当前位置:首页>文档>专题18圆锥曲线的几何性质问题(练)解析版_2.2025数学总复习_2023年新高考资料_二轮复习_备战2023年高考数学二轮复习考点精讲练(新教材·新高考)

专题18圆锥曲线的几何性质问题(练)解析版_2.2025数学总复习_2023年新高考资料_二轮复习_备战2023年高考数学二轮复习考点精讲练(新教材·新高考)

  • 2026-03-17 12:16:36 2026-03-16 11:39:09

文档预览

专题18圆锥曲线的几何性质问题(练)解析版_2.2025数学总复习_2023年新高考资料_二轮复习_备战2023年高考数学二轮复习考点精讲练(新教材·新高考)
专题18圆锥曲线的几何性质问题(练)解析版_2.2025数学总复习_2023年新高考资料_二轮复习_备战2023年高考数学二轮复习考点精讲练(新教材·新高考)
专题18圆锥曲线的几何性质问题(练)解析版_2.2025数学总复习_2023年新高考资料_二轮复习_备战2023年高考数学二轮复习考点精讲练(新教材·新高考)
专题18圆锥曲线的几何性质问题(练)解析版_2.2025数学总复习_2023年新高考资料_二轮复习_备战2023年高考数学二轮复习考点精讲练(新教材·新高考)
专题18圆锥曲线的几何性质问题(练)解析版_2.2025数学总复习_2023年新高考资料_二轮复习_备战2023年高考数学二轮复习考点精讲练(新教材·新高考)
专题18圆锥曲线的几何性质问题(练)解析版_2.2025数学总复习_2023年新高考资料_二轮复习_备战2023年高考数学二轮复习考点精讲练(新教材·新高考)
专题18圆锥曲线的几何性质问题(练)解析版_2.2025数学总复习_2023年新高考资料_二轮复习_备战2023年高考数学二轮复习考点精讲练(新教材·新高考)
专题18圆锥曲线的几何性质问题(练)解析版_2.2025数学总复习_2023年新高考资料_二轮复习_备战2023年高考数学二轮复习考点精讲练(新教材·新高考)
专题18圆锥曲线的几何性质问题(练)解析版_2.2025数学总复习_2023年新高考资料_二轮复习_备战2023年高考数学二轮复习考点精讲练(新教材·新高考)
专题18圆锥曲线的几何性质问题(练)解析版_2.2025数学总复习_2023年新高考资料_二轮复习_备战2023年高考数学二轮复习考点精讲练(新教材·新高考)
专题18圆锥曲线的几何性质问题(练)解析版_2.2025数学总复习_2023年新高考资料_二轮复习_备战2023年高考数学二轮复习考点精讲练(新教材·新高考)
专题18圆锥曲线的几何性质问题(练)解析版_2.2025数学总复习_2023年新高考资料_二轮复习_备战2023年高考数学二轮复习考点精讲练(新教材·新高考)
专题18圆锥曲线的几何性质问题(练)解析版_2.2025数学总复习_2023年新高考资料_二轮复习_备战2023年高考数学二轮复习考点精讲练(新教材·新高考)
专题18圆锥曲线的几何性质问题(练)解析版_2.2025数学总复习_2023年新高考资料_二轮复习_备战2023年高考数学二轮复习考点精讲练(新教材·新高考)
专题18圆锥曲线的几何性质问题(练)解析版_2.2025数学总复习_2023年新高考资料_二轮复习_备战2023年高考数学二轮复习考点精讲练(新教材·新高考)
专题18圆锥曲线的几何性质问题(练)解析版_2.2025数学总复习_2023年新高考资料_二轮复习_备战2023年高考数学二轮复习考点精讲练(新教材·新高考)
专题18圆锥曲线的几何性质问题(练)解析版_2.2025数学总复习_2023年新高考资料_二轮复习_备战2023年高考数学二轮复习考点精讲练(新教材·新高考)
专题18圆锥曲线的几何性质问题(练)解析版_2.2025数学总复习_2023年新高考资料_二轮复习_备战2023年高考数学二轮复习考点精讲练(新教材·新高考)
专题18圆锥曲线的几何性质问题(练)解析版_2.2025数学总复习_2023年新高考资料_二轮复习_备战2023年高考数学二轮复习考点精讲练(新教材·新高考)
专题18圆锥曲线的几何性质问题(练)解析版_2.2025数学总复习_2023年新高考资料_二轮复习_备战2023年高考数学二轮复习考点精讲练(新教材·新高考)
专题18圆锥曲线的几何性质问题(练)解析版_2.2025数学总复习_2023年新高考资料_二轮复习_备战2023年高考数学二轮复习考点精讲练(新教材·新高考)

文档信息

文档格式
docx
文档大小
1.208 MB
文档页数
21 页
上传时间
2026-03-16 11:39:09

文档内容

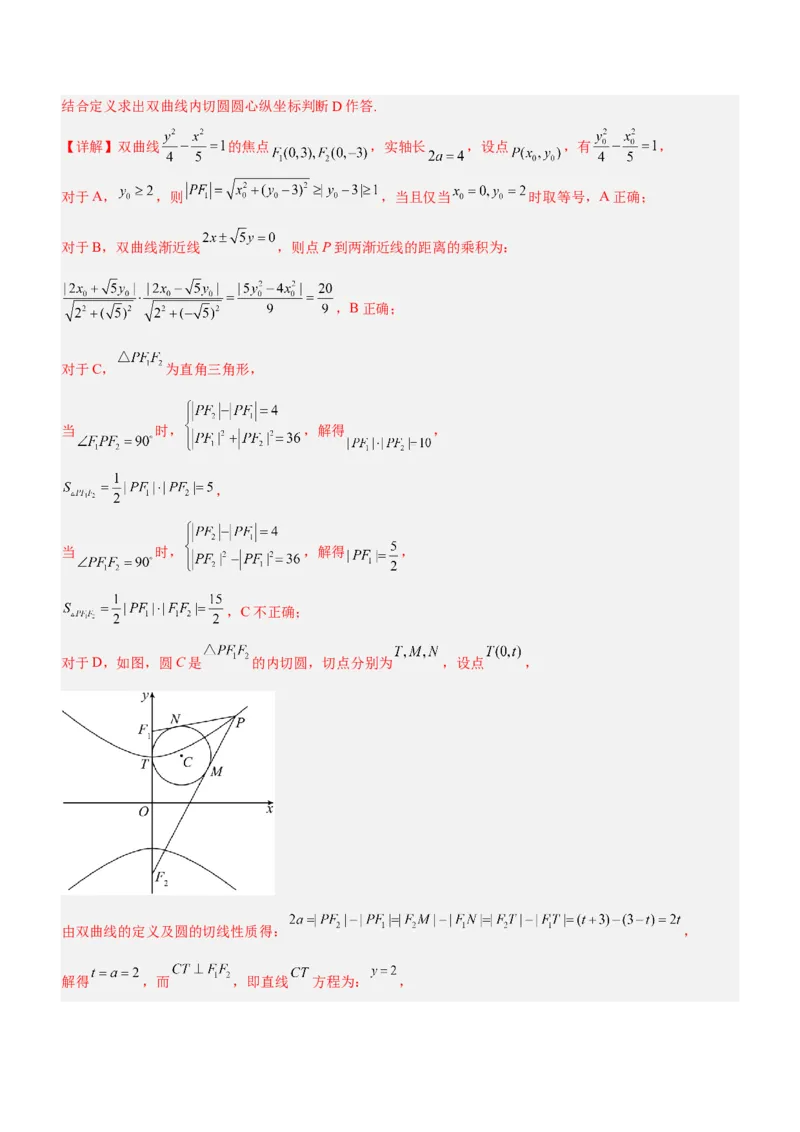
第一篇 热点、难点突破篇 专题18 圆锥曲线的几何性质问题(练) 【对点演练】 一、单选题 1.(2022秋·福建宁德·高三校考期末)已知抛物线 的焦点为F,抛物线上一点 满足 ,则 ( ) A.1 B.2 C. D. 【答案】A 【分析】根据抛物线焦半径公式列出方程,求出 的值. 【详解】由抛物线定义知: ,所以 ,解得: . 故选:A 2.(2023秋·贵州铜仁·高三统考期末)已知抛物线 的焦点为 ,点 是抛物线 上不同两点, 且 中点的横坐标为 ,则 ( ) A.4 B.5 C.6 D.8 【答案】D 【分析】根据抛物线焦半径公式求解即可. 【详解】解:由题知 ,即 ,设 , 因为 中点的横坐标为 ,所以 , 所以,由抛物线焦半径公式得 故选:D. 3.(2023·高三课时练习)已知椭圆 的左准线为l,左、右焦点分别为 、 ,抛物线 的准 线也为l,焦点是 , 与 的一个交点为点P,则 的值等于( )A. B. C.4 D.8 【答案】B 【分析】由椭圆方程得出 ,即可得椭圆的离心率,设 到准线 的距离为 ,由 是抛物线上的点得 ,由 是椭圆上的点得 ,且 ,从而可求得 . 【详解】椭圆 中, , , ,因此左准线 的方程为 即 ,又 ,设 到准线 的距离为 , 由 是抛物线上的点得 , 由 是椭圆上的点得 ,且 ,解得 . 故选:B. 4.(2023·全国·校联考模拟预测)已知抛物线 的焦点为 ,过点 的直线 交 于 两点, 为坐标原点,记 与 的面积分别为 和 ,则 的最小值为( ) A. B. C. D. 【答案】B 【分析】设出直线 ,联立 ,得到两根之和,两根之积,得 , , ,利用基本不等式即可求出最值. 【详解】由题意得: ,设直线 ,联立 得: ,设 ,不妨令 , 则 ,故 , , 则 , 当且仅当 ,即 时,等号成立. 故选:B 5.(2022秋·福建宁德·高三校考期末)已知双曲线 的左、右焦点分别为 ,过 的直 线l交双曲线于A,B两点,A,B分别位于第一、第二象限, 为等边三角形,则双曲线的离心率 ( ) A. B.5 C. D.7 【答案】C 【分析】设 ,由图形性质结合双曲线的定义求出 ,取 的中点 ,利用勾股定理求出 , 从而得出答案. 【详解】设题意 ,设 ,则 则 , 由双曲线的定义可得 ,所以 取 的中点 ,连接 ,由 为等边三角形,则 ,且 所以 , 所以 ,所以 故选:C6.(2023秋·江西抚州·高三临川一中校考期末)已知双曲线 的左、右焦点分别为 , ,点 的坐标为 ,点 是双曲线在第二象限的部分上一点,且 , ,则 双曲线的离心率为( ) A.3 B.2 C. D. 【答案】B 【分析】由角平分线的性质可得 及双曲线的定义,化简方程即可求双曲线的离心率. 【详解】如图, 因为 ,所以 ,由 可得 , 由双曲线定义可知 , 由 知: 平分 ,所以 ,即 ,整理得: , 由 , ,可化简为 , 即 ,可得 ,解得 或 (舍去), 故选:B 二、多选题 7.(2023秋·江苏扬州·高三校联考期末)已知非零常数a,若点A的坐标为 ,点B的坐标为 ,直 线 与 相交于点P,且它们的斜率之积为非零常数 ,那么下列说法中正确的有( ). A.当 时,点P的轨迹加上A,B两点所形成的曲线是焦点在x轴上的椭圆 B.当 时,点P的轨迹加上A,B两点所形成的曲线是圆心在原点的圆 C.当 时,点P的轨迹加上A,B两点所形成的曲线是焦点在y轴上的椭圆 D.当 时,点P的轨迹加上A,B两点所形成的曲线是焦点在x轴上的双曲线 【答案】BD 【分析】设点P的坐标为 ,根据已知条件,求得轨迹方程,然后根据平方项的系数的正负,同号异号, 同号时相等与否分类讨论即可判断. 【详解】设点P的坐标为 ,则 ,所以 . 当 时, ,即 , 所以点P的轨迹加上A,B两点所形成的曲线是焦点在y轴上的椭圆,故A错误. 当 时, , 所以点P的轨迹加上A,B两点所形成的曲线是圆心在原点的圆,故B正确. 当 时, , 所以点P的轨迹加上A,B两点所形成的曲线是焦点在x轴上的椭圆,故C错误. 当 时, , 所以点P的轨迹加上A,B两点所形成的曲线是焦点在x轴上的双曲线,故D正确. 故选:BD三、填空题 8.(2023·高三课时练习)已知双曲线E: 的左、右焦点分别为 、 ,点P在双曲线E上,且 ,则 =______. 【答案】9 【分析】根据双曲线的定义即可求得 . 【详解】因为双曲线E ,所以 ,则 , 又因为 ,则 ,即 或 , 又 ,故 . 故答案为:9. 9.(2022·全国·统考高考真题)记双曲线 的离心率为e,写出满足条件“直线 与 C无公共点”的e的一个值______________. 【答案】2(满足 皆可) 【分析】根据题干信息,只需双曲线渐近线 中 即可求得满足要求的e值. 【详解】解: ,所以C的渐近线方程为 , 结合渐近线的特点,只需 ,即 , 可满足条件“直线 与C无公共点” 所以 , 又因为 ,所以 ,故答案为:2(满足 皆可) 10.(2022·全国·统考高考真题)若双曲线 的渐近线与圆 相切,则 _________. 【答案】 【分析】首先求出双曲线的渐近线方程,再将圆的方程化为标准式,即可得到圆心坐标与半径,依题意圆心到 直线的距离等于圆的半径,即可得到方程,解得即可. 【详解】解:双曲线 的渐近线为 ,即 , 不妨取 ,圆 ,即 ,所以圆心为 ,半径 , 依题意圆心 到渐近线 的距离 , 解得 或 (舍去). 故答案为: . 【冲刺提升】 一、单选题 1.(2023秋·江西·高三校联考期末)如图,已知抛物线E: 的焦点为F,过F且斜率为1的直 线交E于A,B两点,线段AB的中点为M,其垂直平分线交x轴于点C, 轴于点N.若四边形 的 面积等于8,则E的方程为( )A. B. C. D. 【答案】B 【分析】根据 求出 的坐标,然后得 的方程,令 ,得 的坐标,利用直角梯形的面积求出 , 可得抛物线方程. 【详解】易知 ,直线AB的方程为 ,四边形OCMN为直角梯形,且 . 设 , , ,则 , 所以 ,所以 , ,∴ . 所以MC直线方程为 ,∴令 ,∴ ,∴ . 所以四边形OCMN的面积为 ,∴ . 故抛物线E的方程为 . 故选:B. 2.(2022秋·福建宁德·高三校考期末)设椭圆 的左、右焦点分别为 , ,点 , 在 上( 位于第一象限),且点 , 关于原点对称,若 , ,则 的离心 率为( ) A. B. C. D. 【答案】C 【分析】由题知四边形 是矩形,其中 ,进而根据 ,结合勾股定理与椭圆定 义求解即可.【详解】解:因为 ,点 , 关于原点对称 所以,线段 互相平分,且相等, 所以四边形 是矩形,其中 , 设 , 所以, , 所以椭圆离心率为 故选:C 3.(2023秋·贵州铜仁·高三统考期末)已知 是双曲线 的左、右焦点,过 的直线l与 双曲线的左支交于点A,与右支交于点B,若 ,且双曲线的离心率为 ,则( ) A. B. C. D. 【答案】B 【分析】由已知条件和双曲线的定义可得 , , , ,由 ,应用余弦定理,化简可得【详解】由双曲线定义和题设条件,得 , , . 如图所示,因为 ,所以 . 又由双曲线定义,得 ,因为 ,所以 . 在 和 中, ,有 , 应用余弦定理,得 , 得 ,化简得 ,所以 . 故选:B. 二、多选题 4.(2023秋·河北邯郸·高三统考期末)已知双曲线 的上、下焦点分别为 ,点P在双曲线上且 位于x轴上方,则下列结论正确的是( ) A.线段 的最小值为1 B.点P到两渐近线的距离的乘积为 C.若 为直角三角形,则 的面积为5 D. 的内切圆圆心在直线 上 【答案】ABD 【分析】根据给定条件,求出双曲线的焦点坐标及实轴长,再结合双曲线的范围、定义计算判断ABC;作图结合定义求出双曲线内切圆圆心纵坐标判断D作答. 【详解】双曲线 的焦点 ,实轴长 ,设点 ,有 , 对于A, ,则 ,当且仅当 时取等号,A正确; 对于B,双曲线渐近线 ,则点P到两渐近线的距离的乘积为: ,B正确; 对于C, 为直角三角形, 当 时, ,解得 , , 当 时, ,解得 , ,C不正确; 对于D,如图,圆C是 的内切圆,切点分别为 ,设点 , 由双曲线的定义及圆的切线性质得: , 解得 ,而 ,即直线 方程为: ,所以 的内切圆圆心在直线 上,D正确. 故选:ABD 5.(2023秋·山西太原·高三统考期末)已知抛物线 的焦点为 ,过点 的直线交 于 两个不 同点,则下列结论正确的是( ) A.若点 ,则 的最小值是3 B. 的最小值是2 C.若 ,则直线 的斜率为 D.过点 分别作抛物线 的切线,设两切线的交点为 ,则点 的横坐标为 【答案】ACD 【分析】过点 分别作准线的垂线,垂足分别为 ,进而根据抛物线的定义判断A;根据 判断B;设直线 的方程为 , ,进而联立方程, 结合韦达定理,根据 解方程即可得判断C;根据直线与曲线的位置关系得过点 , 分别与抛物线 相切的直线方程为 , ,进而联立方程解得 可判 断D. 【详解】解:由题知 , ,准线方程为 , 对于A选项,如图,过点 分别作准线的垂线,垂足分别为 ,故 , 故正确; 对于B选项,设 ,故 ,故错误; 对于C选项,当直线 的斜率不存在时, ,不成立;故直线 的斜率存在,设方程为 ,与抛物线方程联立 得 , 所以 , 因为 , 所以 ,即 ,解得 ,故正确; 对于D选项,设过点 与抛物线 相切的直线方程为 , 与抛物线方程 联立得 , 所以 ,整理得 , 所以 ,故 即为 ,整理得 同理得过点 与抛物线 相切的直线方程为 , 所以,联立方程 ,解方程得 , 因为 ,所以 所以 ,即点 的横坐标为 ,故正确. 故选:ACD三、填空题 6.(2023·高三课时练习)已知 、 是椭圆 的两个焦点,P为椭圆C上的一点,且 ,若 的面积为9,则b=______. 【答案】3 【分析】利用三角形 的面积列方程,由此求得 . 【详解】设 , 由于 ,所以 , , 所以 . 故答案为: 7.(2023·广西柳州·统考模拟预测)双曲线 的一条渐近线与曲线 交于M、N两个不 同的点,则 __________. 【答案】 ## 【分析】根据题意先求出双曲线 的一条渐近线方程,然后与曲线联立,求出交点 、 的坐标, 代入两点间距离公式即可求解.【详解】由题意知:双曲线 的渐近线方程为: , 不妨取 ,即 , 因为曲线 可化为 , 联立方程组 ,解得: 或 ,取 , 所以 , 故答案为: . 8.(2023·高三课时练习)设平面直角坐标系中,O为原点,N为动点, , ,过点M作 轴于点 ,过点N作 轴于点 ,M与 不重合,N与 不重合,设 , 则点T的轨迹方程是______. 【答案】 【分析】设出点 的坐标,根据 ,可以知道点 的横坐标和纵坐标之间的关系, 可以 求出 的坐标,进而根据已知的条件,求出 、 的坐标,设出点 的坐标,通过 ,可以 得到 的坐标和 的坐标之间的关系,再根据点 的横坐标和纵坐标之间的关系,求出点 的轨迹方程. 【详解】设点 ,因为 ,所以有 ,因为 ,所以有 , 由题意可知: , ,因为 与 不重合, 与 不重合,所以 且 , 设 ,因为 ,所以有 ,而 ,所以 ,又因为 且 , 故答案为: ( 且 ) 9.(2023秋·海南·高三统考期末)如图,已知 , 分别是椭圆 的左、右焦点,M, N为椭圆上两点,满足 ,且 ,则椭圆C的离心率为________. 【答案】 【分析】如图,延长 ,与椭圆交于点L,连接 ,设 可得 ,在 中, 用余弦定理可得到 ,继而得到 ,即可求解 【详解】设椭圆的半焦距为 , 如图,延长 ,与椭圆交于点L,连接 , 由 ,所以根据对称性可知, , 设 ,则 , , 从而 ,故 , 在 中, ,所以 ,在 中, ,即 , 所以 ,所以 ,所以离心率 , 故答案为: 10.(2023秋·河北邯郸·高三统考期末)已知抛物线 的焦点为F,若 在抛物线C上,且满足 ,则 的最小值为______. 【答案】9 【分析】设直线 的倾斜角为 ,用 表示出 ,由此建立关于 的函数,再换元利用导数 求解作答. 【详解】抛物线 的焦点为 ,依题意,不妨设直线 的倾斜角为 ,且 , 由抛物线定义得: ,即 , 同理 , , 因此 ,令 , ,令 , ,由 得 或 ,由 得 , 因此函数 在 上单调递减,在 上单调递增,当 时, ,此时 , 于是得 ,所以当 时, 取得最小值9. 故答案为:9 【点睛】方法点睛:圆锥曲线中最值或范围问题的常见解法: (1)几何法,若题目的条件和结论能明显体现几何特征和意义,则考虑利用几何法来解决; (2)代数法,若题目的条件和结论能体现某种明确的函数关系,则可首先建立目标函数,再求这个函数的最 值或范围. 四、解答题 11.(2023·高三课时练习)已知 、 是双曲线 的左、右焦点. (1)求证:双曲线C上任意一点M到双曲线两条渐近线的距离之积为常数; (2)过 且垂直于x轴的直线交C于P、Q两点, ,且C过点(1,0),求双曲线C的方程. 【答案】(1)证明见解析; (2) . 【分析】(1)设 是双曲线上任一点,则 ,即 ,计算点 到两渐近线的距 离之积即可得证; (2)由题意得 ,令 代入双曲线方程求得 坐标得 ,由 得 ,从而求 得 ,得双曲线方程. 【详解】(1)设 是双曲线上任一点,则 ,即 ,双曲线的两条渐近线方程为 , ∴ 到两条渐近线的距离之积为 为常数. (2) , 由 得 , , , 由题意 ,又 ,则 ,而 ,所以 , ,即 , 双曲线过点(1,0),则 , 所以 ,解得 (负值舍去), , 双曲线方程为 . 12.(2023秋·宁夏石嘴山·高三石嘴山市第三中学校考期末)如图,点A是椭圆 的短 轴位于y轴下方的端点,过点A且斜率为1的直线交椭圆于点B,P在y轴上,且 轴, . (1)若点P的坐标为(0,1),求椭圆C的标准方程; (2)若点P的坐标为(0,t),求t的取值范围. 【答案】(1) ;(2) 【分析】(1)根据平面向量数量积的坐标表示公式,结合共线向量的性质进行求解即可; (2)根据平面向量数量积的坐标表示公式,结合共线向量的性质、椭圆标准方程中 关系进行求解即可. 【详解】(1)由 ,因为过点A且斜率为1的直线交椭圆于点B,所以直线 的方程为 ,因为P的坐标为(0,1), 轴, 所以 ,因而 , , 由 (舍去),即 , 又因为 在该椭圆上,所以有 , 所以该椭圆的标准方程为 ; (2)由(1)可知: ,点P的坐标为(0,t),显然 , 所以 , , , 由 ,即 ,代入椭圆标准方程中,得 , 因为 ,所以有 , 所以t的取值范围为 .