ,从而得出结论; 【详解】(1)解:如图, 以 为圆心,任意长度为半径画弧,交 于点 ; 以 为圆心,大于 长度为半径画弧,两弧交于点 ; 作直线 ; ∴ 即为所求; (2)证明:连接 , 25关注公众号:陆陆高分冲刺 ~领取:最新版“小中高考-总复习”、最新试卷下载 ∵ 是 的直径, ∴ ; ∵ 是过点 的切线, ∴ ,即 , ∴ , ∵ , ∴ , 又∵ 和 是弧 所对的圆周角, ∴ , ∴ , 由此,我们可以得到弦切角的结论:弦切角等于它所夹的弧所对的圆周角. 故答案为: ; ; ;它所夹的弧所对的圆周角. 2.“求知”学习小组在学完“圆内接四边形的对角互补”这个结论后进行了如下的探究活动: (1)如图1,点 在 上,点 在 外,线段 与 交于点 ,试猜想 (请填“ ”、“ ”或“ ”); (2)如图2,点 在 上、点 在 内,此时(1)中猜想的结论还成立吗?若成立,请予以证明; 若不成立,请写出你的结论并予以证明; 【答案】(1) (2)不成立, ,证明见解析 【分析】本题考查了圆内接四边形,三角形外角的性质,作辅助线构造圆内接四边形,掌握圆内接四边形 的对角互补是解题关键. (1)连接 ,根据圆内接四边形的对角互补,得到 ,再根据三角形外角的性质,得到 ,即可得到答案; (2)延长 交圆 于点 ,连接 ,根据圆内接四边形的对角互补,得到 ,再根据三 角形外角的性质,得到 ,即可得到答案. 【详解】(1)解:如图,连接 , 四边形 是圆内接四边形, , 是 的外角, 26关注公众号:陆陆高分冲刺 ~领取:最新版“小中高考-总复习”、最新试卷下载 , , 故答案为: ; (2)解:结论不成立, ,证明如下: 如图,延长 交圆 于点 ,连接 , 四边形 是圆内接四边形, , 是 的外角, , . 3.阅读与思考 直线与圆的位置关系学完后,圆的切线的特殊性引起了小王的重视,下面是他的数学笔 记,请仔细阅读并完成相应的任务. 欧几里得最早在《几何原本》中,把切线定义为和圆相交,但恰好只有一个交点的直 线.切线:几何上,切线指的是一条刚好触碰到曲线上某一点的直线.平面几何中,将 和圆只有一个公共交点的直线叫做圆的切线… 证明切线的常用方法:①定义法;②距离法(运用圆心到直线的距离等于半径);③利 用切线的判定定理来证明. 添加辅助线常见方法:见切点连圆心,没有切点作垂直. 图1是古代的“石磨”,其原理是在磨盘的边缘连接一个固定长度的“连杆”,推动 “连杆”然后带动磨盘转动,将粮食磨碎,物理学上称这种动力传输工具为“曲柄连杆 机构”.图2是一个“双连杆”,两个固定长度的“连杆” , 的连接点P在 上, ,垂足为O,当点P在 上转动时,带动点A,B分别在射线 , 27关注公众号:陆陆高分冲刺 ~领取:最新版“小中高考-总复习”、最新试卷下载 上滑动,当点B恰好落在 上时, ,请判断此时 与 的位 置关系并说明理由. 小王的解题思路如下: 与 相 切. 理由:连接 . ∵点B恰好落在 上, .(依据1) , . , , . ,(依据2) , ∴ 与 相切. 任务: (1)依据1:_____________________________. 依据2:________________________________. (2)在图2中, 的半径为6, ,求 的长. 【答案】(1)同弧所对的圆周角等于圆心角的一半;三角形的内角和等于 (2) 【分析】(1)结合圆周角定理及三角形内角和定理求出 ,根据切线的判定定理即可得解; (2)过点 作 于点 ,根据直角三角形的性质及角的和差求出 ,根据“两角对 应相等的两个三角形相似”求出 ,根据相似三角形的性质求出 ,结合勾股 28关注公众号:陆陆高分冲刺 ~领取:最新版“小中高考-总复习”、最新试卷下载 定理及比例的性质求出 , , ,再根据勾股定理求解即可. 【详解】(1)解:(1)如图2,连接 . 点 恰好落在 上, (同弧所对的圆周角等于圆心角的一半), , . , , . (三角形内角和是 , , 与 相切. 故答案为:同弧所对的圆周角等于圆心角的一半;三角形内角和是 ; (2)解:如图2,过点 作 于点 , , 与 相切, , , , , , , , , , , , 29关注公众号:陆陆高分冲刺 ~领取:最新版“小中高考-总复习”、最新试卷下载 , , , . 4.如图1是一张乒乓球桌,其侧面简化结构如图2所示,台面 (台面厚度忽略不计)与地面 平行,且高度为 (台面 与地面之间的距离),直线型支架 与 的上端E,F与台面 下方 相连, 与 的下端P,Q与直径为 的脚轮(侧面是圆)相连(衔接之间的距离忽略不计),直线 型支架 与 的上端C,D与台面 下方相连,下端G,H与 , 相连,圆弧形支架 分别与 , 在点G,H相连,且 ,已知 , , (1)求: 的长度 (2)当 所在的圆经过点P、Q时,求: 所在的圆的圆心到台面 之间的距离 【答案】(1) (2) 【分析】本题考查垂径定理及解直角三角形的应用,理解和灵活运用垂径定理,并能够熟练地解直角三角 形是解答本题的关键. (1)过点 ,交 于点M.连接 .根据已知条件求出 、 ,由勾股定理计算 的长 度; (2)设点O为 所在圆的圆心.连接 、 、 、 ,过点O作OK⊥GH,交GH于点K,交PQ 于点N.由垂径定理求得 、 ,由勾股定理和半径相等列方程,求出 ,进而求出圆心到 的距 离. 【详解】(1)解:过点G作 ,交 于点M.连接 . 30关注公众号:陆陆高分冲刺 ~领取:最新版“小中高考-总复习”、最新试卷下载 由题意可得: , , ∴ . 又∵ , ∴ , ∵ , , ∴ , ∴ , , ∴ . (2)解:设点O为 所在圆的圆心.连接 、 、 、 ,过点O作OK⊥GH,交GH于点K, 交PQ于点N. 由垂径定理,得 , ∴ . ∴ . ∵ , ,且 , ∴ , ∴ ,即 , 31关注公众号:陆陆高分冲刺 ~领取:最新版“小中高考-总复习”、最新试卷下载 解得 . ∴ . ∴ 所在的圆的圆心到台面 之间的距离为 . 模型04 隐圆问题 考|向|预|测 隐圆问题主要出现在压轴题型中,一般是填空题的最后一道或者多可能问题中出现,属于动点模型问题。 想要解决此类问题需要解决此类问题,需要真正理解圆的定义及性质,根据圆的定义与性质判定动点移动 的轨迹。 答|题|技|巧 隐圆问题一般有以下几种表现形式: (1)根据圆的定义判定,动点在移动的过程中到某一定点的距离始终不变; (2)等弦对等角,一般考试中出现直角不变型的情况居多; (3)四点共圆型,利用圆内接四边形的性质,对角互补; 模型01 定义型 点A为定点,点B为动点,且AB长度固定,则点B的轨迹是以点A为圆心,AB长为半径的圆。 模型02 直径所对的角为直角(直角模型) 一条定边所对的角始终为直角,则直角顶点轨迹是以定边为直径的圆或圆弧; 如图,若P为动点,AB为定值,∠APB=90°,则动点P是以AB为直径的圆或圆弧。 P P P A B O 模型03 等弦对等角模型 一条定边所对的角始终为定角,则定角顶点轨迹是圆弧. 32关注公众号:陆陆高分冲刺 ~领取:最新版“小中高考-总复习”、最新试卷下载 如图,若P为动点,AB为定值,∠APB为定值,则 P P P A B 1.如图,在△ABC中, , , ,点D在AC边上,且 ,动点P 在BC边上,将△PDC沿直线PD翻折,点C的对应点为E,则△AEB面积的最小值是( ) A. B. C.2 D. 【答案】A 【详解】解:如下图所示,连接BD,作点C关于BD的对称点N,以点D为圆心,以DC为半径作 , 过点D作DM⊥AB于M,交 于Q. ∵ , , ,DM⊥AB于M,∴∠AMD=∠ACB, . ∵∠MAD=∠CAB,AD=2,∴ ,DC=AC-AD=1. ∴ ,DQ=DC=1.∴ .∴ . ∵动点P在BC边上,△PDC沿直线PD翻折,点C的对应点为E, ∴DE=DC=DN.∴点E在 上移动. 33关注公众号:陆陆高分冲刺 ~领取:最新版“小中高考-总复习”、最新试卷下载 ∴当点E与点Q重合时,点E到AB的距离最短为QM. ∴△AEB面积的最小值为 . 故选:A. 1.如图,在正方形ABCD中, ,E为边AB上一点,F为边BC上一点.连接DE和AF交于点G, 连接BG.若 ,则BG的最小值为__________. 【答案】 . 【详解】解:∵四边形ABCD是正方形,∴∠ABC-∠DAE,AD=AB, ∵AE=BF∴△DEA≌△AFB, ∴∠DAF+∠BAF=∠DAB=90°, ∠ADE+∠DAF=90° ∴∠DGA=90°∴点G在以AD为直径的圆上移动,连接OB,OG,如图: ∴ 在Rt△AOB中,∠OAB=90°∴OB= ∵ ∴当且公当O,G,B三点共线时BG取得最小值. ∴BG的最小值为: . 2.如图,四边形 为矩形, , .点P是线段 上一动点,点M为线段 上一点. ,则 的最小值为( ) 34关注公众号:陆陆高分冲刺 ~领取:最新版“小中高考-总复习”、最新试卷下载 A. B. C. D. 【答案】D 【详解】设AD的中点为O,以O点为圆心,AO为半径画圆 ∵四边形 为矩形 ∴ ∵ ∴ ∴ ∴点M在O点为圆心,以AO为半径的圆上 连接OB交圆O与点N ∵点B为圆O外一点 ∴当直线BM过圆心O时,BM最短 ∵ , ∴ ∴ ∵ 故选:D. 3.如图,菱形ABCD边长为4,∠A=60°,M是AD边的中点,N是AB边上一动点,将△AMN沿MN所在 的直线翻折得到△A′MN,连接A′C,则A′C的最小值是( ) 35关注公众号:陆陆高分冲刺 ~领取:最新版“小中高考-总复习”、最新试卷下载 A.2 B. +1 C.2 ﹣2 D.3 【答案】C 【详解】解:如图所示,∵MA′是定值,A′C长度取最小值时,即A′在MC上. 过点M作MH⊥DC于点H, ∵在边长为4的菱形ABCD中,∠MAN=60°,M为AD的中点, ∴2MD=AD=CD=4,∠HDM=∠MAN=60°, ∴MD=2,∠HMD=30°, ∴HD= MD=1, ∴HM= = ,CH=CD+DH=5, ∴ , ∴A′C=MC-MA′=2 -2; 故选:C. 4.如图,在Rt△ABC中,∠ACB=90°,点E在AC上,以CE为直径的⊙O经过AB上的点D,与OB交 于点F,且BD=BC. (1)求证:AB是⊙O的切线; (2)若AD=√3,AE=1,求C´F的长. 36关注公众号:陆陆高分冲刺 ~领取:最新版“小中高考-总复习”、最新试卷下载 【答案】(1)证明见解析; π (2) . 3 【分析】(1)连接OD,可得△ODB≌△OCB(SSS),得到∠ODB=∠OCB=90°,即得OD⊥AB,即 可求证; (2)设⊙O的半径为r,则OA=r+1,在Rt△OAD中由勾股定理得(r+1) 2=(√3) 2+r2,可得r=1,即得 AD tan∠AOD= =√3,得到∠AOD=60°,进而得到∠BOD=∠BOC=60°,最后利用弧长公式即可 OD 求解. 【详解】(1)证明:连接OD,则OD=OC, ∵BD=BC OB=OB , , ∴△ODB≌△OCB(SSS), ∴∠ODB=∠OCB=90°, ∴OD⊥AB. ∵ OD是⊙O的半径, ∴ AB是⊙O的切线; (2)解:设⊙O的半径为r,则OA=r+1, ∵∠ODB=90°, ∴∠ODA=180°−90°=90°, 在Rt△OAD中,OA2=AD2+OD2, ∴(r+1) 2=(√3) 2+r2, 解得r=1, AD ∴tan∠AOD= =√3, OD ∴∠AOD=60°, ∴∠DOC=120° ∵△ODB≌△OCB, ∴∠BOD=∠BOC=60°, 60×π×1 π ∴C´F的长为 = . 180 3 【点睛】本题考查了全等三角形的判定和性质,切线的判定,勾股定理,三角函数及弧长公式,求出 37关注公众号:陆陆高分冲刺 ~领取:最新版“小中高考-总复习”、最新试卷下载 ∠BOD=∠BOC=60°是解题的关键. 1.(2023·山西)如图,△ABC中,∠C=90°,∠BAC=30°,AB=2,点P从C点出发,沿CB运动到点 B停止,过点B作射线AP的垂线,垂足为Q,点Q运动的路径长为( ) A. B. C. D. 【答案】D 【详解】解:∵AQ⊥BQ, ∴点Q在以AB为直径的 O上运动,运动路径为 ,连接OC, ⊙ ∵∠ACB=90°,OA=OB, ∴CO=OA=1, ∴∠COB=2∠CAB=60°, ∴ 的长为 , 故选:D. 2.(2023·广州)如图,等边三角形ABC和等边三角形ADE,点N,点M分别为BC,DE的中点,AB= 6,AD=4,△ADE绕点A旋转过程中,MN的最大值为 . 38关注公众号:陆陆高分冲刺 ~领取:最新版“小中高考-总复习”、最新试卷下载 【答案】 【详解】解:连接AN,AM,以AM为半径,点A为圆心作圆,反向延长AN与圆交于点M′,如图, ∵△ADE绕点A旋转, ∴点M是在以AM为半径,点A为圆心的圆上运动, ∵AM+AN≥MN, ∴当点M旋转到M′,即M、A、N三点共线时,MN的值最大,最大为M′N, ∵△ABC和△ADE都是等边三角形, 点N,点M分别为BC,DE的中点,AB=6,AD=4, ∴AN⊥BC,AM⊥DE,BN=3,DM=2, 在Rt△ABN中,由勾股定理得 , 在Rt△ADM中,由勾股定理得 , 根据旋转的性质得,AM′=AM= , ∴M′N=AN+AM′= ,即MN的最大值为 . 故答案为: . 3.(2024·云南)如图,“筒车”盛水筒的运行轨迹是以轴心 为圆心的圆,已知圆心 在水面上方,且 当圆被水面截得的弦 为6米时,圆心到水面 的距离为4米,则该圆在水面下的最深处到水面的距离 为 米. 39关注公众号:陆陆高分冲刺 ~领取:最新版“小中高考-总复习”、最新试卷下载 【答案】1 【分析】本题考查垂径定理和勾股定理等知识,解题的关键是学会添加常用辅助线,构造直角三角形解决 问题.如图,作 于点E,交⊙O于点D,设圆的半径为r米,利用勾股定理构建求解即可. 【详解】解:如图,过点O作 交 于点E, 交⊙O于点D,如图, ∵ , ∴ 米, 根据题意得: 米, 设圆的半径为r米, ∵ , ∴ (米), ∵圆心到水面 的距离为4米, ∴ (米), ∴该圆在水面下的最深处到水面的距离为为1米, 故答案为:1. 4.(2023·贵州)如图,在 中, , ,D为 上的一个动点,以 为直径的圆 O与 相切于点B,交 于点E,则 的最小值为 . 【答案】 【分析】本题考查最短路径问题,圆的性质,勾股定理解直角三角形,正确作出辅助线,综合运用各个知 40关注公众号:陆陆高分冲刺 ~领取:最新版“小中高考-总复习”、最新试卷下载 识,在变化中寻找不变的量是解题的关键.取 的中点F,连接 , , ,则 .由 与圆O相切,可得 ,通过解直角三角形可得 , .根 据 是圆O的直径,可得 是直角三角形,从而 ,因此 ,即 的最小值 为 . 【详解】取 的中点F,连接 , , ,则 ∵ 与圆O相切, ∴ ,即 , ∵ , , ∴ , . ∵点F是 的中点, ∴ , ∴在 中, . ∵ 是圆O的直径, ∴ , ∴ , ∵点F是 的中点, ∴ , ∴ ,即 的最小值为 . 故答案为: 5.(2024·青海)如图,直线AB经过点C,且OA=OB,CA=CB. 41关注公众号:陆陆高分冲刺 ~领取:最新版“小中高考-总复习”、最新试卷下载 (1)求证:直线AB是⊙O的切线; (2)若圆的半径为4,∠B=30°,求阴影部分的面积. 【答案】(1)详见解析 8π (2)S =8√3− 阴影 3 【分析】本题考查了切线的判定和性质、直角三角形的性质和勾股定理、扇形面积的计算等知识,解题的 关键是掌握切线的判定与性质. (1)利用等腰三角形的性质证得OC⊥AB,利用切线的判定定理即可得到答案; (2)在Rt△OCB中,利用直角三角形的性质和勾股定理求得OB=8,BC=4√3,再根据 S =S −S ,计算即可求解. 阴影 △OCB 扇形OCD 【详解】(1)证明:连接OC, ∵在△OAB中,OA=OB,CA=CB, ∴OC⊥AB, 又∵OC是⊙O的半径, ∴直线AB是⊙O的切线; (2)解:由(1)知∠OCB=90°, ∵∠B=30°, ∴∠COB=90°−30°=60°, 60π⋅42 8π ∴S = = , 扇形OCD 360 3 在Rt△OCB中,∠B=30°,OC=4, ∴OB=8, 42关注公众号:陆陆高分冲刺 ~领取:最新版“小中高考-总复习”、最新试卷下载 ∴BC=√OB2−OC2=√82−42=4√3, 1 1 ∴S = ⋅BC⋅OC= ×4√3×4=8√3, △OCB 2 2 8π S =S −S =8√3− . 阴影 △OCB 扇形OCD 3 1.一次折纸实践活动中,小明同学准备了一张边长为4(单位: )的正方形纸片 ,他在边 和 上分别取点 和点 ,使 , ,又在线段 上任取一点 (点 可与端点重合), 再将 沿 所在直线折叠得到 ,随后连接 ,小明同学通过多次实践得到以下结论: ①当点 在线段 上运动时,点 在以 为圆心的圆弧上运动; ② 的最大值为4; ③ 的最小值为 ; ④当 到 的距离达到最大值时, . 你认为小明同学得到的结论中正确结论的序号是 . 【答案】①②③④ 【分析】由折叠的性质可知, ,那么当点 在线段 上运动时,点 在以 为圆心的圆弧 上运动.故①正确;连接 ,在 中,由勾股定理得 ,而 ,故 ,那么 的最小值为 .故③正确;在 中, , ,那么当点 在 右侧圆上时, 随着 的增大而增大,可得 ,故当 最大时, 有最大值, 有最大值,此时,点N与点D重合, 此时 ,故②正确;当 时, 到 的距离达到最大值, 此时四边形 为矩形,则 ,即可求解 . 【详解】解:∵正方形纸片 的边长为 , ∴ , 由折叠的性质可知, , ∴当点 在线段 上运动时,点 在以 为圆心的圆弧上运动.故①正确. 连接 , 43关注公众号:陆陆高分冲刺 ~领取:最新版“小中高考-总复习”、最新试卷下载 ∵在正方形 中, , , , ∴在 中, ∵ , ∴ , ∴ 的最小值为 .故③正确; 在 中, , , ∴当点 在 右侧圆上时, 随着 的增大而增大, ∵ , ∴当 最大时, 有最大值, 有最大值,此时,点N与点D重合, ∴此时 ,故②正确; 当 时, 到 的距离达到最大值,如图: 此时 , ∴四边形 为矩形, ∴ , ∵ , ∴ ,故④正确, 综上,正确的有①②③④, 故答案为:①②③④. 2.如图,在每个小正方形的边长为1的网格中,圆上的点 , , 均在格点上. 44关注公众号:陆陆高分冲刺 ~领取:最新版“小中高考-总复习”、最新试卷下载 (1)线段 的长等于 ; (2)请用无刻度的直尺,在如图所示的网格中,画出圆心 ,并简要说明点 的位置是如何找到的(不 要求证明) . 【答案】 分别取格点 、 ,再连接 、 分别与圆交于点 、 ,最后连接 、 交于点 ,点 即为所求 【分析】本题考查了作图,圆周角定理,勾股定理,掌握相关知识是解题的关键. (1)利用勾股定理求解即可; (2)利用直径所对的圆周角是直角,分别取格点 、 ,再连接 、 分别与圆交于点 、 ,得到 ,最后连接 、 交于点 ,点 即为所求. 【详解】解:(1) , 故答案为: ; (2)分别取格点 、 ,再连接 、 分别与圆交于点 、 ,最后连接 、 交于点 ,点 即 为所求. 3.已知以 为直径的圆O,C为 弧的中点,P为 弧上任意一点, 交 于D,连接 , 若 , 的最小值为 . 【答案】 / 【分析】本题考查了圆外一点到圆上一点的最小距离的典型线段最值问题,圆的基本性质,勾股定理,等 45关注公众号:陆陆高分冲刺 ~领取:最新版“小中高考-总复习”、最新试卷下载 腰三角形的性质等,找出动点的运动轨迹是解题的关键.以 为斜边作等腰 ,则 , 连接 ,可求 ,可得点D的运动轨迹为以Q为圆心, 为半径的 ,当B、D、 Q三点共线时, 最小, ,由 , ,即可求解. 【详解】解:如图所示,以 为斜边作等腰 ,则 ,连接 , , . ∴ , ∵ 的直径为 ,C为 的中点, ∴ , ∴ , ∴ , ∴ , ∴ , ∴ , ∴ , 又∵ , ∴ , ∴ , ∴ , ∴点D的运动轨迹为以Q为圆心, 为半径的 , ∴当B、D、Q三点共线时, 最小, , ∵ , ∴ , ∴ ; ∴ 的最小值为 . 故答案为: . 4. 中, 为直径,点C为圆上一点,将劣弧 沿 翻折交 于点D,连接 . 46关注公众号:陆陆高分冲刺 ~领取:最新版“小中高考-总复习”、最新试卷下载 (1)如图1,若点D与圆心O重合, ,则 的半径 ______,弧 的长=______. (2)如图2,若点D与圆心O不重合, , ______. (3)如图3,若点D与圆心O不重合, ,求 的长. 【答案】(1) , ; (2) (3) 【分析】本题主要考查了圆的综合应用、折叠的性质、勾股定理、特殊角的三角函数值等知识点,正确作 出辅助线是解题的关键. (1)如图1:过点O作 于E,由垂径定理可得到 的长,由折叠的性质可得 ,根据勾 股定理计算即可求得半径r,然后运用三角函数求得 ,再运用弧长公式求解即可; (2)如图2:连接 ,根据翻折的性质弧 所对的圆周角为 ,弧 所对的圆周角为 ,在 根据角的和差求解即可; (3)如图3:过C作 于G,连接 、 ,可求得半径的长度,根据计算得 ,再根据勾股定理求解即可. 【详解】(1)解:如图1,过点O作 于E,则 , ∵翻折后点D与圆心O重合, ∴ , 47关注公众号:陆陆高分冲刺 ~领取:最新版“小中高考-总复习”、最新试卷下载 在 中, ,即 ,解得 ; ∴ ,即 , ∵ , ∴ , ∴弧 的长为 . (2)解:如图2,连接 , ∵ 是直径, ∴ , ∵ , ∴ , 根据翻折的性质,弧 所对的圆周角为 ,弧 所对的圆周角为 , ∴ , ∴ , ∴ . (3)解:如图3:过C作 于G,连接 、 , ∵ , ∴ 的半径为 , 由(2)知: , 48关注公众号:陆陆高分冲刺 ~领取:最新版“小中高考-总复习”、最新试卷下载 ∵ , ∴ , ∴ , ∴ , ∴ 在 中, , 在 中, . 5.小静所在的数学兴趣小组剪了一张圆形纸片,并将直角三角板( )的 锐角的顶点放在圆上 的点 处,进行如下实践探究活动. (1)如图①,小静将直角三角板的直角顶点 放在圆形纸片上,请你利用尺规作出圆形纸片的圆心 .(保 留作图痕迹,不写作法) (2)小亮将直角三角板摆放成如图②所示的情形,其中边 , 分别与 交于点 , ,连接 ,若 的半径为2,求 的长. 【答案】(1)图见解析 (2) 【分析】本题考查尺规作图—作垂线,圆周角定理,垂径定理,含30度角的直角三角形的性质: (1)根据直径所对的圆周角为直角,连接点 和 与圆的交点,作该线段的中垂线,即可得到圆心O; (2)连接 ,过点O作 于点G,圆周角定理,得到 ,垂径定理结合直 角三角形的性质进行求解即可. 【详解】(1)【小问1详解】 解:如图,点O即为所求. 49关注公众号:陆陆高分冲刺 ~领取:最新版“小中高考-总复习”、最新试卷下载 (2)如图,连接 , 则 , 过点O作 于点G, 则 , , ∴ ∴ , ∴ . 6.在一次数学探究性学习活动中,某学习小组进行以下的探究操作.如图 ,在一个边长为 的正方形 中,点 是边 上的一个动点,将 沿 翻折到 ,他们想要探究 点的运动情况: 由折叠的性质,线段 的长度不变,即 ,因此点 的对应点 在一个以 为圆心,以 的长度 为半径的圆弧上运动. (1)当 时,因为 的圆周角所对的弦是直径,可以认为点 在以 为直径的圆上,在图 中 50关注公众号:陆陆高分冲刺 ~领取:最新版“小中高考-总复习”、最新试卷下载 用直尺和圆规确定点 、 的位置,保留作图痕迹,不写作法; (2)在(1)的条件下,利用图 求 的长;(不要破坏图 尺规作图痕迹) (3)当 为等腰三角形时,请利用备用图探究并直接写出线段 的长:_______. 【答案】(1)作图见解析 (2) (3) 或 【分析】(1)以点 为圆心,以 为半径画 ,作 的垂直平分线 , 交 于点 ,以点 为圆心 为半径画 ,交 于点 ,分别以点 、 为圆心以大于 为半径画弧交于点 ,连接 交 于点 ,连接 、 、 即可; (2)过点 作 于点 ,交 于点 ,过点 作 于点 ,由 得 , 进而可得 , ,根据三角形面积公式可得 , 进而得出 ,证明 得 ,求得 , ,设 , 由翻折得 ,则 ,再利用勾股定理建立方程求解即可得出答案; (3)根据等腰三角形性质分三种情况:当 时,当 时,当 时,分类讨论即 可求得答案. 【详解】(1)解:以点 为圆心,以 为半径画 ,作 的垂直平分线 , 交 于点 ,以 点 为圆心 为半径画 交 于点 ,分别以点 、 为圆心以大于 为半径画弧交于点 ,连 接 交 于点 ,连接 、 、 、 , ∵四边形 是正方形, ∴ , , ∵ 在 上, ∴ ,即点 在 的垂直平分线上, 51关注公众号:陆陆高分冲刺 ~领取:最新版“小中高考-总复习”、最新试卷下载 ∵点 到点 、 两点的距离相等,即点 在 的垂直平分线上, ∴ 垂直平分线 , ∴ , 在 和 中, , ∴ , ∴ , ∴将 沿 翻折到 , ∵ 是 的直径, ∴ , ∴点 、 即为所作; (2)如图,过点 作 于点 ,交 于点 ,过点 作 于点 , ∵四边形 是正方形且边长为 , ∴ , , ∵将 沿 翻折到 , ∴ , , ∴ , ∵ , ∴ , , ∵ , ∴ , ∴ , ∴ ,即 , ∴ , 52关注公众号:陆陆高分冲刺 ~领取:最新版“小中高考-总复习”、最新试卷下载 ∴ , ∵ , ∴ , ∴ , 在 中, , ∵ , ∴ , ∴ , ∴ , ∴ ,即 , ∴ , , 设 ,则 , ∴ , ∴ , 在 中, , ∴ , 解得: , ∴ 的长为 ; (3)设 , 当 时,过点 作 交 于 ,交 于 ,如图, ∵ , ∴ 是等边三角形, 53关注公众号:陆陆高分冲刺 ~领取:最新版“小中高考-总复习”、最新试卷下载 ∵ , , ∴ ,即 , ∴ , , ∴ , ∵ , ∴四边形 是矩形, ∴ , , ∴ , , 在 中, , ∴ , 解得: , ∴ ; 当 时,连接 ,如图, 则 , ∵∵将 沿 翻折到 , ∴ , , ∵ , ∴ ,即 , 在 和 中, , ∴ , ∴ , ∴ 是等边三角形, 54关注公众号:陆陆高分冲刺 ~领取:最新版“小中高考-总复习”、最新试卷下载 ∴ , ∴ , ∴ , ∵ , ∴ , 解得: 或 (负值不符合题意,舍去), ∴ ; 当 时,则 ,如图, 此时,点 与点 重合,点 与点 重合, ∴ 不存在. 综上所述,当 为等腰三角形时,线段 的长为 或 . 故答案为: 或 . 7.如图,△ABC内接于⊙O,AD是⊙O的直径,C是A´D的中点,过点D作⊙O的切线分别交AB、AC 的延长线于点E、F. (1)求证:∠ACB=∠E; (2)若AB=4,BE=1,求BC的长. 55关注公众号:陆陆高分冲刺 ~领取:最新版“小中高考-总复习”、最新试卷下载 【答案】(1)见解析 (2)3√2 【分析】(1)连接CD.证明△ACD是等腰直角三角形得∠CAD=∠CDA=45°.由EF是⊙O的切线 得∠ADF=∠ADE=90°,求出∠F=45°,然后证明△BAC∽△FAE可得∠ACB=∠E; AC AB BC (2)证明△ACD≌△FCD(ASA)得AD=FD,AC=CF,证明△BAC∽△FAE得 = = ,求出 AE AF EF AC=√10,再求出EF=DE+DF=3√5,代入比例式即可求解. 【详解】(1)证明:连接CD. ∵C是A´D的中点, ⏜ ⏜ ∴ AC=CD , ∴AC=CD. ∵AD是⊙O的直径, ∴∠ACD=∠DCF=90°, ∴△ACD是等腰直角三角形, ∴∠CAD=∠CDA=45°. ∵EF是⊙O的切线, ∴∠ADF=∠ADE=90°, ∴∠CDF=90°−45°=45°,∠F=90°−45°=45°. ∵A´C=A´C, ∴∠ABC=∠ADC=45°, ∴∠ABC=∠F, ∵∠BAC=∠FAE, ∴△BAC∽△FAE, ∴∠ACB=∠E; (2)解:∵∠ADC=∠CDF=45°,CD=CD,∠ACD=∠DCF=90°, ∴△ACD≌△FCD(ASA), ∴AD=FD,AC=CF, ∵AB=4,BE=1, ∴AE=5. ∵△BAC∽△FAE, 56关注公众号:陆陆高分冲刺 ~领取:最新版“小中高考-总复习”、最新试卷下载 AC AB BC ∴ = = , AE AF EF AC 4 ∴ = , 5 2AC ∴AC=√10, ∴AF=2√10, √2 ∴AD=DF= AF=2√5, 2 ∴DE=√AE2−AD2=√5, ∴EF=DE+DF=3√5, √10 BC ∴ = , 5 3√5 ∴BC=3√2. 57